Abstract:Chain-of-thought (CoT) reasoning has emerged as a powerful tool for multimodal large language models on video understanding tasks. However, its necessity and advantages over direct answering remain underexplored. In this paper, we first demonstrate that for RL-trained video models, direct answering often matches or even surpasses CoT performance, despite CoT producing step-by-step analyses at a higher computational cost. Motivated by this, we propose VideoAuto-R1, a video understanding framework that adopts a reason-when-necessary strategy. During training, our approach follows a Thinking Once, Answering Twice paradigm: the model first generates an initial answer, then performs reasoning, and finally outputs a reviewed answer. Both answers are supervised via verifiable rewards. During inference, the model uses the confidence score of the initial answer to determine whether to proceed with reasoning. Across video QA and grounding benchmarks, VideoAuto-R1 achieves state-of-the-art accuracy with significantly improved efficiency, reducing the average response length by ~3.3x, e.g., from 149 to just 44 tokens. Moreover, we observe a low rate of thinking-mode activation on perception-oriented tasks, but a higher rate on reasoning-intensive tasks. This suggests that explicit language-based reasoning is generally beneficial but not always necessary.




Abstract:While image editing has advanced rapidly, video editing remains less explored, facing challenges in consistency, control, and generalization. We study the design space of data, architecture, and control, and introduce \emph{EasyV2V}, a simple and effective framework for instruction-based video editing. On the data side, we compose existing experts with fast inverses to build diverse video pairs, lift image edit pairs into videos via single-frame supervision and pseudo pairs with shared affine motion, mine dense-captioned clips for video pairs, and add transition supervision to teach how edits unfold. On the model side, we observe that pretrained text-to-video models possess editing capability, motivating a simplified design. Simple sequence concatenation for conditioning with light LoRA fine-tuning suffices to train a strong model. For control, we unify spatiotemporal control via a single mask mechanism and support optional reference images. Overall, EasyV2V works with flexible inputs, e.g., video+text, video+mask+text, video+mask+reference+text, and achieves state-of-the-art video editing results, surpassing concurrent and commercial systems. Project page: https://snap-research.github.io/easyv2v/
Abstract:CLIP achieves strong zero-shot image-text retrieval by aligning global vision and text representations, yet it falls behind on fine-grained tasks even when fine-tuned on long, detailed captions. In this work, we propose $β$-CLIP, a multi-granular text-conditioned contrastive learning framework designed to achieve hierarchical alignment between multiple textual granularities-from full captions to sentences and phrases-and their corresponding visual regions. For each level of granularity, $β$-CLIP utilizes cross-attention to dynamically pool image patches, producing contextualized visual embeddings. To address the semantic overlap inherent in this hierarchy, we introduce the $β$-Contextualized Contrastive Alignment Loss ($β$-CAL). This objective parameterizes the trade-off between strict query-specific matching and relaxed intra-image contextualization, supporting both soft Cross-Entropy and hard Binary Cross-Entropy formulations. Through extensive experiments, we demonstrate that $β$-CLIP significantly improves dense alignment: achieving 91.8% T2I 92.3% I2T at R@1 on Urban1K and 30.9% on FG-OVD (Hard), setting state-of-the-art among methods trained without hard negatives. $β$-CLIP establishes a robust, adaptive baseline for dense vision-language correspondence. The code and models are released at https://github.com/fzohra/B-CLIP.
Abstract:Diffusion models can unintentionally reproduce training examples, raising privacy and copyright concerns as these systems are increasingly deployed at scale. Existing inference-time mitigation methods typically manipulate classifier-free guidance (CFG) or perturb prompt embeddings; however, they often struggle to reduce memorization without compromising alignment with the conditioning prompt. We introduce CAPTAIN, a training-free framework that mitigates memorization by directly modifying latent features during denoising. CAPTAIN first applies frequency-based noise initialization to reduce the tendency to replicate memorized patterns early in the denoising process. It then identifies the optimal denoising timesteps for feature injection and localizes memorized regions. Finally, CAPTAIN injects semantically aligned features from non-memorized reference images into localized latent regions, suppressing memorization while preserving prompt fidelity and visual quality. Our experiments show that CAPTAIN achieves substantial reductions in memorization compared to CFG-based baselines while maintaining strong alignment with the intended prompt.
Abstract:The safety alignment of large language models (LLMs) is becoming increasingly important with their democratization. In this paper, we study the safety degradation that comes with adapting LLMs to new tasks. We attribute this safety compromise to catastrophic forgetting and frame the problem of preserving safety when fine-tuning as a continual learning (CL) problem. We consider the fine-tuning-as-a-service setup where the user uploads their data to a service provider to get a customized model that excels on the user's selected task. We adapt several CL approaches from the literature and systematically evaluate their ability to mitigate safety degradation. These include regularization-based, memory-based, and model merging approaches. We consider two scenarios, (1) benign user data and (2) poisoned user data. Our results demonstrate that CL approaches consistently achieve lower attack success rates than standard fine-tuning. Among these, DER outperforms both other CL methods and existing safety-preserving baselines while maintaining task utility. These findings generalize across three downstream tasks (GSM8K, SST2, Code) and three model families (LLaMA2-7B, Mistral-7B, Gemma-2B), establishing CL as a practical solution to preserve safety.




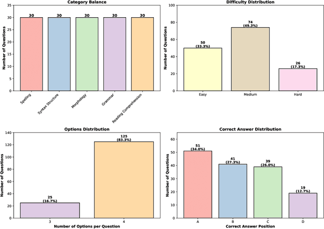
Abstract:We present AraLingBench: a fully human annotated benchmark for evaluating the Arabic linguistic competence of large language models (LLMs). The benchmark spans five core categories: grammar, morphology, spelling, reading comprehension, and syntax, through 150 expert-designed multiple choice questions that directly assess structural language understanding. Evaluating 35 Arabic and bilingual LLMs reveals that current models demonstrate strong surface level proficiency but struggle with deeper grammatical and syntactic reasoning. AraLingBench highlights a persistent gap between high scores on knowledge-based benchmarks and true linguistic mastery, showing that many models succeed through memorization or pattern recognition rather than authentic comprehension. By isolating and measuring fundamental linguistic skills, AraLingBench provides a diagnostic framework for developing Arabic LLMs. The full evaluation code is publicly available on GitHub.
Abstract:Group Activity Recognition (GAR) is well studied on the video modality for surveillance and indoor team sports (e.g., volleyball, basketball). Yet, other modalities such as agent positions and trajectories over time, i.e. tracking, remain comparatively under-explored despite being compact, agent-centric signals that explicitly encode spatial interactions. Understanding whether pixel (video) or position (tracking) modalities leads to better group activity recognition is therefore important to drive further research on the topic. However, no standardized benchmark currently exists that aligns broadcast video and tracking data for the same group activities, leading to a lack of apples-to-apples comparison between these modalities for GAR. In this work, we introduce SoccerNet-GAR, a multimodal dataset built from the $64$ matches of the football World Cup 2022. Specifically, the broadcast videos and player tracking modalities for $94{,}285$ group activities are synchronized and annotated with $10$ categories. Furthermore, we define a unified evaluation protocol to benchmark two strong unimodal approaches: (i) a competitive video-based classifiers and (ii) a tracking-based classifiers leveraging graph neural networks. In particular, our novel role-aware graph architecture for tracking-based GAR directly encodes tactical structure through positional edges and temporal attention. Our tracking model achieves $67.2\%$ balanced accuracy compared to $58.1\%$ for the best video baseline, while training $4.25 \times$ faster with $438 \times$ fewer parameters ($197K$ \vs $86.3M$). This study provides new insights into the relative strengths of pixels and positions for group activity recognition. Overall, it highlights the importance of modality choice and role-aware modeling for GAR.
Abstract:Large language models (LLMs) have achieved remarkable success in diverse tasks, yet their safety alignment remains fragile during adaptation. Even when fine-tuning on benign data or with low-rank adaptation, pre-trained safety behaviors are easily degraded, leading to harmful responses in the fine-tuned models. To address this challenge, we propose GuardSpace, a guardrail framework for preserving safety alignment throughout fine-tuning, composed of two key components: a safety-sensitive subspace and a harmful-resistant null space. First, we explicitly decompose pre-trained weights into safety-relevant and safety-irrelevant components using covariance-preconditioned singular value decomposition, and initialize low-rank adapters from the safety-irrelevant ones, while freezing safety-relevant components to preserve their associated safety mechanism. Second, we construct a null space projector that restricts adapter updates from altering safe outputs on harmful prompts, thereby maintaining the original refusal behavior. Experiments with various pre-trained models on multiple downstream tasks demonstrate that GuardSpace achieves superior performance over existing methods. Notably, for Llama-2-7B-Chat fine-tuned on GSM8K, GuardSpace outperforms the state-of-the-art method AsFT, reducing the average harmful score from 14.4% to 3.6%, while improving the accuracy from from 26.0% to 28.0%.




Abstract:Can generative agents be trusted in multimodal environments? Despite advances in large language and vision-language models that enable agents to act autonomously and pursue goals in rich settings, their ability to reason about safety, coherence, and trust across modalities remains limited. We introduce a reproducible simulation framework for evaluating agents along three dimensions: (1) safety improvement over time, including iterative plan revisions in text-visual scenarios; (2) detection of unsafe activities across multiple categories of social situations; and (3) social dynamics, measured as interaction counts and acceptance ratios of social exchanges. Agents are equipped with layered memory, dynamic planning, multimodal perception, and are instrumented with SocialMetrics, a suite of behavioral and structural metrics that quantifies plan revisions, unsafe-to-safe conversions, and information diffusion across networks. Experiments show that while agents can detect direct multimodal contradictions, they often fail to align local revisions with global safety, reaching only a 55 percent success rate in correcting unsafe plans. Across eight simulation runs with three models - Claude, GPT-4o mini, and Qwen-VL - five agents achieved average unsafe-to-safe conversion rates of 75, 55, and 58 percent, respectively. Overall performance ranged from 20 percent in multi-risk scenarios with GPT-4o mini to 98 percent in localized contexts such as fire/heat with Claude. Notably, 45 percent of unsafe actions were accepted when paired with misleading visuals, showing a strong tendency to overtrust images. These findings expose critical limitations in current architectures and provide a reproducible platform for studying multimodal safety, coherence, and social dynamics.
Abstract:Metadata plays a critical role in indexing, documenting, and analyzing scientific literature, yet extracting it accurately and efficiently remains a challenging task. Traditional approaches often rely on rule-based or task-specific models, which struggle to generalize across domains and schema variations. In this paper, we present MeXtract, a family of lightweight language models designed for metadata extraction from scientific papers. The models, ranging from 0.5B to 3B parameters, are built by fine-tuning Qwen 2.5 counterparts. In their size family, MeXtract achieves state-of-the-art performance on metadata extraction on the MOLE benchmark. To further support evaluation, we extend the MOLE benchmark to incorporate model-specific metadata, providing an out-of-domain challenging subset. Our experiments show that fine-tuning on a given schema not only yields high accuracy but also transfers effectively to unseen schemas, demonstrating the robustness and adaptability of our approach. We release all the code, datasets, and models openly for the research community.