



Abstract:The deployment of Vision-Language Models (VLMs) in safety-critical domains like autonomous driving (AD) is critically hindered by reliability failures, most notably object hallucination. This failure stems from their reliance on ungrounded, text-based Chain-of-Thought (CoT) reasoning.While existing multi-modal CoT approaches attempt mitigation, they suffer from two fundamental flaws: (1) decoupled perception and reasoning stages that prevent end-to-end joint optimization, and (2) reliance on expensive, dense localization labels.Thus we introduce OmniDrive-R1, an end-to-end VLM framework designed for autonomous driving, which unifies perception and reasoning through an interleaved Multi-modal Chain-of-Thought (iMCoT) mechanism. Our core innovation is an Reinforcement-driven visual grounding capability, enabling the model to autonomously direct its attention and "zoom in" on critical regions for fine-grained analysis. This capability is enabled by our pure two-stage reinforcement learning training pipeline and Clip-GRPO algorithm. Crucially, Clip-GRPO introduces an annotation-free, process-based grounding reward. This reward not only eliminates the need for dense labels but also circumvents the instability of external tool calls by enforcing real-time cross-modal consistency between the visual focus and the textual reasoning. Extensive experiments on DriveLMM-o1 demonstrate our model's significant improvements. Compared to the baseline Qwen2.5VL-7B, OmniDrive-R1 improves the overall reasoning score from 51.77% to 80.35%, and the final answer accuracy from 37.81% to 73.62%.




Abstract:With the increasing complexity of modern power systems, conventional dynamic load modeling with ZIP and induction motors (ZIP + IM) is no longer adequate to address the current load characteristic transitions. In recent years, the WECC composite load model (WECC CLM) has shown to effectively capture the dynamic load responses over traditional load models in various stability studies and contingency analyses. However, a detailed WECC CLM model typically has a high degree of complexity, with over one hundred parameters, and no systematic approach to identifying and calibrating these parameters. Enabled by the wide deployment of PMUs and advanced deep learning algorithms, proposed here is a double deep Q-learning network (DDQN)-based, two-stage load modeling framework for the WECC CLM. This two-stage method decomposes the complicated WECC CLM for more efficient identification and does not require explicit model details. In the first stage, the DDQN agent determines an accurate load composition. In the second stage, the parameters of the WECC CLM are selected from a group of Monte-Carlo simulations. The set of selected load parameters is expected to best approximate the true transient responses. The proposed framework is verified using an IEEE 39-bus test system on commercial simulation platforms.




Abstract:Short-term load forecasting is a critical element of power systems energy management systems. In recent years, probabilistic load forecasting (PLF) has gained increased attention for its ability to provide uncertainty information that helps to improve the reliability and economics of system operation performances. This paper proposes a two-stage probabilistic load forecasting framework by integrating point forecast as a key probabilistic forecasting feature into PLF. In the first stage, all related features are utilized to train a point forecast model and also obtain the feature importance. In the second stage the forecasting model is trained, taking into consideration point forecast features, as well as selected feature subsets. During the testing period of the forecast model, the final probabilistic load forecast results are leveraged to obtain both point forecasting and probabilistic forecasting. Numerical results obtained from ISO New England demand data demonstrate the effectiveness of the proposed approach in the hour-ahead load forecasting, which uses the gradient boosting regression for the point forecasting and quantile regression neural networks for the probabilistic forecasting.




Abstract:Short-term load forecasting (STLF) is essential for the reliable and economic operation of power systems. Though many STLF methods were proposed over the past decades, most of them focused on loads at high aggregation levels only. Thus, low-aggregation load forecast still requires further research and development. Compared with the substation or city level loads, individual loads are typically more volatile and much more challenging to forecast. To further address this issue, this paper first discusses the characteristics of small-and-medium enterprise (SME) and residential loads at different aggregation levels and quantifies their predictability with approximate entropy. Various STLF techniques, from the conventional linear regression to state-of-the-art deep learning, are implemented for a detailed comparative analysis to verify the forecasting performances as well as the predictability using an Irish smart meter dataset. In addition, the paper also investigates how using data processing improves individual-level residential load forecasting with low predictability. Effectiveness of the discussed method is validated with numerical results.




Abstract:Traditional load analysis is facing challenges with the new electricity usage patterns due to demand response as well as increasing deployment of distributed generations, including photovoltaics (PV), electric vehicles (EV), and energy storage systems (ESS). At the transmission system, despite of irregular load behaviors at different areas, highly aggregated load shapes still share similar characteristics. Load clustering is to discover such intrinsic patterns and provide useful information to other load applications, such as load forecasting and load modeling. This paper proposes an efficient submodular load clustering method for transmission-level load areas. Robust principal component analysis (R-PCA) firstly decomposes the annual load profiles into low-rank components and sparse components to extract key features. A novel submodular cluster center selection technique is then applied to determine the optimal cluster centers through constructed similarity graph. Following the selection results, load areas are efficiently assigned to different clusters for further load analysis and applications. Numerical results obtained from PJM load demonstrate the effectiveness of the proposed approach.




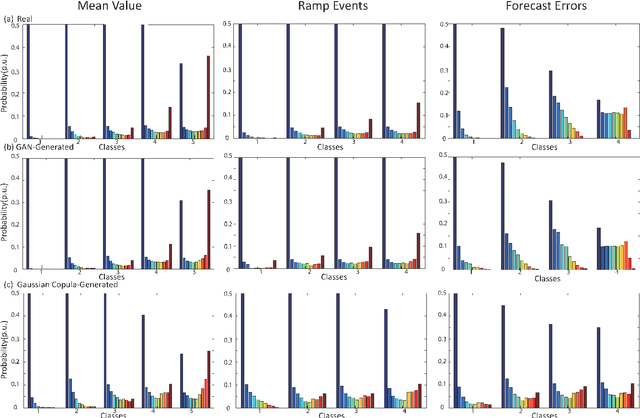
Abstract:Scenario generation is an important step in the operation and planning of power systems with high renewable penetrations. In this work, we proposed a data-driven approach for scenario generation using generative adversarial networks, which is based on two interconnected deep neural networks. Compared with existing methods based on probabilistic models that are often hard to scale or sample from, our method is data-driven, and captures renewable energy production patterns in both temporal and spatial dimensions for a large number of correlated resources. For validation, we use wind and solar times-series data from NREL integration data sets. We demonstrate that the proposed method is able to generate realistic wind and photovoltaic power profiles with full diversity of behaviors. We also illustrate how to generate scenarios based on different conditions of interest by using labeled data during training. For example, scenarios can be conditioned on weather events~(e.g. high wind day) or time of the year~(e,g. solar generation for a day in July). Because of the feedforward nature of the neural networks, scenarios can be generated extremely efficiently without sophisticated sampling techniques.