Abstract:State-of-the-art model-based control designs have been shown to be successful in realizing dynamic locomotion behaviors for robotic systems. The precision of the realized behaviors in terms of locomotion performance via fly, hopping, or walking has not yet been well investigated, despite the fact that the difference between the robot model and physical hardware is doomed to produce inaccurate trajectory tracking. To address this inaccuracy, we propose a referencing-steering method to bridge the model-to-real gap by establishing a data-driven input-output (DD-IO) model on top of the existing model-based design. The DD-IO model takes the reference tracking trajectories as the input and the realized tracking trajectory as the output. By utilizing data-driven predictive control, we steer the reference input trajectories online so that the realized output ones match the actual desired ones. We demonstrate our method on the robot PogoX to realize hyper-accurate hopping and flying behaviors in both simulation and hardware. This data-driven reference-steering approach is straightforward to apply to general robotic systems for performance improvement via hyper-accurate trajectory tracking.
Abstract:Accurate ground reaction force (GRF) estimation can significantly improve the adaptability of legged robots in various real-world applications. For instance, with estimated GRF and contact kinematics, the locomotion control and planning assist the robot in overcoming uncertain terrains. The canonical momentum-based methods, formulated as nonlinear observers, do not fully address the noisy measurements and the dependence between floating base states and the generalized momentum dynamics. In this paper, we present a simultaneous ground reaction force and state estimation framework for legged robots, which systematically addresses the sensor noise and the coupling between states and dynamics. With the floating base orientation estimated separately, a decentralized Moving Horizon Estimation (MHE) method is implemented to fuse the robot dynamics, proprioceptive sensors, exteroceptive sensors, and deterministic contact complementarity constraints in a convex windowed optimization. The proposed method is shown to be capable of providing accurate GRF and state estimation on several legged robots, including the open-source educational planar bipedal robot STRIDE and quadrupedal robot Unitree Go1, with a frequency of 200Hz and a past time window of 0.04s.




Abstract:Humanoid robots, with the potential to perform a broad range of tasks in environments designed for humans, have been deemed crucial for the basis of general AI agents. When talking about planning and controlling, although traditional models and task-specific methods have been extensively studied over the past few decades, they are inadequate for achieving the flexibility and versatility needed for general autonomy. Learning approaches, especially reinforcement learning, are powerful and popular nowadays, but they are inherently "blind" during training, relying heavily on trials in simulation without proper guidance from physical principles or underlying dynamics. In response, we propose a novel end-to-end pipeline that seamlessly integrates perception, planning, and model-based control for humanoid robot walking. We refer to our method as iWalker, which is driven by imperative learning (IL), a self-supervising neuro-symbolic learning framework. This enables the robot to learn from arbitrary unlabeled data, significantly improving its adaptability and generalization capabilities. In experiments, iWalker demonstrates effectiveness in both simulated and real-world environments, representing a significant advancement toward versatile and autonomous humanoid robots.
Abstract:In this paper, we present STRIDE, a Simple, Terrestrial, Reconfigurable, Intelligent, Dynamic, and Educational bipedal platform. STRIDE aims to propel bipedal robotics research and education by providing a cost-effective implementation with step-by-step instructions for building a bipedal robotic platform while providing flexible customizations via a modular and durable design. Moreover, a versatile terrain setup and a quantitative disturbance injection system are augmented to the robot platform to replicate natural terrains and push forces that can be used to evaluate legged locomotion in practical and adversarial scenarios. We demonstrate the functionalities of this platform by realizing an adaptive step-to-step dynamics based walking controller to achieve dynamic walking. Our work with the open-soured implementation shows that STRIDE is a highly versatile and durable platform that can be used in research and education to evaluate locomotion algorithms, mechanical designs, and robust and adaptative controls.
Abstract:In this paper, we present a fast and decentralized state estimation framework for the control of legged locomotion. The nonlinear estimation of the floating base states is decentralized to an orientation estimation via Extended Kalman Filter (EKF) and a linear velocity estimation via Moving Horizon Estimation (MHE). The EKF fuses the inertia sensor with vision to estimate the floating base orientation. The MHE uses the estimated orientation with all the sensors within a time window in the past to estimate the linear velocities based on a time-varying linear dynamics formulation of the interested states with state constraints. More importantly, a marginalization method based on the optimization structure of the full information filter (FIF) is proposed to convert the equality-constrained FIF to an equivalent MHE. This decoupling of state estimation promotes the desired balance of computation efficiency, accuracy of estimation, and the inclusion of state constraints. The proposed method is shown to be capable of providing accurate state estimation to several legged robots, including the highly dynamic hopping robot PogoX, the bipedal robot Cassie, and the quadrupedal robot Unitree Go1, with a frequency at 200 Hz and a window interval of 0.1s.




Abstract:Exoskeleton locomotion must be robust while being adaptive to different users with and without payloads. To address these challenges, this work introduces a data-driven predictive control (DDPC) framework to synthesize walking gaits for lower-body exoskeletons, employing Hankel matrices and a state transition matrix for its data-driven model. The proposed approach leverages DDPC through a multi-layer architecture. At the top layer, DDPC serves as a planner employing Hankel matrices and a state transition matrix to generate a data-driven model that can learn and adapt to varying users and payloads. At the lower layer, our method incorporates inverse kinematics and passivity-based control to map the planned trajectory from DDPC into the full-order states of the lower-body exoskeleton. We validate the effectiveness of this approach through numerical simulations and hardware experiments conducted on the Atalante lower-body exoskeleton with different payloads. Moreover, we conducted a comparative analysis against the model predictive control (MPC) framework based on the reduced-order linear inverted pendulum (LIP) model. Through this comparison, the paper demonstrates that DDPC enables robust bipedal walking at various velocities while accounting for model uncertainties and unknown perturbations.
Abstract:We present a novel pneumatic augmentation to traditional electric motor-actuated legged robot to increase intermittent power density to perform infrequent explosive hopping behaviors. The pneumatic system is composed of a pneumatic pump, a tank, and a pneumatic actuator. The tank is charged up by the pump during regular hopping motion that is created by the electric motors. At any time after reaching a desired air pressure in the tank, a solenoid valve is utilized to rapidly release the air pressure to the pneumatic actuator (piston) which is used in conjunction with the electric motors to perform explosive hopping, increasing maximum hopping height for one or subsequent cycles. We show that, on a custom-designed one-legged hopping robot, without any additional power source and with this novel pneumatic augmentation system, their associated system identification and optimal control, the robot is able to realize highly explosive hopping with power amplification per cycle by a factor of approximately 5.4 times the power of electric motor actuation alone.




Abstract:We present a novel controller design on a robotic locomotor that combines an aerial vehicle with a spring-loaded leg. The main motivation is to enable the terrestrial locomotion capability on aerial vehicles so that they can carry heavy loads: heavy enough that flying is no longer possible, e.g., when the thrust-to-weight ratio (TWR) is small. The robot is designed with a pogo-stick leg and a quadrotor, and thus it is named as PogoX. We show that with a simple and lightweight spring-loaded leg, the robot is capable of hopping with TWR $<1$. The control of hopping is realized via two components: a vertical height control via control Lyapunov function-based energy shaping, and a step-to-step (S2S) dynamics based horizontal velocity control that is inspired by the hopping of the Spring-Loaded Inverted Pendulum (SLIP). The controller is successfully realized on the physical robot, showing dynamic terrestrial locomotion of PogoX which can hop at variable heights and different horizontal velocities with robustness to ground height variations and external pushes.




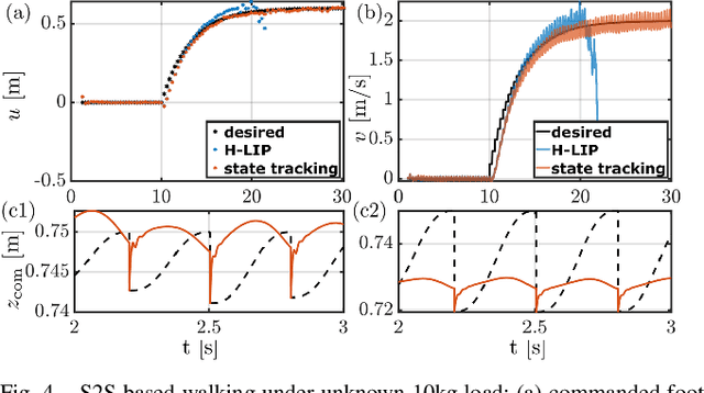
Abstract:This paper presents a framework for synthesizing bipedal robotic walking that adapts to unknown environment and dynamics error via a data-driven step-to-step (S2S) dynamics model. We begin by synthesizing an S2S controller that stabilizes the walking using foot placement through nominal S2S dynamics from the hybrid linear inverted pendulum (H-LIP) model. Next, a data-driven representation of the S2S dynamics of the robot is learned online via classical adaptive control methods. The desired discrete foot placement on the robot is thereby realized by proper continuous output synthesis capturing the data-driven S2S controller coupled with a low-level tracking controller. The proposed approach is implemented in simulation on an underactuated 3D bipedal robot, Cassie, and improved reference velocity tracking is demonstrated. The proposed approach is also able to realize walking behavior that is robustly adaptive to unknown loads, inaccurate robot models, external disturbance forces, biased velocity estimation, and unknown slopes.




Abstract:Humans are able to negotiate downstep behaviors -- both planned and unplanned -- with remarkable agility and ease. The goal of this paper is to systematically study the translation of this human behavior to bipedal walking robots, even if the morphology is inherently different. Concretely, we begin with human data wherein planned and unplanned downsteps are taken. We analyze this data from the perspective of reduced-order modeling of the human, encoding the center of mass (CoM) kinematics and contact forces, which allows for the translation of these behaviors into the corresponding reduced-order model of a bipedal robot. We embed the resulting behaviors into the full-order dynamics of a bipedal robot via nonlinear optimization-based controllers. The end result is the demonstration of planned and unplanned downsteps in simulation on an underactuated walking robot.