



Abstract:Traditional load analysis is facing challenges with the new electricity usage patterns due to demand response as well as increasing deployment of distributed generations, including photovoltaics (PV), electric vehicles (EV), and energy storage systems (ESS). At the transmission system, despite of irregular load behaviors at different areas, highly aggregated load shapes still share similar characteristics. Load clustering is to discover such intrinsic patterns and provide useful information to other load applications, such as load forecasting and load modeling. This paper proposes an efficient submodular load clustering method for transmission-level load areas. Robust principal component analysis (R-PCA) firstly decomposes the annual load profiles into low-rank components and sparse components to extract key features. A novel submodular cluster center selection technique is then applied to determine the optimal cluster centers through constructed similarity graph. Following the selection results, load areas are efficiently assigned to different clusters for further load analysis and applications. Numerical results obtained from PJM load demonstrate the effectiveness of the proposed approach.




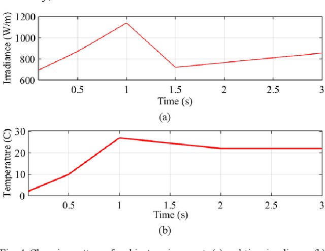
Abstract:This paper proposes a resilient-backpropagation-neural-network-(Rprop-NN) based algorithm for Photovoltaic (PV) maximum power point tracking (MPPT). A supervision mechanism is proposed to calibrate the Rprop-NN-MPPT reference and limit short-circuit current caused by incorrect prediction. Conventional MPPT algorithms (e.g., perturb and observe (P&O), hill climbing, and incremental conductance (Inc-Cond) etc.) are trial-and-error-based, which may result in steady-state oscillations and loss of tracking direction under fast-changing ambient environment. In addition, partial shading is also a challenge due to the difficulty of finding the global maximum power point on a multi-peak characteristic curve. As an attempt to address the aforementioned issues, a novel Rprop-NN MPPT algorithm is developed and elaborated in this work. Multiple case studies are carried out to verify the effectiveness of the proposed algorithm.




Abstract:In this paper, a neural-network (NN)-based online optimal control method (NN-OPT) is proposed for ultra-capacitors (UCs) energy storage system (ESS) in hybrid AC/DC microgrids involving multiple distributed generations (e.g., Photovoltaic (PV) system, battery storage, diesel generator). Conventional control strategies usually produce large disturbances to buses during charging and discharging (C&D) processes of UCs, which significantly degrades the power quality and system performance, especially under fast C&D modes. Therefore, the optimal control theory is adopted to optimize the C&D profile as well as to suppress the disturbances caused by UCs implementation. Specifically, an NN-based intelligent algorithm is developed to learn the optimal control policy for bidirectional-converter-interfaced UCs. The inaccuracies of system modeling are also considered in the control design. Since the designed NN-OPT method is decentralized that only requires the local measurements, plug & play of UCs can be easily realized with minimal communication efforts. In addition, the PV system is under the maximum power point tracking (MPPT) control to extract the maximum benefit. Both islanded and grid-tied modes are considered during the controller design. Extensive case studies have been conducted to evaluate the effectiveness of the proposed method.