Abstract:We present Voxtral Mini and Voxtral Small, two multimodal audio chat models. Voxtral is trained to comprehend both spoken audio and text documents, achieving state-of-the-art performance across a diverse range of audio benchmarks, while preserving strong text capabilities. Voxtral Small outperforms a number of closed-source models, while being small enough to run locally. A 32K context window enables the model to handle audio files up to 40 minutes in duration and long multi-turn conversations. We also contribute three benchmarks for evaluating speech understanding models on knowledge and trivia. Both Voxtral models are released under Apache 2.0 license.
Abstract:We introduce Magistral, Mistral's first reasoning model and our own scalable reinforcement learning (RL) pipeline. Instead of relying on existing implementations and RL traces distilled from prior models, we follow a ground up approach, relying solely on our own models and infrastructure. Notably, we demonstrate a stack that enabled us to explore the limits of pure RL training of LLMs, present a simple method to force the reasoning language of the model, and show that RL on text data alone maintains most of the initial checkpoint's capabilities. We find that RL on text maintains or improves multimodal understanding, instruction following and function calling. We present Magistral Medium, trained for reasoning on top of Mistral Medium 3 with RL alone, and we open-source Magistral Small (Apache 2.0) which further includes cold-start data from Magistral Medium.




Abstract:We introduce Pixtral-12B, a 12--billion-parameter multimodal language model. Pixtral-12B is trained to understand both natural images and documents, achieving leading performance on various multimodal benchmarks, surpassing a number of larger models. Unlike many open-source models, Pixtral is also a cutting-edge text model for its size, and does not compromise on natural language performance to excel in multimodal tasks. Pixtral uses a new vision encoder trained from scratch, which allows it to ingest images at their natural resolution and aspect ratio. This gives users flexibility on the number of tokens used to process an image. Pixtral is also able to process any number of images in its long context window of 128K tokens. Pixtral 12B substanially outperforms other open models of similar sizes (Llama-3.2 11B \& Qwen-2-VL 7B). It also outperforms much larger open models like Llama-3.2 90B while being 7x smaller. We further contribute an open-source benchmark, MM-MT-Bench, for evaluating vision-language models in practical scenarios, and provide detailed analysis and code for standardized evaluation protocols for multimodal LLMs. Pixtral-12B is released under Apache 2.0 license.




Abstract:Reinforcement learning from human feedback (RLHF) is a key driver of quality and safety in state-of-the-art large language models. Yet, a surprisingly simple and strong inference-time strategy is Best-of-N sampling that selects the best generation among N candidates. In this paper, we propose Best-of-N Distillation (BOND), a novel RLHF algorithm that seeks to emulate Best-of-N but without its significant computational overhead at inference time. Specifically, BOND is a distribution matching algorithm that forces the distribution of generations from the policy to get closer to the Best-of-N distribution. We use the Jeffreys divergence (a linear combination of forward and backward KL) to balance between mode-covering and mode-seeking behavior, and derive an iterative formulation that utilizes a moving anchor for efficiency. We demonstrate the effectiveness of our approach and several design choices through experiments on abstractive summarization and Gemma models. Aligning Gemma policies with BOND outperforms other RLHF algorithms by improving results on several benchmarks.




Abstract:This work introduces Gemma, a family of lightweight, state-of-the art open models built from the research and technology used to create Gemini models. Gemma models demonstrate strong performance across academic benchmarks for language understanding, reasoning, and safety. We release two sizes of models (2 billion and 7 billion parameters), and provide both pretrained and fine-tuned checkpoints. Gemma outperforms similarly sized open models on 11 out of 18 text-based tasks, and we present comprehensive evaluations of safety and responsibility aspects of the models, alongside a detailed description of model development. We believe the responsible release of LLMs is critical for improving the safety of frontier models, and for enabling the next wave of LLM innovations.
Abstract:This report introduces a new family of multimodal models, Gemini, that exhibit remarkable capabilities across image, audio, video, and text understanding. The Gemini family consists of Ultra, Pro, and Nano sizes, suitable for applications ranging from complex reasoning tasks to on-device memory-constrained use-cases. Evaluation on a broad range of benchmarks shows that our most-capable Gemini Ultra model advances the state of the art in 30 of 32 of these benchmarks - notably being the first model to achieve human-expert performance on the well-studied exam benchmark MMLU, and improving the state of the art in every one of the 20 multimodal benchmarks we examined. We believe that the new capabilities of Gemini models in cross-modal reasoning and language understanding will enable a wide variety of use cases and we discuss our approach toward deploying them responsibly to users.




Abstract:We propose a hierarchical version of dual averaging for zeroth-order online non-convex optimization - i.e., learning processes where, at each stage, the optimizer is facing an unknown non-convex loss function and only receives the incurred loss as feedback. The proposed class of policies relies on the construction of an online model that aggregates loss information as it arrives, and it consists of two principal components: (a) a regularizer adapted to the Fisher information metric (as opposed to the metric norm of the ambient space); and (b) a principled exploration of the problem's state space based on an adapted hierarchical schedule. This construction enables sharper control of the model's bias and variance, and allows us to derive tight bounds for both the learner's static and dynamic regret - i.e., the regret incurred against the best dynamic policy in hindsight over the horizon of play.



Abstract:We consider the problem of online learning with non-convex losses. In terms of feedback, we assume that the learner observes - or otherwise constructs - an inexact model for the loss function encountered at each stage, and we propose a mixed-strategy learning policy based on dual averaging. In this general context, we derive a series of tight regret minimization guarantees, both for the learner's static (external) regret, as well as the regret incurred against the best dynamic policy in hindsight. Subsequently, we apply this general template to the case where the learner only has access to the actual loss incurred at each stage of the process. This is achieved by means of a kernel-based estimator which generates an inexact model for each round's loss function using only the learner's realized losses as input.




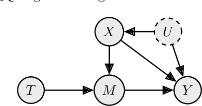
Abstract:Individual Treatment Effect (ITE) estimation is an extensively researched problem, with applications in various domains. We model the case where there is heterogeneous non-compliance to a randomly assigned treatment, a typical situation in health (because of non-compliance to prescription) or digital advertising (because of competition and ad blockers for instance). The lower the compliance, the more the effect of treatment prescription, or individual prescription effect (IPE), signal fades away and becomes hard to capture. We propose a new approach to estimate IPE that takes advantage of observed compliance information to prevent signal fading. Using the Structural Causal Model framework and do-calculus, we define a general mediated causal effect setting under which our proposed estimator soundly recovers the IPE, and study its asymptotic variance. Finally, we conduct extensive experiments on both synthetic and real-world datasets that highlight the benefit of the approach, which consistently improves state-of-the-art in low compliance settings.
Abstract:Motivated by applications to data networks where fast convergence is essential, we analyze the problem of learning in generic N-person games that admit a Nash equilibrium in pure strategies. Specifically, we consider a scenario where players interact repeatedly and try to learn from past experience by small adjustments based on local - and possibly imperfect - payoff information. For concreteness, we focus on the so-called "hedge" variant of the exponential weights algorithm where players select an action with probability proportional to the exponential of the action's cumulative payoff over time. When players have perfect information on their mixed payoffs, the algorithm converges locally to a strict equilibrium and the rate of convergence is exponentially fast - of the order of $\mathcal{O}(\exp(-a\sum_{j=1}^{t}\gamma_{j}))$ where $a>0$ is a constant and $\gamma_{j}$ is the algorithm's step-size. In the presence of uncertainty, convergence requires a more conservative step-size policy, but with high probability, the algorithm remains locally convergent and achieves an exponential convergence rate.