Wuhan University
Abstract:Multimodal large language models (MLLMs) are increasingly integrated into autonomous driving (AD) systems; however, they remain vulnerable to diverse safety threats, particularly in accident-prone scenarios. Recent safeguard mechanisms have shown promise by incorporating logical constraints, yet most rely on static formulations that lack temporally grounded safety reasoning over evolving traffic interactions, resulting in limited robustness in dynamic driving environments. To address these limitations, we propose GuardAD, a model-agnostic safeguard that formulates AD safety as an evolving Markovian logical state. GuardAD introduces Neuro-Symbolic Logic Formalization, which represents safety predicates over heterogeneous traffic participants and continuously induces them via n-th order Markovian Logic Induction. This design enables the inference of emerging and latent hazards beyond single-step observations. Rather than simply vetoing unsafe actions, GuardAD performs Logic-Driven Action Revision, where inferred safety states actively guide action refinement without modifying the underlying MLLM. Extensive experiments on multiple benchmarks and AD-MLLMs demonstrate that GuardAD substantially reduces accident rates (-32.07%) while slightly improving task performance (+6.85%). Moreover, closed-loop simulation evaluations, together with physical-world vehicle studies, further validate the effectiveness and potential of GuardAD.
Abstract:This report focuses on spatial data intelligent large models, delving into the principles, methods, and cutting-edge applications of these models. It provides an in-depth discussion on the definition, development history, current status, and trends of spatial data intelligent large models, as well as the challenges they face. The report systematically elucidates the key technologies of spatial data intelligent large models and their applications in urban environments, aerospace remote sensing, geography, transportation, and other scenarios. Additionally, it summarizes the latest application cases of spatial data intelligent large models in themes such as urban development, multimodal systems, remote sensing, smart transportation, and resource environments. Finally, the report concludes with an overview and outlook on the development prospects of spatial data intelligent large models.




Abstract:Train timetable rescheduling (TTR) aims to promptly restore the original operation of trains after unexpected disturbances or disruptions. Currently, this work is still done manually by train dispatchers, which is challenging to maintain performance under various problem instances. To mitigate this issue, this study proposes a reinforcement learning-based approach to TTR, which makes the following contributions compared to existing work. First, we design a simple directed graph to represent the TTR problem, enabling the automatic extraction of informative states through graph neural networks. Second, we reformulate the construction process of TTR's solution, not only decoupling the decision model from the problem size but also ensuring the generated scheme's feasibility. Third, we design a learning curriculum for our model to handle the scenarios with different levels of delay. Finally, a simple local search method is proposed to assist the learned decision model, which can significantly improve solution quality with little additional computation cost, further enhancing the practical value of our method. Extensive experimental results demonstrate the effectiveness of our method. The learned decision model can achieve better performance for various problems with varying degrees of train delay and different scales when compared to handcrafted rules and state-of-the-art solvers.




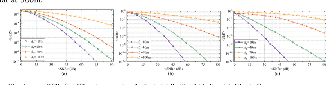
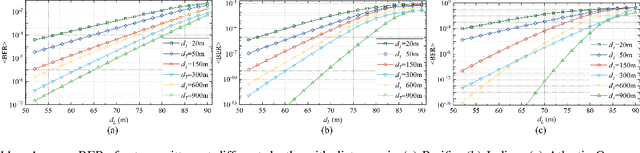
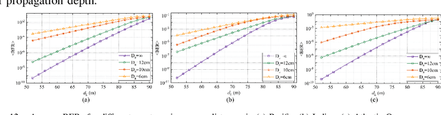
Abstract:The reliability of a vertical underwater wireless optical communication (UWOC) network is seriously impacted by turbulence-induced fading due to fluctuations in the water temperature and salinity, which vary with depth. To better assess the vertical UWOC system performances, an accurate probability distribution function (PDF) model that can describe this fading is indispensable. In view of the limitations of theoretical and experimental studies, this paper is the first to establish a more accurate modeling scheme for wave optics simulation (WOS) by fully considering the constraints of sampling conditions on multi-phase screen parameters. On this basis, we complete the modeling of light propagation in a vertical oceanic turbulence channel and subsequently propose a unified statistical model named mixture Weibull-generalized Gamma (WGG) distribution model to characterize turbulence-induced fading in vertical links. Interestingly, the WGG model is shown to provide a perfect fit with the acquired data under all considered channel conditions. We further show that the application of the WGG model leads to closed-form and analytically tractable expressions for key UWOC system performance metrics such as the average bit-error rate (BER). The presented results give valuable insight into the practical aspects of development of UWOC networks.