Abstract:Existing video polyp segmentation (VPS) paradigms usually struggle to balance between spatiotemporal modeling and domain generalization, limiting their applicability in real clinical scenarios. To embrace this challenge, we recast the VPS task as a track-by-detect paradigm that leverages the spatial contexts captured by the image polyp segmentation (IPS) model while integrating the temporal modeling capabilities of segment anything model 2 (SAM2). However, during long-term polyp tracking in colonoscopy videos, SAM2 suffers from error accumulation, resulting in a snowball effect that compromises segmentation stability. We mitigate this issue by repurposing SAM2 as a video polyp segmenter with two training-free modules. In particular, the intra-association filtering module eliminates spatial inaccuracies originating from the detecting stage, reducing false positives. The inter-association refinement module adaptively updates the memory bank to prevent error propagation over time, enhancing temporal coherence. Both modules work synergistically to stabilize SAM2, achieving cutting-edge performance in both in-domain and out-of-domain scenarios. Furthermore, we demonstrate the robust tracking capabilities of FreeVPS in long-untrimmed colonoscopy videos, underscoring its potential reliable clinical analysis.




Abstract:The reasoning ability of large language models (LLMs) has been rapidly advancing in recent years, attracting interest in more fundamental approaches that can reliably enhance their generalizability. This work demonstrates that model complexity control, conveniently implementable by adjusting the initialization rate and weight decay coefficient, improves the scaling law of LLMs consistently over varying model sizes and data sizes. This gain is further illustrated by comparing the benchmark performance of 2.4B models pretrained on 1T tokens with different complexity hyperparameters. Instead of fixing the initialization std, we found that a constant initialization rate (the exponent of std) enables the scaling law to descend faster in both model and data sizes. These results indicate that complexity control is a promising direction for the continual advancement of LLMs.
Abstract:White Light Imaging (WLI) and Narrow Band Imaging (NBI) are the two main colonoscopic modalities for polyp classification. While NBI, as optical chromoendoscopy, offers valuable vascular details, WLI remains the most common and often the only available modality in resource-limited settings. However, WLI-based methods typically underperform, limiting their clinical applicability. Existing approaches transfer knowledge from NBI to WLI through global feature alignment but often rely on cropped lesion regions, which are susceptible to detection errors and neglect contextual and subtle diagnostic cues. To address this, this paper proposes a novel holistic classification framework that leverages full-image diagnosis without requiring polyp localization. The key innovation lies in the Alignment-free Dense Distillation (ADD) module, which enables fine-grained cross-domain knowledge distillation regardless of misalignment between WLI and NBI images. Without resorting to explicit image alignment, ADD learns pixel-wise cross-domain affinities to establish correspondences between feature maps, guiding the distillation along the most relevant pixel connections. To further enhance distillation reliability, ADD incorporates Class Activation Mapping (CAM) to filter cross-domain affinities, ensuring the distillation path connects only those semantically consistent regions with equal contributions to polyp diagnosis. Extensive results on public and in-house datasets show that our method achieves state-of-the-art performance, relatively outperforming the other approaches by at least 2.5% and 16.2% in AUC, respectively. Code is available at: https://github.com/Huster-Hq/ADD.
Abstract:The emergence of large language models (LLMs) has significantly advanced the development of natural language processing (NLP), especially in text generation tasks like question answering. However, model hallucinations remain a major challenge in natural language generation (NLG) tasks due to their complex causes. We systematically expand on the causes of factual hallucinations from the perspective of knowledge shortcuts, analyzing hallucinations arising from correct and defect-free data and demonstrating that knowledge-shortcut hallucinations are prevalent in generative models. To mitigate this issue, we propose a high similarity pruning algorithm at the data preprocessing level to reduce spurious correlations in the data. Additionally, we design a specific detection method for knowledge-shortcut hallucinations to evaluate the effectiveness of our mitigation strategy. Experimental results show that our approach effectively reduces knowledge-shortcut hallucinations, particularly in fine-tuning tasks, without negatively impacting model performance in question answering. This work introduces a new paradigm for mitigating specific hallucination issues in generative models, enhancing their robustness and reliability in real-world applications.




Abstract:Anticipating and recognizing surgical workflows are critical for intelligent surgical assistance systems. However, existing methods rely on deterministic decision-making, struggling to generalize across the large anatomical and procedural variations inherent in real-world surgeries.In this paper, we introduce an innovative framework that incorporates stochastic modeling through a denoising diffusion probabilistic model (DDPM) into conventional deterministic learning for surgical workflow analysis. At the heart of our approach is a collaborative co-training paradigm: the DDPM branch captures procedural uncertainties to enrich feature representations, while the task branch focuses on predicting surgical phases and instrument usage.Theoretically, we demonstrate that this mutual refinement mechanism benefits both branches: the DDPM reduces prediction errors in uncertain scenarios, and the task branch directs the DDPM toward clinically meaningful representations. Notably, the DDPM branch is discarded during inference, enabling real-time predictions without sacrificing accuracy.Experiments on the Cholec80 dataset show that for the anticipation task, our method achieves a 16% reduction in eMAE compared to state-of-the-art approaches, and for phase recognition, it improves the Jaccard score by 1.0%. Additionally, on the AutoLaparo dataset, our method achieves a 1.5% improvement in the Jaccard score for phase recognition, while also exhibiting robust generalization to patient-specific variations. Our code and weight are available at https://github.com/kk42yy/CoStoDet-DDPM.




Abstract:Multi-class segmentation of the aorta in computed tomography angiography (CTA) scans is essential for diagnosing and planning complex endovascular treatments for patients with aortic dissections. However, existing methods reduce aortic segmentation to a binary problem, limiting their ability to measure diameters across different branches and zones. Furthermore, no open-source dataset is currently available to support the development of multi-class aortic segmentation methods. To address this gap, we organized the AortaSeg24 MICCAI Challenge, introducing the first dataset of 100 CTA volumes annotated for 23 clinically relevant aortic branches and zones. This dataset was designed to facilitate both model development and validation. The challenge attracted 121 teams worldwide, with participants leveraging state-of-the-art frameworks such as nnU-Net and exploring novel techniques, including cascaded models, data augmentation strategies, and custom loss functions. We evaluated the submitted algorithms using the Dice Similarity Coefficient (DSC) and Normalized Surface Distance (NSD), highlighting the approaches adopted by the top five performing teams. This paper presents the challenge design, dataset details, evaluation metrics, and an in-depth analysis of the top-performing algorithms. The annotated dataset, evaluation code, and implementations of the leading methods are publicly available to support further research. All resources can be accessed at https://aortaseg24.grand-challenge.org.




Abstract:Transformers have demonstrated impressive capabilities across various tasks, yet their performance on compositional problems remains a subject of debate. In this study, we investigate the internal mechanisms underlying Transformers' behavior in compositional tasks. We find that complexity control strategies significantly influence whether the model learns primitive-level rules that generalize out-of-distribution (reasoning-based solutions) or relies solely on memorized mappings (memory-based solutions). By applying masking strategies to the model's information circuits and employing multiple complexity metrics, we reveal distinct internal working mechanisms associated with different solution types. Further analysis reveals that reasoning-based solutions exhibit a lower complexity bias, which aligns with the well-studied neuron condensation phenomenon. This lower complexity bias is hypothesized to be the key factor enabling these solutions to learn reasoning rules. We validate these conclusions across multiple real-world datasets, including image generation and natural language processing tasks, confirming the broad applicability of our findings.
Abstract:Automatic video polyp segmentation plays a critical role in gastrointestinal cancer screening, but the cost of frameby-frame annotations is prohibitively high. While sparse-frame supervised methods have reduced this burden proportionately, the cost remains overwhelming for long-duration videos and large-scale datasets. In this paper, we, for the first time, reduce the annotation cost to just a single frame per polyp video, regardless of the video's length. To this end, we introduce a new task, First-Frame Supervised Video Polyp Segmentation (FSVPS), and propose a novel Propagative and Semantic Dual-Teacher Network (PSDNet). Specifically, PSDNet adopts a teacher-student framework but employs two distinct types of teachers: the propagative teacher and the semantic teacher. The propagative teacher is a universal object tracker that propagates the first-frame annotation to subsequent frames as pseudo labels. However, tracking errors may accumulate over time, gradually degrading the pseudo labels and misguiding the student model. To address this, we introduce the semantic teacher, an exponential moving average of the student model, which produces more stable and time-invariant pseudo labels. PSDNet merges the pseudo labels from both teachers using a carefully-designed back-propagation strategy. This strategy assesses the quality of the pseudo labels by tracking them backward to the first frame. High-quality pseudo labels are more likely to spatially align with the firstframe annotation after this backward tracking, ensuring more accurate teacher-to-student knowledge transfer and improved segmentation performance. Benchmarking on SUN-SEG, the largest VPS dataset, demonstrates the competitive performance of PSDNet compared to fully-supervised approaches, and its superiority over sparse-frame supervised state-of-the-arts with a minimum improvement of 4.5% in Dice score.




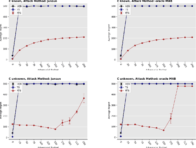
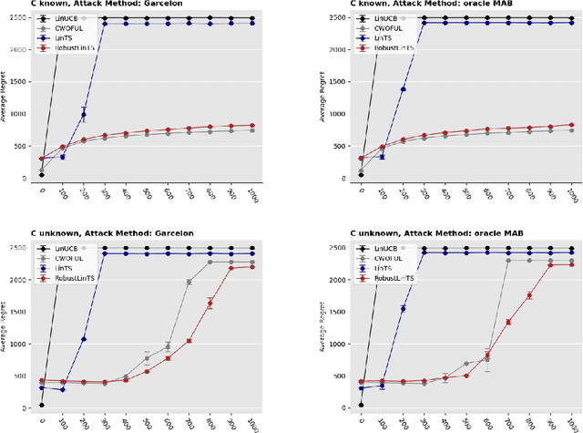
Abstract:Thompson sampling is one of the most popular learning algorithms for online sequential decision-making problems and has rich real-world applications. However, current Thompson sampling algorithms are limited by the assumption that the rewards received are uncorrupted, which may not be true in real-world applications where adversarial reward poisoning exists. To make Thompson sampling more reliable, we want to make it robust against adversarial reward poisoning. The main challenge is that one can no longer compute the actual posteriors for the true reward, as the agent can only observe the rewards after corruption. In this work, we solve this problem by computing pseudo-posteriors that are less likely to be manipulated by the attack. We propose robust algorithms based on Thompson sampling for the popular stochastic and contextual linear bandit settings in both cases where the agent is aware or unaware of the budget of the attacker. We theoretically show that our algorithms guarantee near-optimal regret under any attack strategy.
Abstract:Surgical phase recognition has become a crucial requirement in laparoscopic surgery, enabling various clinical applications like surgical risk forecasting. Current methods typically identify the surgical phase using individual frame-wise embeddings as the fundamental unit for time modeling. However, this approach is overly sensitive to current observations, often resulting in discontinuous and erroneous predictions within a complete surgical phase. In this paper, we propose DACAT, a novel dual-stream model that adaptively learns clip-aware context information to enhance the temporal relationship. In one stream, DACAT pretrains a frame encoder, caching all historical frame-wise features. In the other stream, DACAT fine-tunes a new frame encoder to extract the frame-wise feature at the current moment. Additionally, a max clip-response read-out (Max-R) module is introduced to bridge the two streams by using the current frame-wise feature to adaptively fetch the most relevant past clip from the feature cache. The clip-aware context feature is then encoded via cross-attention between the current frame and its fetched adaptive clip, and further utilized to enhance the time modeling for accurate online surgical phase recognition. The benchmark results on three public datasets, i.e., Cholec80, M2CAI16, and AutoLaparo, demonstrate the superiority of our proposed DACAT over existing state-of-the-art methods, with improvements in Jaccard scores of at least 4.5%, 4.6%, and 2.7%, respectively. Our code and models have been released at https://github.com/kk42yy/DACAT.