



Abstract:While machine learning is widely used to optimize wireless networks, training a separate model for each task in communication and localization is becoming increasingly unsustainable due to the significant costs associated with training and deployment. Foundation models offer a more scalable alternative by enabling a single model to be adapted across multiple tasks through fine-tuning with limited samples. However, current foundation models mostly rely on large-scale Transformer architectures, resulting in computationally intensive models unsuitable for deployment on typical edge devices. This paper presents a lightweight foundation model based on simple Multi-Layer-Perceptron (MLP) encoders that independently process input patches. Our model supports 4 types of downstream tasks (long-range technology recognition, short-range technology recognition, modulation recognition and line-of-sight-detection) from multiple input types (IQ and CIR) and different sampling rates. We show that, unlike Transformers, which can exhibit performance drops as downstream tasks are added, our MLP model maintains robust generalization performance, achieving over 97% accurate fine-tuning results for previously unseen data classes. These results are achieved despite having only 21K trainable parameters, allowing an inference time of 0.33 ms on common edge devices, making the model suitable for constrained real-time deployments.




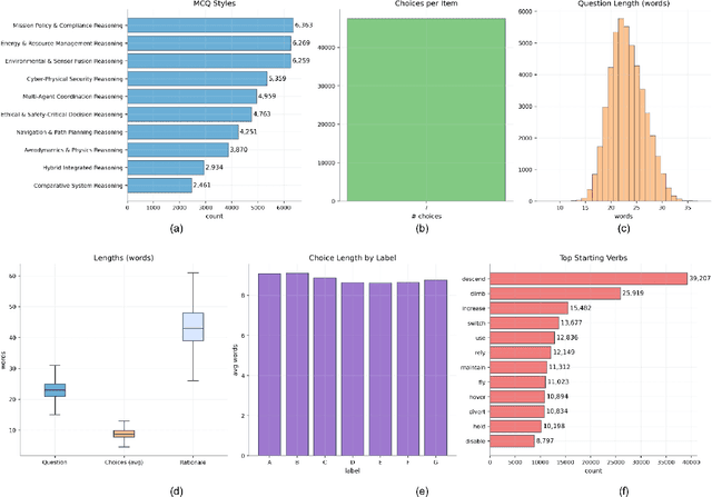
Abstract:Autonomous aerial systems increasingly rely on large language models (LLMs) for mission planning, perception, and decision-making, yet the lack of standardized and physically grounded benchmarks limits systematic evaluation of their reasoning capabilities. To address this gap, we introduce UAVBench, an open benchmark dataset comprising 50,000 validated UAV flight scenarios generated through taxonomy-guided LLM prompting and multi-stage safety validation. Each scenario is encoded in a structured JSON schema that includes mission objectives, vehicle configuration, environmental conditions, and quantitative risk labels, providing a unified representation of UAV operations across diverse domains. Building on this foundation, we present UAVBench_MCQ, a reasoning-oriented extension containing 50,000 multiple-choice questions spanning ten cognitive and ethical reasoning styles, ranging from aerodynamics and navigation to multi-agent coordination and integrated reasoning. This framework enables interpretable and machine-checkable assessment of UAV-specific cognition under realistic operational contexts. We evaluate 32 state-of-the-art LLMs, including GPT-5, ChatGPT-4o, Gemini 2.5 Flash, DeepSeek V3, Qwen3 235B, and ERNIE 4.5 300B, and find strong performance in perception and policy reasoning but persistent challenges in ethics-aware and resource-constrained decision-making. UAVBench establishes a reproducible and physically grounded foundation for benchmarking agentic AI in autonomous aerial systems and advancing next-generation UAV reasoning intelligence. To support open science and reproducibility, we release the UAVBench dataset, the UAVBench_MCQ benchmark, evaluation scripts, and all related materials on GitHub at https://github.com/maferrag/UAVBench




Abstract:Accurate, real-time wireless signal prediction is essential for next-generation networks. However, existing vision-based frameworks often rely on computationally intensive models and are also sensitive to environmental interference. To overcome these limitations, we propose a novel, physics-guided and light-weighted framework that predicts the received signal strength indicator (RSSI) from camera images. By decomposing RSSI into its physically interpretable components, path loss and shadow fading, we significantly reduce the model's learning difficulty and exhibit interpretability. Our approach establishes a new state-of-the-art by demonstrating exceptional robustness to environmental interference, a critical flaw in prior work. Quantitatively, our model reduces the prediction root mean squared error (RMSE) by 50.3% under conventional conditions and still achieves an 11.5% lower RMSE than the previous benchmark's interference-eliminated results. This superior performance is achieved with a remarkably lightweight framework, utilizing a MobileNet-based model up to 19 times smaller than competing solutions. The combination of high accuracy, robustness to interference, and computational efficiency makes our framework highly suitable for real-time, on-device deployment in edge devices, paving the way for more intelligent and reliable wireless communication systems.


Abstract:Federated Learning (FL) is an emerging learning framework that enables edge devices to collaboratively train ML models without sharing their local data. FL faces, however, a significant challenge due to the high amount of information that must be exchanged between the devices and the aggregator in the training phase, which can exceed the limited capacity of wireless systems. In this paper, two communication-efficient FL methods are considered where communication overhead is reduced by communicating scalar values instead of long vectors and by allowing high number of users to send information simultaneously. The first approach employs a zero-order optimization technique with two-point gradient estimator, while the second involves a first-order gradient computation strategy. The novelty lies in leveraging channel information in the learning algorithms, eliminating hence the need for additional resources to acquire channel state information (CSI) and to remove its impact, as well as in considering asynchronous devices. We provide a rigorous analytical framework for the two methods, deriving convergence guarantees and establishing appropriate performance bounds.




Abstract:Root Cause Analysis (RCA) in mobile networks remains a challenging task due to the need for interpretability, domain expertise, and causal reasoning. In this work, we propose a lightweight framework that leverages Large Language Models (LLMs) for RCA. To do so, we introduce TeleLogs, a curated dataset of annotated troubleshooting problems designed to benchmark RCA capabilities. Our evaluation reveals that existing open-source reasoning LLMs struggle with these problems, underscoring the need for domain-specific adaptation. To address this issue, we propose a two-stage training methodology that combines supervised fine-tuning with reinforcement learning to improve the accuracy and reasoning quality of LLMs. The proposed approach fine-tunes a series of RCA models to integrate domain knowledge and generate structured, multi-step diagnostic explanations, improving both interpretability and effectiveness. Extensive experiments across multiple LLM sizes show significant performance gains over state-of-the-art reasoning and non-reasoning models, including strong generalization to randomized test variants. These results demonstrate the promise of domain-adapted, reasoning-enhanced LLMs for practical and explainable RCA in network operation and management.
Abstract:Future wireless networks are expected to incorporate diverse services that often lack general mathematical models. To address such black-box network management tasks, the large language model (LLM) optimizer framework, which leverages pretrained LLMs as optimization agents, has recently been promoted as a promising solution. This framework utilizes natural language prompts describing the given optimization problems along with past solutions generated by LLMs themselves. As a result, LLMs can obtain efficient solutions autonomously without knowing the mathematical models of the objective functions. Although the viability of the LLM optimizer (LLMO) framework has been studied in various black-box scenarios, it has so far been limited to numerical simulations. For the first time, this paper establishes a theoretical foundation for the LLMO framework. With careful investigations of LLM inference steps, we can interpret the LLMO procedure as a finite-state Markov chain, and prove the convergence of the framework. Our results are extended to a more advanced multiple LLM architecture, where the impact of multiple LLMs is rigorously verified in terms of the convergence rate. Comprehensive numerical simulations validate our theoretical results and provide a deeper understanding of the underlying mechanisms of the LLMO framework.
Abstract:Multimodal fingerprinting is a crucial technique to sub-meter 6G integrated sensing and communications (ISAC) localization, but two hurdles block deployment: (i) the contribution each modality makes to the target position varies with the operating conditions such as carrier frequency, and (ii) spatial and fingerprint ambiguities markedly undermine localization accuracy, especially in non-line-of-sight (NLOS) scenarios. To solve these problems, we introduce SCADF-MoE, a spatial-context aware dynamic fusion network built on a soft mixture-of-experts backbone. SCADF-MoE first clusters neighboring points into short trajectories to inject explicit spatial context. Then, it adaptively fuses channel state information, angle of arrival profile, distance, and gain through its learnable MoE router, so that the most reliable cues dominate at each carrier band. The fused representation is fed to a modality-task MoE that simultaneously regresses the coordinates of every vertex in the trajectory and its centroid, thereby exploiting inter-point correlations. Finally, an auxiliary maximum-mean-discrepancy loss enforces expert diversity and mitigates gradient interference, stabilizing multi-task training. On three real urban layouts and three carrier bands (2.6, 6, 28 GHz), the model delivers consistent sub-meter MSE and halves unseen-NLOS error versus the best prior work. To our knowledge, this is the first work that leverages large-scale multimodal MoE for frequency-robust ISAC localization.
Abstract:This paper introduces a novel neural network framework called M2BeamLLM for beam prediction in millimeter-wave (mmWave) massive multi-input multi-output (mMIMO) communication systems. M2BeamLLM integrates multi-modal sensor data, including images, radar, LiDAR, and GPS, leveraging the powerful reasoning capabilities of large language models (LLMs) such as GPT-2 for beam prediction. By combining sensing data encoding, multimodal alignment and fusion, and supervised fine-tuning (SFT), M2BeamLLM achieves significantly higher beam prediction accuracy and robustness, demonstrably outperforming traditional deep learning (DL) models in both standard and few-shot scenarios. Furthermore, its prediction performance consistently improves with increased diversity in sensing modalities. Our study provides an efficient and intelligent beam prediction solution for vehicle-to-infrastructure (V2I) mmWave communication systems.




Abstract:The increasing adoption of artificial intelligence in telecommunications has raised interest in the capability of Large Language Models (LLMs) to address domain-specific, mathematically intensive tasks. Although recent advancements have improved the performance of LLMs in general mathematical reasoning, their effectiveness within specialized domains, such as signal processing, network optimization, and performance analysis, remains largely unexplored. To address this gap, we introduce TeleMath, the first benchmark dataset specifically designed to evaluate LLM performance in solving mathematical problems with numerical solutions in the telecommunications domain. Comprising 500 question-answer (QnA) pairs, TeleMath covers a wide spectrum of topics in the telecommunications field. This paper outlines the proposed QnAs generation pipeline, starting from a selected seed of problems crafted by Subject Matter Experts. The evaluation of a wide range of open-source LLMs reveals that best performance on TeleMath is achieved by recent models explicitly designed for mathematical or logical reasoning. In contrast, general-purpose models, even those with a large number of parameters, often struggle with these challenges. We have released the dataset and the evaluation code to ease result reproducibility and support future research.




Abstract:Post-training model quantization is a widely adopted technique for reducing the memory and computational costs of large language models (LLMs). However, most existing methods rely on uniform or heuristic bitwidth assignments, failing to account for the nonuniform sensitivity of weights to quantization noise. In this paper, we propose a novel framework for allocating quantization bitwidths based on sensitivity metrics derived from a Hessian proxy. We make key assumptions, which allow the layer/component-wise loss function to be expressed as an explicit function of the bitwidths. This enables a neat formulation of the bit allocation problem as a convex optimization task, whose closed-form solution adapts precision across weights to minimize the layer-wise quantization loss. Inspecting the solution provides several insights (such as the equal-loss structure), which are then exploited to design the proposed \textbf{BAQ} (Bit Allocation Quantization) algorithm. The proposed algorithm achieves a good trade-off between loss minimization and complexity and allows BAQ to be integrated into standard quantization pipelines with minimal overhead. Experimental results show that BAQ consistently outperforms GPTQ, achieving up to 56$\times$ lower perplexity at the same bitwidth on large language models ranging from 125M to 30B parameters. Leveraging our analytical results derived from solving the optimal bit allocation problem, we also provide a theoretical explanation for the observed gains. All codes of this paper are available at https://github.com/CSU-ModelCompression/BAQ.