Abstract:We present a large-scale computational analysis of migration-related discourse in UK parliamentary debates spanning over 75 years and compare it with US congressional discourse. Using open-weight LLMs, we annotate each statement with high-level stances toward migrants and track the net tone toward migrants across time and political parties. For the UK, we extend this with a semi-automated framework for extracting fine-grained narrative frames to capture nuances of migration discourse. Our findings show that, while US discourse has grown increasingly polarised, UK parliamentary attitudes remain relatively aligned across parties, with a persistent ideological gap between Labour and the Conservatives, reaching its most negative level in 2025. The analysis of narrative frames in the UK parliamentary statements reveals a shift toward securitised narratives such as border control and illegal immigration, while longer-term integration-oriented frames such as social integration have declined. Moreover, discussions of national law about immigration have been replaced over time by international law and human rights, revealing nuances in discourse trends. Taken together broadly, our findings demonstrate how LLMs can support scalable, fine-grained discourse analysis in political and historical contexts.
Abstract:To collaborate effectively with humans, language models must be able to explain their decisions in natural language. We study a specific type of self-explanation: self-generated counterfactual explanations (SCEs), where a model explains its prediction by modifying the input such that it would have predicted a different outcome. We evaluate whether LLMs can produce SCEs that are valid, achieving the intended outcome, and minimal, modifying the input no more than necessary. When asked to generate counterfactuals, we find that LLMs typically produce SCEs that are valid, but far from minimal, offering little insight into their decision-making behaviour. Worryingly, when asked to generate minimal counterfactuals, LLMs typically make excessively small edits that fail to change predictions. The observed validity-minimality trade-off is consistent across several LLMs, datasets, and evaluation settings. Our findings suggest that SCEs are, at best, an ineffective explainability tool and, at worst, can provide misleading insights into model behaviour. Proposals to deploy LLMs in high-stakes settings must consider the impact of unreliable self-explanations on downstream decision-making. Our code is available at https://github.com/HarryMayne/SCEs.
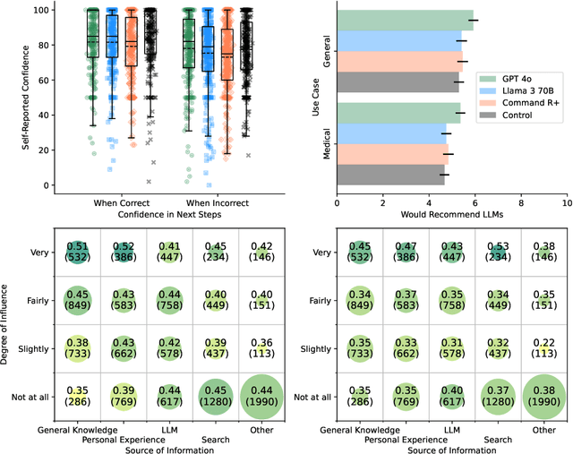
Abstract:Global healthcare providers are exploring use of large language models (LLMs) to provide medical advice to the public. LLMs now achieve nearly perfect scores on medical licensing exams, but this does not necessarily translate to accurate performance in real-world settings. We tested if LLMs can assist members of the public in identifying underlying conditions and choosing a course of action (disposition) in ten medical scenarios in a controlled study with 1,298 participants. Participants were randomly assigned to receive assistance from an LLM (GPT-4o, Llama 3, Command R+) or a source of their choice (control). Tested alone, LLMs complete the scenarios accurately, correctly identifying conditions in 94.9% of cases and disposition in 56.3% on average. However, participants using the same LLMs identified relevant conditions in less than 34.5% of cases and disposition in less than 44.2%, both no better than the control group. We identify user interactions as a challenge to the deployment of LLMs for medical advice. Standard benchmarks for medical knowledge and simulated patient interactions do not predict the failures we find with human participants. Moving forward, we recommend systematic human user testing to evaluate interactive capabilities prior to public deployments in healthcare.
Abstract:Effective evaluation of the reasoning capabilities of large language models (LLMs) are susceptible to overestimation due to data exposure of evaluation benchmarks. We introduce a framework for producing linguistic reasoning problems that reduces the effect of memorisation in model performance estimates and apply this framework to develop LINGOLY-TOO, a challenging evaluation benchmark for linguistic reasoning. By developing orthographic templates, we dynamically obfuscate the writing systems of real languages to generate numerous question variations. These variations preserve the reasoning steps required for each solution while reducing the likelihood of specific problem instances appearing in model training data. Our experiments demonstrate that frontier models, including OpenAI o1-preview and DeepSeem R1, struggle with advanced reasoning. Our analysis also shows that LLMs exhibit noticeable variance in accuracy across permutations of the same problem, and on average perform better on questions appearing in their original orthography. Our findings highlight the opaque nature of response generation in LLMs and provide evidence that prior data exposure contributes to overestimating the reasoning capabilities of frontier models.
Abstract:The growing capabilities of large language models (LLMs) have led to their use as substitutes for human feedback for training and assessing other LLMs. These methods often rely on `constitutions', written guidelines which a critic model uses to provide feedback and improve generations. We investigate how the choice of constitution affects feedback quality by using four different constitutions to improve patient-centered communication in medical interviews. In pairwise comparisons conducted by 215 human raters, we found that detailed constitutions led to better results regarding emotive qualities. However, none of the constitutions outperformed the baseline in learning more practically-oriented skills related to information gathering and provision. Our findings indicate that while detailed constitutions should be prioritised, there are possible limitations to the effectiveness of AI feedback as a reward signal in certain areas.
Abstract:Steering vectors are a promising approach to control the behaviour of large language models. However, their underlying mechanisms remain poorly understood. While sparse autoencoders (SAEs) may offer a potential method to interpret steering vectors, recent findings show that SAE-reconstructed vectors often lack the steering properties of the original vectors. This paper investigates why directly applying SAEs to steering vectors yields misleading decompositions, identifying two reasons: (1) steering vectors fall outside the input distribution for which SAEs are designed, and (2) steering vectors can have meaningful negative projections in feature directions, which SAEs are not designed to accommodate. These limitations hinder the direct use of SAEs for interpreting steering vectors.
Abstract:Safety fine-tuning algorithms are commonly used to fine-tune language models to reduce harmful outputs, but the exact internal mechanisms of how those models achieve this remain unclear. In studying direct preference optimisation (DPO) for toxicity reduction, current explanations claim that DPO works by dampening the most toxic MLP neurons to learn an offset to avert toxic regions in the residual stream. However, by ablating the most toxic neurons and applying activation patching, we find this explanation incomplete. By projecting neuron activation changes onto a toxicity probe, we find that only 31.8\% of toxicity reduction comes from dampened toxic neurons. Instead, DPO reduces toxicity by accumulating effects across multiple neuron groups, both reducing writing in the toxic direction and promoting anti-toxicity in the residual stream. Moreover, DPO gives noisy adjustments to neuron activations, with many neurons actually increasing toxicity. This indicates that DPO is a balancing process between opposing neuron effects to achieve toxicity reduction.
Abstract:Large language models (LLMs) have shown impressive capabilities across various tasks, but their performance on domain-specific tasks remains limited. While methods like retrieval augmented generation and fine-tuning can help to address this, they require significant resources. In-context learning (ICL) is a cheap and efficient alternative but cannot match the accuracies of advanced methods. We present Ensemble SuperICL, a novel approach that enhances ICL by leveraging the expertise of multiple fine-tuned small language models (SLMs). Ensemble SuperICL achieves state of the art (SoTA) results on several natural language understanding benchmarks. Additionally, we test it on a medical-domain labelling task and showcase its practicality by using off-the-shelf SLMs fine-tuned on a general language task, achieving superior accuracy in large-scale data labelling compared to all baselines. Finally, we conduct an ablation study and sensitivity analyses to elucidate the underlying mechanism of Ensemble SuperICL. Our research contributes to the growing demand for efficient domain specialisation methods in LLMs, offering a cheap and effective method for practitioners.
Abstract:This work presents our team's (SignalSavants) winning contribution to the 2024 George B. Moody PhysioNet Challenge. The Challenge had two goals: reconstruct ECG signals from printouts and classify them for cardiac diseases. Our focus was the first task. Despite many ECGs being digitally recorded today, paper ECGs remain common throughout the world. Digitising them could help build more diverse datasets and enable automated analyses. However, the presence of varying recording standards and poor image quality requires a data-centric approach for developing robust models that can generalise effectively. Our approach combines the creation of a diverse training set, Hough transform to rotate images, a U-Net based segmentation model to identify individual signals, and mask vectorisation to reconstruct the signals. We assessed the performance of our models using the 10-fold stratified cross-validation (CV) split of 21,799 recordings proposed by the PTB-XL dataset. On the digitisation task, our model achieved an average CV signal-to-noise ratio of 17.02 and an official Challenge score of 12.15 on the hidden set, securing first place in the competition. Our study shows the challenges of building robust, generalisable, digitisation approaches. Such models require large amounts of resources (data, time, and computational power) but have great potential in diversifying the data available.




Abstract:Training Large Language Models (LLMs) incurs substantial data-related costs, motivating the development of data-efficient training methods through optimised data ordering and selection. Human-inspired learning strategies, such as curriculum learning, offer possibilities for efficient training by organising data according to common human learning practices. Despite evidence that fine-tuning with curriculum learning improves the performance of LLMs for natural language understanding tasks, its effectiveness is typically assessed using a single model. In this work, we extend previous research by evaluating both curriculum-based and non-curriculum-based learning strategies across multiple LLMs, using human-defined and automated data labels for medical question answering. Our results indicate a moderate impact of using human-inspired learning strategies for fine-tuning LLMs, with maximum accuracy gains of 1.77% per model and 1.81% per dataset. Crucially, we demonstrate that the effectiveness of these strategies varies significantly across different model-dataset combinations, emphasising that the benefits of a specific human-inspired strategy for fine-tuning LLMs do not generalise. Additionally, we find evidence that curriculum learning using LLM-defined question difficulty outperforms human-defined difficulty, highlighting the potential of using model-generated measures for optimal curriculum design.