Abstract:Retrieval-augmented generation (RAG) remains brittle on multi-step questions and heterogeneous evidence sources, trading accuracy against latency and token/tool budgets. This paper introducesHierarchical Sequence (HSEQ) Iteration for Heterogeneous Question Answering, a unified framework that (i) linearize documents, tables, and knowledge graphs into a reversible hierarchical sequence with lightweight structural tags, and (ii) perform structure-aware iteration to collect just-enough evidence before answer synthesis. A Head Agent provides guidance that leads retrieval, while an Iteration Agent selects and expands HSeq via structure-respecting actions (e.g., parent/child hops, table row/column neighbors, KG relations); Finally the head agent composes canonicalized evidence to genearte the final answer, with an optional refinement loop to resolve detected contradictions. Experiments on HotpotQA (text), HybridQA/TAT-QA (table+text), and MetaQA (KG) show consistent EM/F1 gains over strong single-pass, multi-hop, and agentic RAG baselines with high efficiency. Besides, HSEQ exhibits three key advantages: (1) a format-agnostic unification that enables a single policy to operate across text, tables, and KGs without per-dataset specialization; (2) guided, budget-aware iteration that reduces unnecessary hops, tool calls, and tokens while preserving accuracy; and (3) evidence canonicalization for reliable QA, improving answers consistency and auditability.
Abstract:Large language models (LLMs) have transformed NLP, yet their integration with audio remains underexplored -- despite audio's centrality to human communication. We introduce Falcon3-Audio, a family of Audio-Language Models (ALMs) built on instruction-tuned LLMs and Whisper encoders. Using a remarkably small amount of public audio data -- less than 30K hours (5K unique) -- Falcon3-Audio-7B matches the best reported performance among open-weight models on the MMAU benchmark, with a score of 64.14, matching R1-AQA, while distinguishing itself through superior data and parameter efficiency, single-stage training, and transparency. Notably, our smallest 1B model remains competitive with larger open models ranging from 2B to 13B parameters. Through extensive ablations, we find that common complexities -- such as curriculum learning, multiple audio encoders, and intricate cross-attention connectors -- are not required for strong performance, even compared to models trained on over 500K hours of data.
Abstract:In this report, we introduce Falcon-H1, a new series of large language models (LLMs) featuring hybrid architecture designs optimized for both high performance and efficiency across diverse use cases. Unlike earlier Falcon models built solely on Transformer or Mamba architectures, Falcon-H1 adopts a parallel hybrid approach that combines Transformer-based attention with State Space Models (SSMs), known for superior long-context memory and computational efficiency. We systematically revisited model design, data strategy, and training dynamics, challenging conventional practices in the field. Falcon-H1 is released in multiple configurations, including base and instruction-tuned variants at 0.5B, 1.5B, 1.5B-deep, 3B, 7B, and 34B parameters. Quantized instruction-tuned models are also available, totaling over 30 checkpoints on Hugging Face Hub. Falcon-H1 models demonstrate state-of-the-art performance and exceptional parameter and training efficiency. The flagship Falcon-H1-34B matches or outperforms models up to 70B scale, such as Qwen3-32B, Qwen2.5-72B, and Llama3.3-70B, while using fewer parameters and less data. Smaller models show similar trends: the Falcon-H1-1.5B-Deep rivals current leading 7B-10B models, and Falcon-H1-0.5B performs comparably to typical 7B models from 2024. These models excel across reasoning, mathematics, multilingual tasks, instruction following, and scientific knowledge. With support for up to 256K context tokens and 18 languages, Falcon-H1 is suitable for a wide range of applications. All models are released under a permissive open-source license, underscoring our commitment to accessible and impactful AI research.
Abstract:Graph federated recommendation systems offer a privacy-preserving alternative to traditional centralized recommendation architectures, which often raise concerns about data security. While federated learning enables personalized recommendations without exposing raw user data, existing aggregation methods overlook the unique properties of user embeddings in this setting. Indeed, traditional aggregation methods fail to account for their complexity and the critical role of user similarity in recommendation effectiveness. Moreover, evolving user interactions require adaptive aggregation while preserving the influence of high-relevance anchor users (the primary users before expansion in graph-based frameworks). To address these limitations, we introduce Dist-FedAvg, a novel distance-based aggregation method designed to enhance personalization and aggregation efficiency in graph federated learning. Our method assigns higher aggregation weights to users with similar embeddings, while ensuring that anchor users retain significant influence in local updates. Empirical evaluations on multiple datasets demonstrate that Dist-FedAvg consistently outperforms baseline aggregation techniques, improving recommendation accuracy while maintaining seamless integration into existing federated learning frameworks.
Abstract:Existing benchmarks have proven effective for assessing the performance of fully trained large language models. However, we find striking differences in the early training stages of small models, where benchmarks often fail to provide meaningful or discriminative signals. To explore how these differences arise, this competition tackles the challenge of designing scientific knowledge evaluation tasks specifically tailored for measuring early training progress of language models. Participants are invited to develop novel evaluation methodologies or adapt existing benchmarks to better capture performance differences among language models. To support this effort, we provide three pre-trained small models (0.5B, 1B, and 3B parameters), along with intermediate checkpoints sampled during training up to 200B tokens. All experiments and development work can be run on widely available free cloud-based GPU platforms, making participation accessible to researchers with limited computational resources. Submissions will be evaluated based on three criteria: the quality of the performance signal they produce, the consistency of model rankings at 1 trillion tokens of training, and their relevance to the scientific knowledge domain. By promoting the design of tailored evaluation strategies for early training, this competition aims to attract a broad range of participants from various disciplines, including those who may not be machine learning experts or have access to dedicated GPU resources. Ultimately, this initiative seeks to make foundational LLM research more systematic and benchmark-informed from the earliest phases of model development.
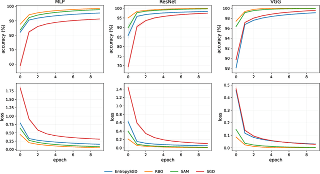
Abstract:Training large neural networks through gradient-based optimization requires navigating high-dimensional loss landscapes, which often exhibit pathological geometry, leading to undesirable training dynamics. In particular, poor generalization frequently results from convergence to sharp minima that are highly sensitive to input perturbations, causing the model to overfit the training data while failing to generalize to unseen examples. Furthermore, these optimization procedures typically display strong dependence on the fine structure of the loss landscape, leading to unstable training dynamics, due to the fractal-like nature of the loss surface. In this work, we propose an alternative optimizer that simultaneously reduces this dependence, and avoids sharp minima, thereby improving generalization. This is achieved by simulating the motion of the center of a ball rolling on the loss landscape. The degree to which our optimizer departs from the standard gradient descent is controlled by a hyperparameter, representing the radius of the ball. Changing this hyperparameter allows for probing the loss landscape at different scales, making it a valuable tool for understanding its geometry.




Abstract:Retrieval-Augmented Generation (RAG) systems empower large language models (LLMs) with external knowledge, yet struggle with efficiency-accuracy trade-offs when scaling to large knowledge graphs. Existing approaches often rely on monolithic graph retrieval, incurring unnecessary latency for simple queries and fragmented reasoning for complex multi-hop questions. To address these challenges, this paper propose SPLIT-RAG, a multi-agent RAG framework that addresses these limitations with question-driven semantic graph partitioning and collaborative subgraph retrieval. The innovative framework first create Semantic Partitioning of Linked Information, then use the Type-Specialized knowledge base to achieve Multi-Agent RAG. The attribute-aware graph segmentation manages to divide knowledge graphs into semantically coherent subgraphs, ensuring subgraphs align with different query types, while lightweight LLM agents are assigned to partitioned subgraphs, and only relevant partitions are activated during retrieval, thus reduce search space while enhancing efficiency. Finally, a hierarchical merging module resolves inconsistencies across subgraph-derived answers through logical verifications. Extensive experimental validation demonstrates considerable improvements compared to existing approaches.
Abstract:Achieving both accuracy and diverse reasoning remains challenging for Large Language Models (LLMs) in complex domains like mathematics. A key bottleneck is evaluating intermediate reasoning steps to guide generation without costly human annotations. To address this, we first introduce a novel Process Reward Model (PRM) trained automatically using Monte Carlo Tree Search coupled with a similarity-based data augmentation technique, effectively capturing step-level reasoning quality. Leveraging this PRM, we then adapt Generative Flow Networks (GFlowNets) to operate at the reasoning step level. Unlike traditional reinforcement learning focused on maximizing a single reward, GFlowNets naturally sample diverse, high-quality solutions proportional to their rewards, as measured by our PRM. Empirical evaluation shows strong improvements in both accuracy and solution diversity on challenging mathematical benchmarks (e.g., +2.59% absolute accuracy on MATH Level 5 for Llama3.2-3B), with effective generalization to unseen datasets (+9.4% absolute on SAT MATH). Our work demonstrates the potential of PRM-guided, step-level GFlowNets for developing more robust and versatile mathematical reasoning in LLMs.




Abstract:Graph Retrieval-Augmented Generation (GraphRAG) has proven highly effective in enhancing the performance of Large Language Models (LLMs) on tasks that require external knowledge. By leveraging Knowledge Graphs (KGs), GraphRAG improves information retrieval for complex reasoning tasks, providing more precise and comprehensive retrieval and generating more accurate responses to QAs. However, most RAG methods fall short in addressing multi-step reasoning, particularly when both information extraction and inference are necessary. To address this limitation, this paper presents Knowledge Graph-Based Iterative Retrieval-Augmented Generation (KG-IRAG), a novel framework that integrates KGs with iterative reasoning to improve LLMs' ability to handle queries involving temporal and logical dependencies. Through iterative retrieval steps, KG-IRAG incrementally gathers relevant data from external KGs, enabling step-by-step reasoning. The proposed approach is particularly suited for scenarios where reasoning is required alongside dynamic temporal data extraction, such as determining optimal travel times based on weather conditions or traffic patterns. Experimental results show that KG-IRAG improves accuracy in complex reasoning tasks by effectively integrating external knowledge with iterative, logic-based retrieval. Additionally, three new datasets: weatherQA-Irish, weatherQA-Sydney, and trafficQA-TFNSW, are formed to evaluate KG-IRAG's performance, demonstrating its potential beyond traditional RAG applications.
Abstract:Traditional Multi-level Hierarchical Classification (MLHC) classifiers often rely on backbone models with $n$ independent output layers. This structure tends to overlook the hierarchical relationships between classes, leading to inconsistent predictions that violate the underlying taxonomy. Additionally, once a backbone architecture for an MLHC classifier is selected, adapting the model to accommodate new tasks can be challenging. For example, incorporating fairness to protect sensitive attributes within a hierarchical classifier necessitates complex adjustments to maintain the class hierarchy while enforcing fairness constraints. In this paper, we extend this concept to hierarchical classification by introducing a fair, model-agnostic layer designed to enforce taxonomy and optimize specific objectives, including consistency, fairness, and exact match. Our evaluations demonstrate that the proposed layer not only improves the fairness of predictions but also enforces the taxonomy, resulting in consistent predictions and superior performance. Compared to Large Language Models (LLMs) employing in-processing de-biasing techniques and models without any bias correction, our approach achieves better outcomes in both fairness and accuracy, making it particularly valuable in sectors like e-commerce, healthcare, and education, where predictive reliability is crucial.