Abstract:We introduce a framework that enables both multi-view character consistency and 3D camera control in video diffusion models through a novel customization data pipeline. We train the character consistency component with recorded volumetric capture performances re-rendered with diverse camera trajectories via 4D Gaussian Splatting (4DGS), lighting variability obtained with a video relighting model. We fine-tune state-of-the-art open-source video diffusion models on this data to provide strong multi-view identity preservation, precise camera control, and lighting adaptability. Our framework also supports core capabilities for virtual production, including multi-subject generation using two approaches: joint training and noise blending, the latter enabling efficient composition of independently customized models at inference time; it also achieves scene and real-life video customization as well as control over motion and spatial layout during customization. Extensive experiments show improved video quality, higher personalization accuracy, and enhanced camera control and lighting adaptability, advancing the integration of video generation into virtual production. Our project page is available at: https://eyeline-labs.github.io/Virtually-Being.
Abstract:Spiking neural networks possess the advantage of low energy consumption due to their event-driven nature. Compared with binary spike outputs, their inherent floating-point dynamics are more worthy of attention. The threshold level and reset mode of neurons play a crucial role in determining the number and timing of spikes. The existing hard reset method causes information loss, while the improved soft reset method adopts a uniform treatment for neurons. In response to this, this paper designs an adaptive reset neuron, establishing the correlation between input, output and reset, and integrating a simple yet effective threshold adjustment strategy. It achieves excellent performance on various datasets while maintaining the advantage of low energy consumption.
Abstract:Recent advances in diffusion models have revolutionized video generation, offering superior temporal consistency and visual quality compared to traditional generative adversarial networks-based approaches. While this emerging field shows tremendous promise in applications, it faces significant challenges in motion consistency, computational efficiency, and ethical considerations. This survey provides a comprehensive review of diffusion-based video generation, examining its evolution, technical foundations, and practical applications. We present a systematic taxonomy of current methodologies, analyze architectural innovations and optimization strategies, and investigate applications across low-level vision tasks such as denoising and super-resolution. Additionally, we explore the synergies between diffusionbased video generation and related domains, including video representation learning, question answering, and retrieval. Compared to the existing surveys (Lei et al., 2024a;b; Melnik et al., 2024; Cao et al., 2023; Xing et al., 2024c) which focus on specific aspects of video generation, such as human video synthesis (Lei et al., 2024a) or long-form content generation (Lei et al., 2024b), our work provides a broader, more updated, and more fine-grained perspective on diffusion-based approaches with a special section for evaluation metrics, industry solutions, and training engineering techniques in video generation. This survey serves as a foundational resource for researchers and practitioners working at the intersection of diffusion models and video generation, providing insights into both the theoretical frameworks and practical implementations that drive this rapidly evolving field. A structured list of related works involved in this survey is also available on https://github.com/Eyeline-Research/Survey-Video-Diffusion.
Abstract:Diffusion models offer impressive controllability for image tasks, primarily through noise predictions that encode task-specific information and classifier-free guidance enabling adjustable scaling. This scaling mechanism implicitly defines a ``scaling space'' whose potential for fine-grained semantic manipulation remains underexplored. We investigate this space, starting with inversion-based editing where the difference between conditional/unconditional noise predictions carries key semantic information. Our core contribution stems from a Fourier analysis of noise predictions, revealing that its low- and high-frequency components evolve differently throughout diffusion. Based on this insight, we introduce FreSca, a straightforward method that applies guidance scaling independently to different frequency bands in the Fourier domain. FreSca demonstrably enhances existing image editing methods without retraining. Excitingly, its effectiveness extends to image understanding tasks such as depth estimation, yielding quantitative gains across multiple datasets.
Abstract:Video portrait relighting remains challenging because the results need to be both photorealistic and temporally stable. This typically requires a strong model design that can capture complex facial reflections as well as intensive training on a high-quality paired video dataset, such as dynamic one-light-at-a-time (OLAT). In this work, we introduce Lux Post Facto, a novel portrait video relighting method that produces both photorealistic and temporally consistent lighting effects. From the model side, we design a new conditional video diffusion model built upon state-of-the-art pre-trained video diffusion model, alongside a new lighting injection mechanism to enable precise control. This way we leverage strong spatial and temporal generative capability to generate plausible solutions to the ill-posed relighting problem. Our technique uses a hybrid dataset consisting of static expression OLAT data and in-the-wild portrait performance videos to jointly learn relighting and temporal modeling. This avoids the need to acquire paired video data in different lighting conditions. Our extensive experiments show that our model produces state-of-the-art results both in terms of photorealism and temporal consistency.




Abstract:Generative modeling aims to transform random noise into structured outputs. In this work, we enhance video diffusion models by allowing motion control via structured latent noise sampling. This is achieved by just a change in data: we pre-process training videos to yield structured noise. Consequently, our method is agnostic to diffusion model design, requiring no changes to model architectures or training pipelines. Specifically, we propose a novel noise warping algorithm, fast enough to run in real time, that replaces random temporal Gaussianity with correlated warped noise derived from optical flow fields, while preserving the spatial Gaussianity. The efficiency of our algorithm enables us to fine-tune modern video diffusion base models using warped noise with minimal overhead, and provide a one-stop solution for a wide range of user-friendly motion control: local object motion control, global camera movement control, and motion transfer. The harmonization between temporal coherence and spatial Gaussianity in our warped noise leads to effective motion control while maintaining per-frame pixel quality. Extensive experiments and user studies demonstrate the advantages of our method, making it a robust and scalable approach for controlling motion in video diffusion models. Video results are available on our webpage: https://vgenai-netflix-eyeline-research.github.io/Go-with-the-Flow. Source code and model checkpoints are available on GitHub: https://github.com/VGenAI-Netflix-Eyeline-Research/Go-with-the-Flow.
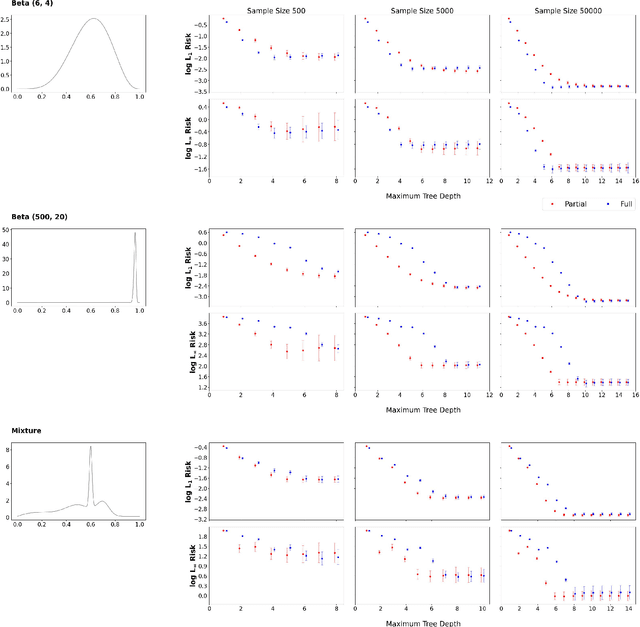
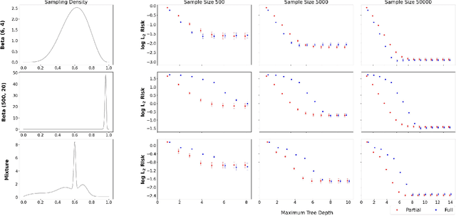
Abstract:Tree-based models for probability distributions are usually specified using a predetermined, data-independent collection of candidate recursive partitions of the sample space. To characterize an unknown target density in detail over the entire sample space, candidate partitions must have the capacity to expand deeply into all areas of the sample space with potential non-zero sampling probability. Such an expansive system of partitions often incurs prohibitive computational costs and makes inference prone to overfitting, especially in regions with little probability mass. Existing models typically make a compromise and rely on relatively shallow trees. This hampers one of the most desirable features of trees, their ability to characterize local features, and results in reduced statistical efficiency. Traditional wisdom suggests that this compromise is inevitable to ensure coherent likelihood-based reasoning, as a data-dependent partition system that allows deeper expansion only in regions with more observations would induce double dipping of the data and thus lead to inconsistent inference. We propose a simple strategy to restore coherency while allowing the candidate partitions to be data-dependent, using Cox's partial likelihood. This strategy parametrizes the tree-based sampling model according to the allocation of probability mass based on the observed data, and yet under appropriate specification, the resulting inference remains valid. Our partial likelihood approach is broadly applicable to existing likelihood-based methods and in particular to Bayesian inference on tree-based models. We give examples in density estimation in which the partial likelihood is endowed with existing priors on tree-based models and compare with the standard, full-likelihood approach. The results show substantial gains in estimation accuracy and computational efficiency from using the partial likelihood.
Abstract:We present a technique for fitting high dynamic range illumination (HDRI) sequences using anisotropic spherical Gaussians (ASGs) while preserving temporal consistency in the compressed HDRI maps. Our approach begins with an optimization network that iteratively minimizes a composite loss function, which includes both reconstruction and diffuse losses. This allows us to represent all-frequency signals with a small number of ASGs, optimizing their directions, sharpness, and intensity simultaneously for an individual HDRI. To extend this optimization into the temporal domain, we introduce a temporal consistency loss, ensuring a consistent approximation across the entire HDRI sequence.
Abstract:Automatic 3D content creation has gained increasing attention recently, due to its potential in various applications such as video games, film industry, and AR/VR. Recent advancements in diffusion models and multimodal models have notably improved the quality and efficiency of 3D object generation given a single RGB image. However, 3D objects generated even by state-of-the-art methods are still unsatisfactory compared to human-created assets. Considering only textures instead of materials makes these methods encounter challenges in photo-realistic rendering, relighting, and flexible appearance editing. And they also suffer from severe misalignment between geometry and high-frequency texture details. In this work, we propose a novel approach to boost the quality of generated 3D objects from the perspective of Physics-Based Rendering (PBR) materials. By analyzing the components of PBR materials, we choose to consider albedo, roughness, metalness, and bump maps. For albedo and bump maps, we leverage Stable Diffusion fine-tuned on synthetic data to extract these values, with novel usages of these fine-tuned models to obtain 3D consistent albedo UV and bump UV for generated objects. In terms of roughness and metalness maps, we adopt a semi-automatic process to provide room for interactive adjustment, which we believe is more practical. Extensive experiments demonstrate that our model is generally beneficial for various state-of-the-art generation methods, significantly boosting the quality and realism of their generated 3D objects, with natural relighting effects and substantially improved geometry.




Abstract:We present a novel framework for free-viewpoint facial performance relighting using diffusion-based image-to-image translation. Leveraging a subject-specific dataset containing diverse facial expressions captured under various lighting conditions, including flat-lit and one-light-at-a-time (OLAT) scenarios, we train a diffusion model for precise lighting control, enabling high-fidelity relit facial images from flat-lit inputs. Our framework includes spatially-aligned conditioning of flat-lit captures and random noise, along with integrated lighting information for global control, utilizing prior knowledge from the pre-trained Stable Diffusion model. This model is then applied to dynamic facial performances captured in a consistent flat-lit environment and reconstructed for novel-view synthesis using a scalable dynamic 3D Gaussian Splatting method to maintain quality and consistency in the relit results. In addition, we introduce unified lighting control by integrating a novel area lighting representation with directional lighting, allowing for joint adjustments in light size and direction. We also enable high dynamic range imaging (HDRI) composition using multiple directional lights to produce dynamic sequences under complex lighting conditions. Our evaluations demonstrate the models efficiency in achieving precise lighting control and generalizing across various facial expressions while preserving detailed features such as skintexture andhair. The model accurately reproduces complex lighting effects like eye reflections, subsurface scattering, self-shadowing, and translucency, advancing photorealism within our framework.