Abstract:Multimodal clinical reasoning in the field of gastrointestinal (GI) oncology necessitates the integrated interpretation of endoscopic imagery, radiological data, and biochemical markers. Despite the evident potential exhibited by Multimodal Large Language Models (MLLMs), they frequently encounter challenges such as context dilution and hallucination when confronted with intricate, heterogeneous medical histories. In order to address these limitations, a hierarchical Multi-Agent Framework is proposed, which emulates the collaborative workflow of a human Multidisciplinary Team (MDT). The system attained a composite expert evaluation score of 4.60/5.00, thereby demonstrating a substantial improvement over the monolithic baseline. It is noteworthy that the agent-based architecture yielded the most substantial enhancements in reasoning logic and medical accuracy. The findings indicate that mimetic, agent-based collaboration provides a scalable, interpretable, and clinically robust paradigm for automated decision support in oncology.




Abstract:Mixture-of-Experts (MoE) showcases tremendous potential to scale large language models (LLMs) with enhanced performance and reduced computational complexity. However, its sparsely activated architecture shifts feed-forward networks (FFNs) from being compute-intensive to memory-intensive during inference, leading to substantially lower GPU utilization and increased operational costs. We present MegaScale-Infer, an efficient and cost-effective system for serving large-scale MoE models. MegaScale-Infer disaggregates attention and FFN modules within each model layer, enabling independent scaling, tailored parallelism strategies, and heterogeneous deployment for both modules. To fully exploit disaggregation in the presence of MoE's sparsity, MegaScale-Infer introduces ping-pong pipeline parallelism, which partitions a request batch into micro-batches and shuttles them between attention and FFNs for inference. Combined with distinct model parallelism for each module, MegaScale-Infer effectively hides communication overhead and maximizes GPU utilization. To adapt to disaggregated attention and FFN modules and minimize data transmission overhead (e.g., token dispatch), MegaScale-Infer provides a high-performance M2N communication library that eliminates unnecessary GPU-to-CPU data copies, group initialization overhead, and GPU synchronization. Experimental results indicate that MegaScale-Infer achieves up to 1.90x higher per-GPU throughput than state-of-the-art solutions.



Abstract:Variational quantum algorithms (VQAs) combining the advantages of parameterized quantum circuits and classical optimizers, promise practical quantum applications in the Noisy Intermediate-Scale Quantum era. The performance of VQAs heavily depends on the optimization method. Compared with gradient-free and ordinary gradient descent methods, the quantum natural gradient (QNG), which mirrors the geometric structure of the parameter space, can achieve faster convergence and avoid local minima more easily, thereby reducing the cost of circuit executions. We utilized a fully programmable photonic chip to experimentally estimate the QNG in photonics for the first time. We obtained the dissociation curve of the He-H$^+$ cation and achieved chemical accuracy, verifying the outperformance of QNG optimization on a photonic device. Our work opens up a vista of utilizing QNG in photonics to implement practical near-term quantum applications.



Abstract:Quantum Generative Adversarial Networks (QGANs), an intersection of quantum computing and machine learning, have attracted widespread attention due to their potential advantages over classical analogs. However, in the current era of Noisy Intermediate-Scale Quantum (NISQ) computing, it is essential to investigate whether QGANs can perform learning tasks on near-term quantum devices usually affected by noise and even defects. In this Letter, using a programmable silicon quantum photonic chip, we experimentally demonstrate the QGAN model in photonics for the first time, and investigate the effects of noise and defects on its performance. Our results show that QGANs can generate high-quality quantum data with a fidelity higher than 90\%, even under conditions where up to half of the generator's phase shifters are damaged, or all of the generator and discriminator's phase shifters are subjected to phase noise up to 0.04$\pi$. Our work sheds light on the feasibility of implementing QGANs on NISQ-era quantum hardware.




Abstract:Current works in the generation of personalized dialogue primarily contribute to the agent avoiding contradictory persona and driving the response more informative. However, we found that the generated responses from these models are mostly self-centered with little care for the other party since they ignore the user's persona. Moreover, we consider high-quality transmission is essentially built based on apprehending the persona of the other party. Motivated by this, we propose a novel personalized dialogue generator by detecting implicit user persona. Because it's difficult to collect a large number of personas for each user, we attempt to model the user's potential persona and its representation from the dialogue absence of any external information. Perception variable and fader variable are conceived utilizing Conditional Variational Inference. The two latent variables simulate the process of people being aware of the other party's persona and producing the corresponding expression in conversation. Finally, Posterior-discriminated Regularization is presented to enhance the training procedure. Empirical studies demonstrate that compared with the state-of-the-art methods, ours is more concerned with the user's persona and outperforms in evaluations.



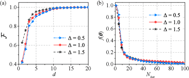
Abstract:We propose a hybrid quantum-classical algorithm for quantum state tomography. Given an unknown quantum state, a quantum machine learning algorithm is used to maximize the fidelity between the output of a variational quantum circuit and this state. The number of parameters of the variational quantum circuit grows linearly with the number of qubits and the circuit depth. After that, a subsequent classical algorithm is used to reconstruct the unknown quantum state. We demonstrate our method by performing numerical simulations to reconstruct the ground state of a one-dimensional quantum spin chain, using a variational quantum circuit simulator. Our method is suitable for near-term quantum computing platforms, and could be used for relatively large-scale quantum state tomography for experimentally relevant quantum states.