Institution Two
Abstract:Concept erasure has emerged as a promising technique for mitigating the risk of harmful content generation in diffusion models by selectively unlearning undesirable concepts. The common principle of previous works to remove a specific concept is to map it to a fixed generic concept, such as a neutral concept or just an empty text prompt. In this paper, we demonstrate that this fixed-target strategy is suboptimal, as it fails to account for the impact of erasing one concept on the others. To address this limitation, we model the concept space as a graph and empirically analyze the effects of erasing one concept on the remaining concepts. Our analysis uncovers intriguing geometric properties of the concept space, where the influence of erasing a concept is confined to a local region. Building on this insight, we propose the Adaptive Guided Erasure (AGE) method, which \emph{dynamically} selects optimal target concepts tailored to each undesirable concept, minimizing unintended side effects. Experimental results show that AGE significantly outperforms state-of-the-art erasure methods on preserving unrelated concepts while maintaining effective erasure performance. Our code is published at {https://github.com/tuananhbui89/Adaptive-Guided-Erasure}.
Abstract:In autonomous driving, the combination of AI and vehicular technology offers great potential. However, this amalgamation comes with vulnerabilities to adversarial attacks. This survey focuses on the intersection of Adversarial Machine Learning (AML) and autonomous systems, with a specific focus on LiDAR-based systems. We comprehensively explore the threat landscape, encompassing cyber-attacks on sensors and adversarial perturbations. Additionally, we investigate defensive strategies employed in countering these threats. This paper endeavors to present a concise overview of the challenges and advances in securing autonomous driving systems against adversarial threats, emphasizing the need for robust defenses to ensure safety and security.




Abstract:Recently, deep learning has demonstrated promising results in enhancing the accuracy of vulnerability detection and identifying vulnerabilities in software. However, these techniques are still vulnerable to attacks. Adversarial examples can exploit vulnerabilities within deep neural networks, posing a significant threat to system security. This study showcases the susceptibility of deep learning models to adversarial attacks, which can achieve 100% attack success rate (refer to Table 5). The proposed method, EaTVul, encompasses six stages: identification of important samples using support vector machines, identification of important features using the attention mechanism, generation of adversarial data based on these features using ChatGPT, preparation of an adversarial attack pool, selection of seed data using a fuzzy genetic algorithm, and the execution of an evasion attack. Extensive experiments demonstrate the effectiveness of EaTVul, achieving an attack success rate of more than 83% when the snippet size is greater than 2. Furthermore, in most cases with a snippet size of 4, EaTVul achieves a 100% attack success rate. The findings of this research emphasize the necessity of robust defenses against adversarial attacks in software vulnerability detection.



Abstract:In this paper we explore the challenges and strategies for enhancing the robustness of $k$-means clustering algorithms against adversarial manipulations. We evaluate the vulnerability of clustering algorithms to adversarial attacks, emphasising the associated security risks. Our study investigates the impact of incremental attack strength on training, introduces the concept of transferability between supervised and unsupervised models, and highlights the sensitivity of unsupervised models to sample distributions. We additionally introduce and evaluate an adversarial training method that improves testing performance in adversarial scenarios, and we highlight the importance of various parameters in the proposed training method, such as continuous learning, centroid initialisation, and adversarial step-count.




Abstract:Multi-Agent Reinforcement Learning (MARL) is vulnerable to Adversarial Machine Learning (AML) attacks and needs adequate defences before it can be used in real world applications. We have conducted a survey into the use of execution-time AML attacks against MARL and the defences against those attacks. We surveyed related work in the application of AML in Deep Reinforcement Learning (DRL) and Multi-Agent Learning (MAL) to inform our analysis of AML for MARL. We propose a novel perspective to understand the manner of perpetrating an AML attack, by defining Attack Vectors. We develop two new frameworks to address a gap in current modelling frameworks, focusing on the means and tempo of an AML attack against MARL, and identify knowledge gaps and future avenues of research.




Abstract:Penetration testing the organised attack of a computer system in order to test existing defences has been used extensively to evaluate network security. This is a time consuming process and requires in-depth knowledge for the establishment of a strategy that resembles a real cyber-attack. This paper presents a novel deep reinforcement learning architecture with hierarchically structured agents called HA-DRL, which employs an algebraic action decomposition strategy to address the large discrete action space of an autonomous penetration testing simulator where the number of actions is exponentially increased with the complexity of the designed cybersecurity network. The proposed architecture is shown to find the optimal attacking policy faster and more stably than a conventional deep Q-learning agent which is commonly used as a method to apply artificial intelligence in automatic penetration testing.




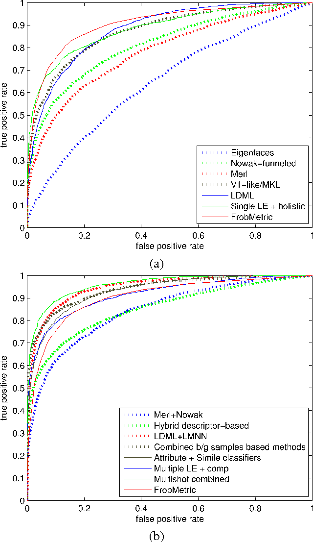
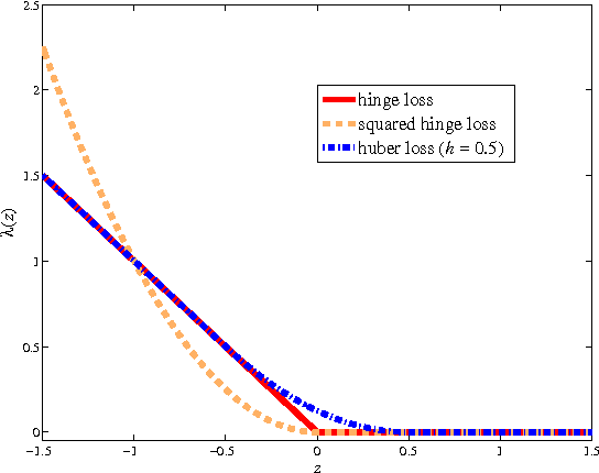
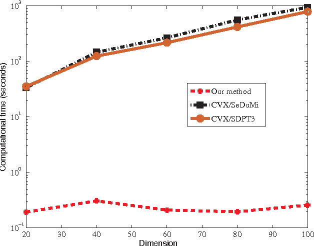
Abstract:Distance metric learning is of fundamental interest in machine learning because the distance metric employed can significantly affect the performance of many learning methods. Quadratic Mahalanobis metric learning is a popular approach to the problem, but typically requires solving a semidefinite programming (SDP) problem, which is computationally expensive. Standard interior-point SDP solvers typically have a complexity of $O(D^{6.5})$ (with $D$ the dimension of input data), and can thus only practically solve problems exhibiting less than a few thousand variables. Since the number of variables is $D (D+1) / 2 $, this implies a limit upon the size of problem that can practically be solved of around a few hundred dimensions. The complexity of the popular quadratic Mahalanobis metric learning approach thus limits the size of problem to which metric learning can be applied. Here we propose a significantly more efficient approach to the metric learning problem based on the Lagrange dual formulation of the problem. The proposed formulation is much simpler to implement, and therefore allows much larger Mahalanobis metric learning problems to be solved. The time complexity of the proposed method is $O (D ^ 3) $, which is significantly lower than that of the SDP approach. Experiments on a variety of datasets demonstrate that the proposed method achieves an accuracy comparable to the state-of-the-art, but is applicable to significantly larger problems. We also show that the proposed method can be applied to solve more general Frobenius-norm regularized SDP problems approximately.




Abstract:The success of many machine learning and pattern recognition methods relies heavily upon the identification of an appropriate distance metric on the input data. It is often beneficial to learn such a metric from the input training data, instead of using a default one such as the Euclidean distance. In this work, we propose a boosting-based technique, termed BoostMetric, for learning a quadratic Mahalanobis distance metric. Learning a valid Mahalanobis distance metric requires enforcing the constraint that the matrix parameter to the metric remains positive definite. Semidefinite programming is often used to enforce this constraint, but does not scale well and easy to implement. BoostMetric is instead based on the observation that any positive semidefinite matrix can be decomposed into a linear combination of trace-one rank-one matrices. BoostMetric thus uses rank-one positive semidefinite matrices as weak learners within an efficient and scalable boosting-based learning process. The resulting methods are easy to implement, efficient, and can accommodate various types of constraints. We extend traditional boosting algorithms in that its weak learner is a positive semidefinite matrix with trace and rank being one rather than a classifier or regressor. Experiments on various datasets demonstrate that the proposed algorithms compare favorably to those state-of-the-art methods in terms of classification accuracy and running time.




Abstract:For many machine learning algorithms such as $k$-Nearest Neighbor ($k$-NN) classifiers and $ k $-means clustering, often their success heavily depends on the metric used to calculate distances between different data points. An effective solution for defining such a metric is to learn it from a set of labeled training samples. In this work, we propose a fast and scalable algorithm to learn a Mahalanobis distance metric. By employing the principle of margin maximization to achieve better generalization performances, this algorithm formulates the metric learning as a convex optimization problem and a positive semidefinite (psd) matrix is the unknown variable. a specialized gradient descent method is proposed. our algorithm is much more efficient and has a better performance in scalability compared with existing methods. Experiments on benchmark data sets suggest that, compared with state-of-the-art metric learning algorithms, our algorithm can achieve a comparable classification accuracy with reduced computational complexity.




Abstract:The learning of appropriate distance metrics is a critical problem in image classification and retrieval. In this work, we propose a boosting-based technique, termed \BoostMetric, for learning a Mahalanobis distance metric. One of the primary difficulties in learning such a metric is to ensure that the Mahalanobis matrix remains positive semidefinite. Semidefinite programming is sometimes used to enforce this constraint, but does not scale well. \BoostMetric is instead based on a key observation that any positive semidefinite matrix can be decomposed into a linear positive combination of trace-one rank-one matrices. \BoostMetric thus uses rank-one positive semidefinite matrices as weak learners within an efficient and scalable boosting-based learning process. The resulting method is easy to implement, does not require tuning, and can accommodate various types of constraints. Experiments on various datasets show that the proposed algorithm compares favorably to those state-of-the-art methods in terms of classification accuracy and running time.