Abstract:The deployment of Large Language Models (LLMs) on resource-constrained edge devices is increasingly hindered by prohibitive memory and computational requirements. While ternary quantization offers a compelling solution by reducing weights to {-1, 0, +1}, current implementations suffer from a fundamental misalignment with commodity hardware. Most existing methods must choose between 2-bit aligned packing, which incurs significant bit wastage, or 1.67-bit irregular packing, which degrades inference speed. To resolve this tension, we propose Sherry, a hardware-efficient ternary quantization framework. Sherry introduces a 3:4 fine-grained sparsity that achieves a regularized 1.25-bit width by packing blocks of four weights into five bits, restoring power-of-two alignment. Furthermore, we identify weight trapping issue in sparse ternary training, which leads to representational collapse. To address this, Sherry introduces Arenas, an annealing residual synapse mechanism that maintains representational diversity during training. Empirical evaluations on LLaMA-3.2 across five benchmarks demonstrate that Sherry matches state-of-the-art ternary performance while significantly reducing model size. Notably, on an Intel i7-14700HX CPU, our 1B model achieves zero accuracy loss compared to SOTA baselines while providing 25% bit savings and 10% speed up. The code is available at https://github.com/Tencent/AngelSlim .




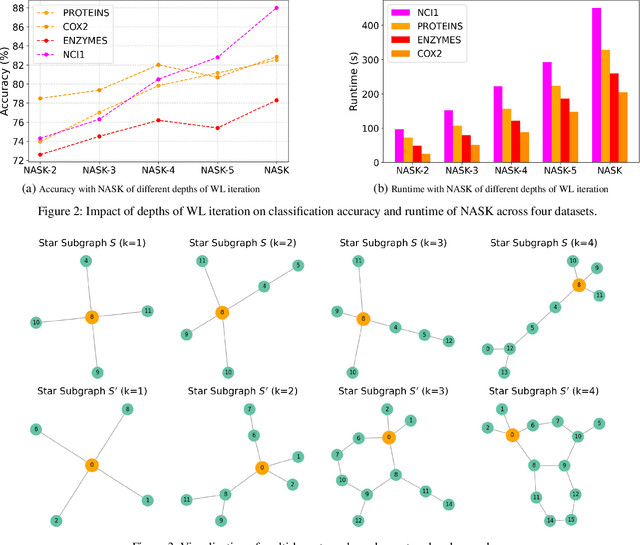
Abstract:Attributed graphs, typically characterized by irregular topologies and a mix of numerical and categorical attributes, are ubiquitous in diverse domains such as social networks, bioinformatics, and cheminformatics. While graph kernels provide a principled framework for measuring graph similarity, existing kernel methods often struggle to simultaneously capture heterogeneous attribute semantics and neighborhood information in attributed graphs. In this work, we propose the Neighborhood-Aware Star Kernel (NASK), a novel graph kernel designed for attributed graph learning. NASK leverages an exponential transformation of the Gower similarity coefficient to jointly model numerical and categorical features efficiently, and employs star substructures enhanced by Weisfeiler-Lehman iterations to integrate multi-scale neighborhood structural information. We theoretically prove that NASK is positive definite, ensuring compatibility with kernel-based learning frameworks such as SVMs. Extensive experiments are conducted on eleven attributed and four large-scale real-world graph benchmarks. The results demonstrate that NASK consistently achieves superior performance over sixteen state-of-the-art baselines, including nine graph kernels and seven Graph Neural Networks.




Abstract:We introduce SafeWork-R1, a cutting-edge multimodal reasoning model that demonstrates the coevolution of capabilities and safety. It is developed by our proposed SafeLadder framework, which incorporates large-scale, progressive, safety-oriented reinforcement learning post-training, supported by a suite of multi-principled verifiers. Unlike previous alignment methods such as RLHF that simply learn human preferences, SafeLadder enables SafeWork-R1 to develop intrinsic safety reasoning and self-reflection abilities, giving rise to safety `aha' moments. Notably, SafeWork-R1 achieves an average improvement of $46.54\%$ over its base model Qwen2.5-VL-72B on safety-related benchmarks without compromising general capabilities, and delivers state-of-the-art safety performance compared to leading proprietary models such as GPT-4.1 and Claude Opus 4. To further bolster its reliability, we implement two distinct inference-time intervention methods and a deliberative search mechanism, enforcing step-level verification. Finally, we further develop SafeWork-R1-InternVL3-78B, SafeWork-R1-DeepSeek-70B, and SafeWork-R1-Qwen2.5VL-7B. All resulting models demonstrate that safety and capability can co-evolve synergistically, highlighting the generalizability of our framework in building robust, reliable, and trustworthy general-purpose AI.




Abstract:To understand and identify the unprecedented risks posed by rapidly advancing artificial intelligence (AI) models, this report presents a comprehensive assessment of their frontier risks. Drawing on the E-T-C analysis (deployment environment, threat source, enabling capability) from the Frontier AI Risk Management Framework (v1.0) (SafeWork-F1-Framework), we identify critical risks in seven areas: cyber offense, biological and chemical risks, persuasion and manipulation, uncontrolled autonomous AI R\&D, strategic deception and scheming, self-replication, and collusion. Guided by the "AI-$45^\circ$ Law," we evaluate these risks using "red lines" (intolerable thresholds) and "yellow lines" (early warning indicators) to define risk zones: green (manageable risk for routine deployment and continuous monitoring), yellow (requiring strengthened mitigations and controlled deployment), and red (necessitating suspension of development and/or deployment). Experimental results show that all recent frontier AI models reside in green and yellow zones, without crossing red lines. Specifically, no evaluated models cross the yellow line for cyber offense or uncontrolled AI R\&D risks. For self-replication, and strategic deception and scheming, most models remain in the green zone, except for certain reasoning models in the yellow zone. In persuasion and manipulation, most models are in the yellow zone due to their effective influence on humans. For biological and chemical risks, we are unable to rule out the possibility of most models residing in the yellow zone, although detailed threat modeling and in-depth assessment are required to make further claims. This work reflects our current understanding of AI frontier risks and urges collective action to mitigate these challenges.
Abstract:Egocentric pose estimation is a fundamental capability for multi-robot collaborative perception in connected autonomy, such as connected autonomous vehicles. During multi-robot operations, a robot needs to know the relative pose between itself and its teammates with respect to its own coordinates. However, different robots usually observe completely different views that contains similar objects, which leads to wrong pose estimation. In addition, it is unrealistic to allow robots to share their raw observations to detect overlap due to the limited communication bandwidth constraint. In this paper, we introduce a novel method for Non-Overlap-Aware Egocentric Pose Estimation (NOPE), which performs egocentric pose estimation in a multi-robot team while identifying the non-overlap views and satifying the communication bandwidth constraint. NOPE is built upon an unified hierarchical learning framework that integrates two levels of robot learning: (1) high-level deep graph matching for correspondence identification, which allows to identify if two views are overlapping or not, (2) low-level position-aware cross-attention graph learning for egocentric pose estimation. To evaluate NOPE, we conduct extensive experiments in both high-fidelity simulation and real-world scenarios. Experimental results have demonstrated that NOPE enables the novel capability for non-overlapping-aware egocentric pose estimation and achieves state-of-art performance compared with the existing methods. Our project page at https://hongh0.github.io/NOPE/.
Abstract:Recent advances in vision-language models, such as CLIP, have significantly improved performance in zero- and few-shot anomaly detection (ZFSAD) tasks. However, most existing CLIP-based methods assume prior knowledge of categories and rely on carefully designed prompts tailored to specific scenarios. While these text prompts capture semantic information in the textual space, they often fail to distinguish normal and anomalous instances in the joint embedding space. Moreover, most ZFSAD approaches focus on industrial domains, with limited exploration in medical tasks. To address these limitations, we propose IQE-CLIP, a novel framework for ZFSAD in the medical domain. We show that query embeddings integrating both textual and instance-aware visual information serve as more effective indicators of anomalies. Specifically, we introduce class-based and learnable prompting tokens to better adapt CLIP to the medical setting. Furthermore, we design an instance-aware query module that extracts region-level contextual information from both modalities, enabling the generation of anomaly-sensitive embeddings. Extensive experiments on six medical datasets demonstrate that IQE-CLIP achieves state-of-the-art performance in both zero-shot and few-shot settings. Code and data are available at \href{https://github.com/hongh0/IQE-CLIP/}{this https URL}.




Abstract:We propose a neural physics system for real-time, interactive fluid simulations. Traditional physics-based methods, while accurate, are computationally intensive and suffer from latency issues. Recent machine-learning methods reduce computational costs while preserving fidelity; yet most still fail to satisfy the latency constraints for real-time use and lack support for interactive applications. To bridge this gap, we introduce a novel hybrid method that integrates numerical simulation, neural physics, and generative control. Our neural physics jointly pursues low-latency simulation and high physical fidelity by employing a fallback safeguard to classical numerical solvers. Furthermore, we develop a diffusion-based controller that is trained using a reverse modeling strategy to generate external dynamic force fields for fluid manipulation. Our system demonstrates robust performance across diverse 2D/3D scenarios, material types, and obstacle interactions, achieving real-time simulations at high frame rates (11~29% latency) while enabling fluid control guided by user-friendly freehand sketches. We present a significant step towards practical, controllable, and physically plausible fluid simulations for real-time interactive applications. We promise to release both models and data upon acceptance.




Abstract:Large language models (LLMs) have made exciting achievements across various domains, yet their deployment on resource-constrained personal devices remains hindered by the prohibitive computational and memory demands of task-specific fine-tuning. While quantization offers a pathway to efficiency, existing methods struggle to balance performance and overhead, either incurring high computational/memory costs or failing to address activation outliers, a critical bottleneck in quantized fine-tuning. To address these challenges, we propose the Outlier Spatial Stability Hypothesis (OSSH): During fine-tuning, certain activation outlier channels retain stable spatial positions across training iterations. Building on OSSH, we propose Quaff, a Quantized parameter-efficient fine-tuning framework for LLMs, optimizing low-precision activation representations through targeted momentum scaling. Quaff dynamically suppresses outliers exclusively in invariant channels using lightweight operations, eliminating full-precision weight storage and global rescaling while reducing quantization errors. Extensive experiments across ten benchmarks validate OSSH and demonstrate Quaff's efficacy. Specifically, on the GPQA reasoning benchmark, Quaff achieves a 1.73x latency reduction and 30% memory savings over full-precision fine-tuning while improving accuracy by 0.6% on the Phi-3 model, reconciling the triple trade-off between efficiency, performance, and deployability. By enabling consumer-grade GPU fine-tuning (e.g., RTX 2080 Super) without sacrificing model utility, Quaff democratizes personalized LLM deployment. The code is available at https://github.com/Little0o0/Quaff.git.




Abstract:Federated Learning (FL) enables collaborative model training across distributed clients without data sharing, but its high computational and communication demands strain resource-constrained devices. While existing methods use dynamic pruning to improve efficiency by periodically adjusting sparse model topologies while maintaining sparsity, these approaches suffer from issues such as greedy adjustments, unstable topologies, and communication inefficiency, resulting in less robust models and suboptimal performance under data heterogeneity and partial client availability. To address these challenges, we propose Federated Robust pruning via combinatorial Thompson Sampling (FedRTS), a novel framework designed to develop robust sparse models. FedRTS enhances robustness and performance through its Thompson Sampling-based Adjustment (TSAdj) mechanism, which uses probabilistic decisions informed by stable, farsighted information instead of deterministic decisions reliant on unstable and myopic information in previous methods. Extensive experiments demonstrate that FedRTS achieves state-of-the-art performance in computer vision and natural language processing tasks while reducing communication costs, particularly excelling in scenarios with heterogeneous data distributions and partial client participation. Our codes are available at: https://github.com/Little0o0/FedRTS




Abstract:The rapid development of large language models (LLMs) has transformed many industries, including healthcare. However, previous medical LLMs have largely focused on leveraging general medical knowledge to provide responses, without accounting for patient variability and lacking true personalization at the individual level. To address this, we propose a novel method called personalized medical language model (PMLM), which explores and optimizes personalized LLMs through recommendation systems and reinforcement learning (RL). Specifically, by utilizing self-informed and peer-informed personalization, PMLM captures changes in behaviors and preferences to design initial personalized prompts tailored to individual needs. We further refine these initial personalized prompts through RL, ultimately enhancing the precision of LLM guidance. Notably, the personalized prompt are hard prompt, which grants PMLM high adaptability and reusability, allowing it to directly leverage high-quality proprietary LLMs. We evaluate PMLM using real-world obstetrics and gynecology data, and the experimental results demonstrate that PMLM achieves personalized responses, and it provides more refined and individualized services, offering a potential way for personalized medical LLMs.