Abstract:Graph Neural Networks (GNNs) are powerful tools for precessing relational data but often struggle to generalize to unseen graphs, giving rise to the development of Graph Foundational Models (GFMs). However, current GFMs are challenged by the extreme heterogeneity of graph data, where each graph can possess a unique feature space, label set, and topology. To address this, two main paradigms have emerged. The first leverages Large Language Models (LLMs), but is fundamentally text-dependent, thus struggles to handle the numerical features in vast graphs. The second pre-trains a structure-based model, but the adaptation to new tasks typically requires a costly, per-graph tuning stage, creating a critical efficiency bottleneck. In this work, we move beyond these limitations and introduce \textbf{G}raph \textbf{I}n-context \textbf{L}earning \textbf{T}ransformer (GILT), a framework built on an LLM-free and tuning-free architecture. GILT introduces a novel token-based framework for in-context learning (ICL) on graphs, reframing classification tasks spanning node, edge and graph levels in a unified framework. This mechanism is the key to handling heterogeneity, as it is designed to operate on generic numerical features. Further, its ability to understand class semantics dynamically from the context enables tuning-free adaptation. Comprehensive experiments show that GILT achieves stronger few-shot performance with significantly less time than LLM-based or tuning-based baselines, validating the effectiveness of our approach.





Abstract:Large Language Models (LLMs) are emerging as versatile foundation models for computational chemistry, handling bidirectional tasks like reaction prediction and retrosynthesis. However, these models often lack round-trip consistency. For instance, a state-of-the-art chemical LLM may successfully caption a molecule, yet be unable to accurately reconstruct the original structure from its own generated text. This inconsistency suggests that models are learning unidirectional memorization rather than flexible mastery. Indeed, recent work has demonstrated a strong correlation between a model's round-trip consistency and its performance on the primary tasks. This strong correlation reframes consistency into a direct target for model improvement. We therefore introduce Round-Trip Reinforcement Learning (RTRL), a novel framework that trains a model to improve its consistency by using the success of a round-trip transformation as a reward signal. We further propose an iterative variant where forward and reverse mappings alternately train each other in a self-improvement loop, a process that is highly data-efficient and notably effective with the massive amount of unlabelled data common in chemistry. Experiments demonstrate that RTRL significantly \textbf{boosts performance and consistency} over strong baselines across supervised, self-supervised, and synthetic data regimes. This work shows that round-trip consistency is not just a desirable property but a trainable objective, offering a new path toward more robust and reliable foundation models.





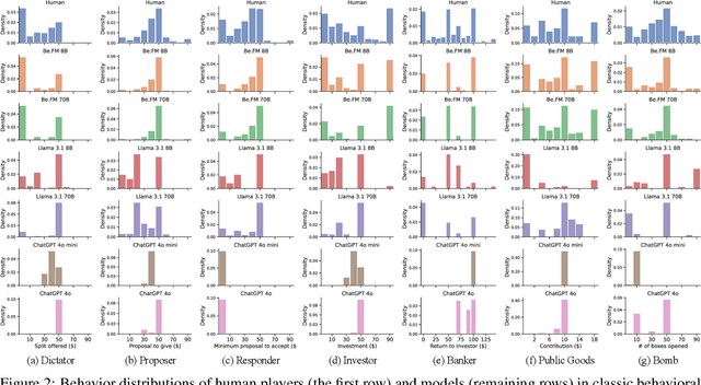
Abstract:Despite their success in numerous fields, the potential of foundation models for modeling and understanding human behavior remains largely unexplored. We introduce Be.FM, one of the first open foundation models designed for human behavior modeling. Built upon open-source large language models and fine-tuned on a diverse range of behavioral data, Be.FM can be used to understand and predict human decision-making. We construct a comprehensive set of benchmark tasks for testing the capabilities of behavioral foundation models. Our results demonstrate that Be.FM can predict behaviors, infer characteristics of individuals and populations, generate insights about contexts, and apply behavioral science knowledge.





Abstract:Common Neighbors (CNs) and their higher-order variants are important pairwise features widely used in state-of-the-art link prediction methods. However, existing methods often struggle with the repetition across different orders of CNs and fail to fully leverage their potential. We identify that these limitations stem from two key issues: redundancy and over-smoothing in high-order common neighbors. To address these challenges, we design orthogonalization to eliminate redundancy between different-order CNs and normalization to mitigate over-smoothing. By combining these two techniques, we propose Orthogonal Common Neighbor (OCN), a novel approach that significantly outperforms the strongest baselines by an average of 7.7% on popular link prediction benchmarks. A thorough theoretical analysis is provided to support our method. Ablation studies also verify the effectiveness of our orthogonalization and normalization techniques.





Abstract:We introduce Griffin, the first foundation model attemptation designed specifically for Relational Databases (RDBs). Unlike previous smaller models focused on single RDB tasks, Griffin unifies the data encoder and task decoder to handle diverse tasks. Additionally, we enhance the architecture by incorporating a cross-attention module and a novel aggregator. Griffin utilizes pretraining on both single-table and RDB datasets, employing advanced encoders for categorical, numerical, and metadata features, along with innovative components such as cross-attention modules and enhanced message-passing neural networks (MPNNs) to capture the complexities of relational data. Evaluated on large-scale, heterogeneous, and temporal graphs extracted from RDBs across various domains (spanning over 150 million nodes), Griffin demonstrates superior or comparable performance to individually trained models, excels in low-data scenarios, and shows strong transferability with similarity and diversity in pretraining across new datasets and tasks, highlighting its potential as a universally applicable foundation model for RDBs. Code available at https://github.com/yanxwb/Griffin.

Abstract:Influence Maximization (IM) in temporal graphs focuses on identifying influential "seeds" that are pivotal for maximizing network expansion. We advocate defining these seeds through Influence Propagation Paths (IPPs), which is essential for scaling up the network. Our focus lies in efficiently labeling IPPs and accurately predicting these seeds, while addressing the often-overlooked cold-start issue prevalent in temporal networks. Our strategy introduces a motif-based labeling method and a tensorized Temporal Graph Network (TGN) tailored for multi-relational temporal graphs, bolstering prediction accuracy and computational efficiency. Moreover, we augment cold-start nodes with new neighbors from historical data sharing similar IPPs. The recommendation system within an online team-based gaming environment presents subtle impact on the social network, forming multi-relational (i.e., weak and strong) temporal graphs for our empirical IM study. We conduct offline experiments to assess prediction accuracy and model training efficiency, complemented by online A/B testing to validate practical network growth and the effectiveness in addressing the cold-start issue.

Abstract:Long context understanding remains challenging for large language models due to their limited context windows. This paper presents Long Input Fine-Tuning (LIFT), a novel framework for long-context modeling that can improve the long-context performance of arbitrary (short-context) LLMs by dynamically adapting model parameters based on the long input. Importantly, LIFT, rather than endlessly extending the context window size to accommodate increasingly longer inputs in context, chooses to store and absorb the long input in parameter. By fine-tuning the long input into model parameters, LIFT allows short-context LLMs to answer questions even when the required information is not provided in the context during inference. Furthermore, to enhance LIFT performance while maintaining the original in-context learning (ICL) capabilities, we introduce Gated Memory, a specialized attention adapter that automatically balances long input memorization and ICL. We provide a comprehensive analysis of the strengths and limitations of LIFT on long context understanding, offering valuable directions for future research.





Abstract:Recent advances in Graph Neural Networks (GNNs) have explored the potential of random noise as an input feature to enhance expressivity across diverse tasks. However, naively incorporating noise can degrade performance, while architectures tailored to exploit noise for specific tasks excel yet lack broad applicability. This paper tackles these issues by laying down a theoretical framework that elucidates the increased sample complexity when introducing random noise into GNNs without careful design. We further propose Equivariant Noise GNN (ENGNN), a novel architecture that harnesses the symmetrical properties of noise to mitigate sample complexity and bolster generalization. Our experiments demonstrate that using noise equivariantly significantly enhances performance on node-level, link-level, subgraph, and graph-level tasks and achieves comparable performance to models designed for specific tasks, thereby offering a general method to boost expressivity across various graph tasks.

Abstract:Diffusion models have gained popularity in graph generation tasks; however, the extent of their expressivity concerning the graph distributions they can learn is not fully understood. Unlike models in other domains, popular backbones for graph diffusion models, such as Graph Transformers, do not possess universal expressivity to accurately model the distribution scores of complex graph data. Our work addresses this limitation by focusing on the frequency of specific substructures as a key characteristic of target graph distributions. When evaluating existing models using this metric, we find that they fail to maintain the distribution of substructure counts observed in the training set when generating new graphs. To address this issue, we establish a theoretical connection between the expressivity of Graph Neural Networks (GNNs) and the overall performance of graph diffusion models, demonstrating that more expressive GNN backbones can better capture complex distribution patterns. By integrating advanced GNNs into the backbone architecture, we achieve significant improvements in substructure generation.





Abstract:Graph neural networks (GNNs) have become a prevalent framework for graph tasks. Many recent studies have proposed the use of graph convolution methods over the numerous subgraphs of each graph, a concept known as subgraph graph neural networks (subgraph GNNs), to enhance GNNs' ability to distinguish non-isomorphic graphs. To maximize the expressiveness, subgraph GNNs often require each subgraph to have equal size to the original graph. Despite their impressive performance, subgraph GNNs face challenges due to the vast number and large size of subgraphs which lead to a surge in training data, resulting in both storage and computational inefficiencies. In response to this problem, this paper introduces Ego-Nets-Fit-All (ENFA), a model that uniformly takes the smaller ego nets as subgraphs, thereby providing greater storage and computational efficiency, while at the same time guarantees identical outputs to the original subgraph GNNs even taking the whole graph as subgraphs. The key is to identify and eliminate the redundant computation among subgraphs. For example, a node $v_i$ may appear in multiple subgraphs but is far away from all of their centers (the unsymmetric part between subgraphs). Therefore, its first few rounds of message passing within each subgraph can be computed once in the original graph instead of being computed multiple times within each subgraph. Such strategy enables our ENFA to accelerate subgraph GNNs in an exact way, unlike previous sampling approaches that often lose the performance. Extensive experiments across various datasets reveal that compared with the conventional subgraph GNNs, ENFA can reduce storage space by 29.0% to 84.5% and improve training efficiency by up to 1.66x.
