University of Maryland




Abstract:Multilingual large language models have been increasingly popular for their proficiency in comprehending and generating text across various languages. Previous research has shown that the presence of stereotypes and biases in monolingual large language models can be attributed to the nature of their training data, which is collected from humans and reflects societal biases. Multilingual language models undergo the same training procedure as monolingual ones, albeit with training data sourced from various languages. This raises the question: do stereotypes present in one social context leak across languages within the model? In our work, we first define the term ``stereotype leakage'' and propose a framework for its measurement. With this framework, we investigate how stereotypical associations leak across four languages: English, Russian, Chinese, and Hindi. To quantify the stereotype leakage, we employ an approach from social psychology, measuring stereotypes via group-trait associations. We evaluate human stereotypes and stereotypical associations manifested in multilingual large language models such as mBERT, mT5, and ChatGPT. Our findings show a noticeable leakage of positive, negative, and non-polar associations across all languages. Notably, Hindi within multilingual models appears to be the most susceptible to influence from other languages, while Chinese is the least. Additionally, ChatGPT exhibits a better alignment with human scores than other models.




Abstract:Mistakes in AI systems are inevitable, arising from both technical limitations and sociotechnical gaps. While black-boxing AI systems can make the user experience seamless, hiding the seams risks disempowering users to mitigate fallouts from AI mistakes. While Explainable AI (XAI) has predominantly tackled algorithmic opaqueness, we propose that seamful design can foster Humancentered XAI by strategically revealing sociotechnical and infrastructural mismatches. We introduce the notion of Seamful XAI by (1) conceptually transferring "seams" to the AI context and (2) developing a design process that helps stakeholders design with seams, thereby augmenting explainability and user agency. We explore this process with 43 AI practitioners and users, using a scenario-based co-design activity informed by real-world use cases. We share empirical insights, implications, and critical reflections on how this process can help practitioners anticipate and craft seams in AI, how seamfulness can improve explainability, empower end-users, and facilitate Responsible AI.




Abstract:We carry out experiments with deep learning models of summarization across the domains of news, personal stories, meetings, and medical articles in order to understand how content selection is performed. We find that many sophisticated features of state of the art extractive summarizers do not improve performance over simpler models. These results suggest that it is easier to create a summarizer for a new domain than previous work suggests and bring into question the benefit of deep learning models for summarization for those domains that do have massive datasets (i.e., news). At the same time, they suggest important questions for new research in summarization; namely, new forms of sentence representations or external knowledge sources are needed that are better suited to the summarization task.




Abstract:We design an active learning algorithm for cost-sensitive multiclass classification: problems where different errors have different costs. Our algorithm, COAL, makes predictions by regressing to each label's cost and predicting the smallest. On a new example, it uses a set of regressors that perform well on past data to estimate possible costs for each label. It queries only the labels that could be the best, ignoring the sure losers. We prove COAL can be efficiently implemented for any regression family that admits squared loss optimization; it also enjoys strong guarantees with respect to predictive performance and labeling effort. We empirically compare COAL to passive learning and several active learning baselines, showing significant improvements in labeling effort and test cost on real-world datasets.




Abstract:We create a new online reduction of multiclass classification to binary classification for which training and prediction time scale logarithmically with the number of classes. Compared to previous approaches, we obtain substantially better statistical performance for two reasons: First, we prove a tighter and more complete boosting theorem, and second we translate the results more directly into an algorithm. We show that several simple techniques give rise to an algorithm that can compete with one-against-all in both space and predictive power while offering exponential improvements in speed when the number of classes is large.




Abstract:The ability to comprehend wishes or desires and their fulfillment is important to Natural Language Understanding. This paper introduces the task of identifying if a desire expressed by a subject in a given short piece of text was fulfilled. We propose various unstructured and structured models that capture fulfillment cues such as the subject's emotional state and actions. Our experiments with two different datasets demonstrate the importance of understanding the narrative and discourse structure to address this task.



Abstract:Studying characters plays a vital role in computationally representing and interpreting narratives. Unlike previous work, which has focused on inferring character roles, we focus on the problem of modeling their relationships. Rather than assuming a fixed relationship for a character pair, we hypothesize that relationships are dynamic and temporally evolve with the progress of the narrative, and formulate the problem of relationship modeling as a structured prediction problem. We propose a semi-supervised framework to learn relationship sequences from fully as well as partially labeled data. We present a Markovian model capable of accumulating historical beliefs about the relationship and status changes. We use a set of rich linguistic and semantically motivated features that incorporate world knowledge to investigate the textual content of narrative. We empirically demonstrate that such a framework outperforms competitive baselines.




Abstract:We develop a novel technique to parse English sentences into Abstract Meaning Representation (AMR) using SEARN, a Learning to Search approach, by modeling the concept and the relation learning in a unified framework. We evaluate our parser on multiple datasets from varied domains and show an absolute improvement of 2% to 6% over the state-of-the-art. Additionally we show that using the most frequent concept gives us a baseline that is stronger than the state-of-the-art for concept prediction. We plan to release our parser for public use.




Abstract:We learn multiple hypotheses for related tasks under a latent hierarchical relationship between tasks. We exploit the intuition that for domain adaptation, we wish to share classifier structure, but for multitask learning, we wish to share covariance structure. Our hierarchical model is seen to subsume several previously proposed multitask learning models and performs well on three distinct real-world data sets.




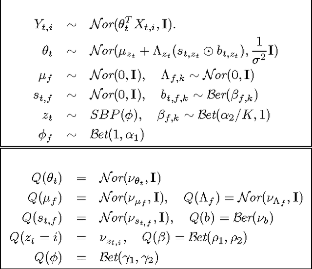
Abstract:Multitask learning algorithms are typically designed assuming some fixed, a priori known latent structure shared by all the tasks. However, it is usually unclear what type of latent task structure is the most appropriate for a given multitask learning problem. Ideally, the "right" latent task structure should be learned in a data-driven manner. We present a flexible, nonparametric Bayesian model that posits a mixture of factor analyzers structure on the tasks. The nonparametric aspect makes the model expressive enough to subsume many existing models of latent task structures (e.g, mean-regularized tasks, clustered tasks, low-rank or linear/non-linear subspace assumption on tasks, etc.). Moreover, it can also learn more general task structures, addressing the shortcomings of such models. We present a variational inference algorithm for our model. Experimental results on synthetic and real-world datasets, on both regression and classification problems, demonstrate the effectiveness of the proposed method.