



Abstract:As large language models (LLMs) become integrated into everyday applications, ensuring their robustness and security is increasingly critical. In particular, LLMs can be manipulated into unsafe behaviour by prompts known as jailbreaks. The variety of jailbreak styles is growing, necessitating the use of external defences known as guardrails. While many jailbreak defences have been proposed, not all defences are able to handle new out-of-distribution attacks due to the narrow segment of jailbreaks used to align them. Moreover, the lack of systematisation around defences has created significant gaps in their practical application. In this work, we perform systematic benchmarking across 15 different defences, considering a broad swathe of malicious and benign datasets. We find that there is significant performance variation depending on the style of jailbreak a defence is subject to. Additionally, we show that based on current datasets available for evaluation, simple baselines can display competitive out-of-distribution performance compared to many state-of-the-art defences. Code is available at https://github.com/IBM/Adversarial-Prompt-Evaluation.




Abstract:Invariant risk minimization (IRM) has received increasing attention as a way to acquire environment-agnostic data representations and predictions, and as a principled solution for preventing spurious correlations from being learned and for improving models' out-of-distribution generalization. Yet, recent works have found that the optimality of the originally-proposed IRM optimization (IRM) may be compromised in practice or could be impossible to achieve in some scenarios. Therefore, a series of advanced IRM algorithms have been developed that show practical improvement over IRM. In this work, we revisit these recent IRM advancements, and identify and resolve three practical limitations in IRM training and evaluation. First, we find that the effect of batch size during training has been chronically overlooked in previous studies, leaving room for further improvement. We propose small-batch training and highlight the improvements over a set of large-batch optimization techniques. Second, we find that improper selection of evaluation environments could give a false sense of invariance for IRM. To alleviate this effect, we leverage diversified test-time environments to precisely characterize the invariance of IRM when applied in practice. Third, we revisit (Ahuja et al. (2020))'s proposal to convert IRM into an ensemble game and identify a limitation when a single invariant predictor is desired instead of an ensemble of individual predictors. We propose a new IRM variant to address this limitation based on a novel viewpoint of ensemble IRM games as consensus-constrained bi-level optimization. Lastly, we conduct extensive experiments (covering 7 existing IRM variants and 7 datasets) to justify the practical significance of revisiting IRM training and evaluation in a principled manner.




Abstract:Recent advances in deep learning have led to breakthroughs in the development of automated skin disease classification. As we observe an increasing interest in these models in the dermatology space, it is crucial to address aspects such as the robustness towards input data distribution shifts. Current skin disease models could make incorrect inferences for test samples from different hardware devices and clinical settings or unknown disease samples, which are out-of-distribution (OOD) from the training samples. To this end, we propose a simple yet effective approach that detect these OOD samples prior to making any decision. The detection is performed via scanning in the latent space representation (e.g., activations of the inner layers of any pre-trained skin disease classifier). The input samples could also perturbed to maximise divergence of OOD samples. We validate our ODD detection approach in two use cases: 1) identify samples collected from different protocols, and 2) detect samples from unknown disease classes. Additionally, we evaluate the performance of the proposed approach and compare it with other state-of-the-art methods. Furthermore, data-driven dermatology applications may deepen the disparity in clinical care across racial and ethnic groups since most datasets are reported to suffer from bias in skin tone distribution. Therefore, we also evaluate the fairness of these OOD detection methods across different skin tones. Our experiments resulted in competitive performance across multiple datasets in detecting OOD samples, which could be used (in the future) to design more effective transfer learning techniques prior to inferring on these samples.




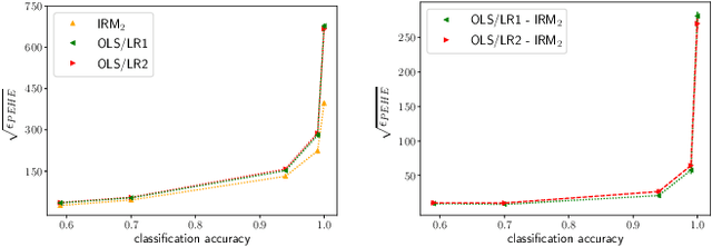
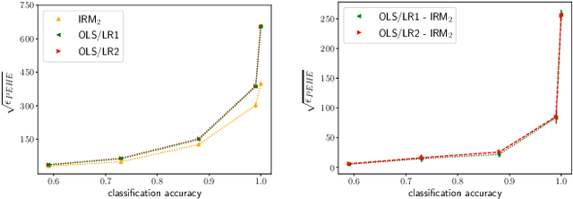
Abstract:Inferring causal individual treatment effect (ITE) from observational data is a challenging problem whose difficulty is exacerbated by the presence of treatment assignment bias. In this work, we propose a new way to estimate the ITE using the domain generalization framework of invariant risk minimization (IRM). IRM uses data from multiple domains, learns predictors that do not exploit spurious domain-dependent factors, and generalizes better to unseen domains. We propose an IRM-based ITE estimator aimed at tackling treatment assignment bias when there is little support overlap between the control group and the treatment group. We accomplish this by creating diversity: given a single dataset, we split the data into multiple domains artificially. These diverse domains are then exploited by IRM to more effectively generalize regression-based models to data regions that lack support overlap. We show gains over classical regression approaches to ITE estimation in settings when support mismatch is more pronounced.



Abstract:Autonomous cyber-physical agents and systems play an increasingly large role in our lives. To ensure that agents behave in ways aligned with the values of the societies in which they operate, we must develop techniques that allow these agents to not only maximize their reward in an environment, but also to learn and follow the implicit constraints of society. These constraints and norms can come from any number of sources including regulations, business process guidelines, laws, ethical principles, social norms, and moral values. We detail a novel approach that uses inverse reinforcement learning to learn a set of unspecified constraints from demonstrations of the task, and reinforcement learning to learn to maximize the environment rewards. More precisely, we assume that an agent can observe traces of behavior of members of the society but has no access to the explicit set of constraints that give rise to the observed behavior. Inverse reinforcement learning is used to learn such constraints, that are then combined with a possibly orthogonal value function through the use of a contextual bandit-based orchestrator that picks a contextually-appropriate choice between the two policies (constraint-based and environment reward-based) when taking actions. The contextual bandit orchestrator allows the agent to mix policies in novel ways, taking the best actions from either a reward maximizing or constrained policy. In addition, the orchestrator is transparent on which policy is being employed at each time step. We test our algorithms using a Pac-Man domain and show that the agent is able to learn to act optimally, act within the demonstrated constraints, and mix these two functions in complex ways.




Abstract:Recommendation for e-commerce with a mix of durable and nondurable goods has characteristics that distinguish it from the well-studied media recommendation problem. The demand for items is a combined effect of form utility and time utility, i.e., a product must both be intrinsically appealing to a consumer and the time must be right for purchase. In particular for durable goods, time utility is a function of inter-purchase duration within product category because consumers are unlikely to purchase two items in the same category in close temporal succession. Moreover, purchase data, in contrast to ratings data, is implicit with non-purchases not necessarily indicating dislike. Together, these issues give rise to the positive-unlabeled demand-aware recommendation problem that we pose via joint low-rank tensor completion and product category inter-purchase duration vector estimation. We further relax this problem and propose a highly scalable alternating minimization approach with which we can solve problems with millions of users and millions of items in a single thread. We also show superior prediction accuracies on multiple real-world data sets.