Abstract:We propose a fast and accurate surface reconstruction algorithm for unorganized point clouds using an implicit representation. Recent learning methods are either single-object representations with small neural models that allow for high surface details but require per-object training or generalized representations that require larger models and generalize to newer shapes but lack details, and inference is slow. We propose a new implicit representation for general 3D shapes that is faster than all the baselines at their optimum resolution, with only a marginal loss in performance compared to the state-of-the-art. We achieve the best accuracy-speed trade-off using three key contributions. Many implicit methods extract features from the point cloud to classify whether a query point is inside or outside the object. First, to speed up the reconstruction, we show that this feature extraction does not need to use the query point at an early stage (lazy query). Second, we use a parallel multi-scale grid representation to develop robust features for different noise levels and input resolutions. Finally, we show that attention across scales can provide improved reconstruction results.

Abstract:Several variants of Neural Radiance Fields (NeRFs) have significantly improved the accuracy of synthesized images and surface reconstruction of 3D scenes/objects. In all of these methods, a key characteristic is that none can train the neural network with every possible input data, specifically, every pixel and potential 3D point along the projection rays due to scalability issues. While vanilla NeRFs uniformly sample both the image pixels and 3D points along the projection rays, some variants focus only on guiding the sampling of the 3D points along the projection rays. In this paper, we leverage the implicit surface representation of the foreground scene and model a probability density function in a 3D image projection space to achieve a more targeted sampling of the rays toward regions of interest, resulting in improved rendering. Additionally, a new surface reconstruction loss is proposed for improved performance. This new loss fully explores the proposed 3D image projection space model and incorporates near-to-surface and empty space components. By integrating our novel sampling strategy and novel loss into current state-of-the-art neural implicit surface renderers, we achieve more accurate and detailed 3D reconstructions and improved image rendering, especially for the regions of interest in any given scene.

Abstract:Neural implicit surface representation techniques are in high demand for advancing technologies in augmented reality/virtual reality, digital twins, autonomous navigation, and many other fields. With their ability to model object surfaces in a scene as a continuous function, such techniques have made remarkable strides recently, especially over classical 3D surface reconstruction methods, such as those that use voxels or point clouds. However, these methods struggle with scenes that have varied and complex surfaces principally because they model any given scene with a single encoder network that is tasked to capture all of low through high-surface frequency information in the scene simultaneously. In this work, we propose a novel, neural implicit surface representation approach called FreBIS to overcome this challenge. FreBIS works by stratifying the scene based on the frequency of surfaces into multiple frequency levels, with each level (or a group of levels) encoded by a dedicated encoder. Moreover, FreBIS encourages these encoders to capture complementary information by promoting mutual dissimilarity of the encoded features via a novel, redundancy-aware weighting module. Empirical evaluations on the challenging BlendedMVS dataset indicate that replacing the standard encoder in an off-the-shelf neural surface reconstruction method with our frequency-stratified encoders yields significant improvements. These enhancements are evident both in the quality of the reconstructed 3D surfaces and in the fidelity of their renderings from any viewpoint.

Abstract:Extensions of Neural Radiance Fields (NeRFs) to model dynamic scenes have enabled their near photo-realistic, free-viewpoint rendering. Although these methods have shown some potential in creating immersive experiences, two drawbacks limit their ubiquity: (i) a significant reduction in reconstruction quality when the computing budget is limited, and (ii) a lack of semantic understanding of the underlying scenes. To address these issues, we introduce Gear-NeRF, which leverages semantic information from powerful image segmentation models. Our approach presents a principled way for learning a spatio-temporal (4D) semantic embedding, based on which we introduce the concept of gears to allow for stratified modeling of dynamic regions of the scene based on the extent of their motion. Such differentiation allows us to adjust the spatio-temporal sampling resolution for each region in proportion to its motion scale, achieving more photo-realistic dynamic novel view synthesis. At the same time, almost for free, our approach enables free-viewpoint tracking of objects of interest - a functionality not yet achieved by existing NeRF-based methods. Empirical studies validate the effectiveness of our method, where we achieve state-of-the-art rendering and tracking performance on multiple challenging datasets.





Abstract:Encoding 3D points is one of the primary steps in learning-based implicit scene representation. Using features that gather information from neighbors with multi-resolution grids has proven to be the best geometric encoder for this task. However, prior techniques do not exploit some characteristics of most objects or scenes, such as surface normals and local smoothness. This paper is the first to exploit those 3D characteristics in 3D geometric encoders explicitly. In contrast to prior work on using multiple levels of details, regular cube grids, and trilinear interpolation, we propose 3D-oriented grids with a novel cylindrical volumetric interpolation for modeling local planar invariance. In addition, we explicitly include a local feature aggregation for feature regularization and smoothing of the cylindrical interpolation features. We evaluate our approach on ABC, Thingi10k, ShapeNet, and Matterport3D, for object and scene representation. Compared to the use of regular grids, our geometric encoder is shown to converge in fewer steps and obtain sharper 3D surfaces. When compared to the prior techniques, our method gets state-of-the-art results.





Abstract:RANSAC-based algorithms are the standard techniques for robust estimation in computer vision. These algorithms are iterative and computationally expensive; they alternate between random sampling of data, computing hypotheses, and running inlier counting. Many authors tried different approaches to improve efficiency. One of the major improvements is having a guided sampling, letting the RANSAC cycle stop sooner. This paper presents a new adaptive sampling process for RANSAC. Previous methods either assume no prior information about the inlier/outlier classification of data points or use some previously computed scores in the sampling. In this paper, we derive a dynamic Bayesian network that updates individual data points' inlier scores while iterating RANSAC. At each iteration, we apply weighted sampling using the updated scores. Our method works with or without prior data point scorings. In addition, we use the updated inlier/outlier scoring for deriving a new stopping criterion for the RANSAC loop. We test our method in multiple real-world datasets for several applications and obtain state-of-the-art results. Our method outperforms the baselines in accuracy while needing less computational time.





Abstract:We present an approach to estimating camera rotation in crowded, real-world scenes from handheld monocular video. While camera rotation estimation is a well-studied problem, no previous methods exhibit both high accuracy and acceptable speed in this setting. Because the setting is not addressed well by other datasets, we provide a new dataset and benchmark, with high-accuracy, rigorously verified ground truth, on 17 video sequences. Methods developed for wide baseline stereo (e.g., 5-point methods) perform poorly on monocular video. On the other hand, methods used in autonomous driving (e.g., SLAM) leverage specific sensor setups, specific motion models, or local optimization strategies (lagging batch processing) and do not generalize well to handheld video. Finally, for dynamic scenes, commonly used robustification techniques like RANSAC require large numbers of iterations, and become prohibitively slow. We introduce a novel generalization of the Hough transform on SO(3) to efficiently and robustly find the camera rotation most compatible with optical flow. Among comparably fast methods, ours reduces error by almost 50\% over the next best, and is more accurate than any method, irrespective of speed. This represents a strong new performance point for crowded scenes, an important setting for computer vision. The code and the dataset are available at https://fabiendelattre.com/robust-rotation-estimation.




Abstract:Previous incremental estimation methods consider estimating a single line, requiring as many observers as the number of lines to be mapped. This leads to the need for having at least $4N$ state variables, with $N$ being the number of lines. This paper presents the first approach for multi-line incremental estimation. Since lines are common in structured environments, we aim to exploit that structure to reduce the state space. The modeling of structured environments proposed in this paper reduces the state space to $3N + 3$ and is also less susceptible to singular configurations. An assumption the previous methods make is that the camera velocity is available at all times. However, the velocity is usually retrieved from odometry, which is noisy. With this in mind, we propose coupling the camera with an Inertial Measurement Unit (IMU) and an observer cascade. A first observer retrieves the scale of the linear velocity and a second observer for the lines mapping. The stability of the entire system is analyzed. The cascade is shown to be asymptotically stable and shown to converge in experiments with simulated data.





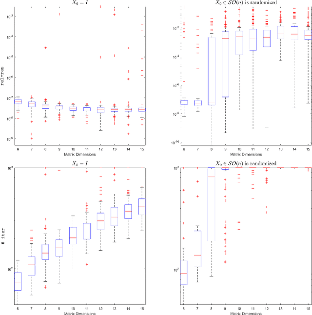
Abstract:We propose three iterative methods for solving the Moser-Veselov equation, which arises in the discretization of the Euler-Arnold differential equations governing the motion of a generalized rigid body. We start by formulating the problem as an optimization problem with orthogonal constraints and proving that the objective function is convex. Then, using techniques from optimization on Riemannian manifolds, the three feasible algorithms are designed. The first one splits the orthogonal constraints using the Bregman method, whereas the other two methods are of the steepest-descent type. The second method uses the Cayley-transform to preserve the constraints and a Barzilai-Borwein step size, while the third one involves geodesics, with the step size computed by Armijo's rule. Finally, a set of numerical experiments are carried out to compare the performance of the proposed algorithms, suggesting that the first algorithm has the best performance in terms of accuracy and number of iterations. An essential advantage of these iterative methods is that they work even when the conditions for applicability of the direct methods available in the literature are not satisfied.





Abstract:Humans tend to build environments with structure, which consists of mainly planar surfaces. From the intersection of planar surfaces arise straight lines. Lines have more degrees-of-freedom than points. Thus, line-based Structure-from-Motion (SfM) provides more information about the environment. In this paper, we present solutions for SfM using lines, namely, incremental SfM. These approaches consist of designing state observers for a camera's dynamical visual system looking at a 3D line. We start by presenting a model that uses spherical coordinates for representing the line's moment vector. We show that this parameterization has singularities, and therefore we introduce a more suitable model that considers the line's moment and shortest viewing ray. Concerning the observers, we present two different methodologies. The first uses a memory-less state-of-the-art framework for dynamic visual systems. Since the previous states of the robotic agent are accessible -- while performing the 3D mapping of the environment -- the second approach aims at exploiting the use of memory to improve the estimation accuracy and convergence speed. The two models and the two observers are evaluated in simulation and real data, where mobile and manipulator robots are used.
