Abstract:This paper develops a practical framework for using observational data to audit the consumer surplus effects of AI-driven decisions, specifically in targeted pricing and algorithmic lending. Traditional approaches first estimate demand functions and then integrate to compute consumer surplus, but these methods can be challenging to implement in practice due to model misspecification in parametric demand forms and the large data requirements and slow convergence of flexible nonparametric or machine learning approaches. Instead, we exploit the randomness inherent in modern algorithmic pricing, arising from the need to balance exploration and exploitation, and introduce an estimator that avoids explicit estimation and numerical integration of the demand function. Each observed purchase outcome at a randomized price is an unbiased estimate of demand and by carefully reweighting purchase outcomes using novel cumulative propensity weights (CPW), we are able to reconstruct the integral. Building on this idea, we introduce a doubly robust variant named the augmented cumulative propensity weighting (ACPW) estimator that only requires one of either the demand model or the historical pricing policy distribution to be correctly specified. Furthermore, this approach facilitates the use of flexible machine learning methods for estimating consumer surplus, since it achieves fast convergence rates by incorporating an estimate of demand, even when the machine learning estimate has slower convergence rates. Neither of these estimators is a standard application of off-policy evaluation techniques as the target estimand, consumer surplus, is unobserved. To address fairness, we extend this framework to an inequality-aware surplus measure, allowing regulators and firms to quantify the profit-equity trade-off. Finally, we validate our methods through comprehensive numerical studies.




Abstract:Human doctors frequently recommend actionable recourses that allow patients to modify their conditions to access more effective treatments. Inspired by such healthcare scenarios, we propose the Recourse Linear UCB ($\textsf{RLinUCB}$) algorithm, which optimizes both action selection and feature modifications by balancing exploration and exploitation. We further extend this to the Human-AI Linear Recourse Bandit ($\textsf{HR-Bandit}$), which integrates human expertise to enhance performance. $\textsf{HR-Bandit}$ offers three key guarantees: (i) a warm-start guarantee for improved initial performance, (ii) a human-effort guarantee to minimize required human interactions, and (iii) a robustness guarantee that ensures sublinear regret even when human decisions are suboptimal. Empirical results, including a healthcare case study, validate its superior performance against existing benchmarks.
Abstract:Conformal Prediction methods have finite-sample distribution-free marginal coverage guarantees. However, they generally do not offer conditional coverage guarantees, which can be important for high-stakes decisions. In this paper, we propose a novel algorithm to train a regression function to improve the conditional coverage after applying the split conformal prediction procedure. We establish an upper bound for the miscoverage gap between the conditional coverage and the nominal coverage rate and propose an end-to-end algorithm to control this upper bound. We demonstrate the efficacy of our method empirically on synthetic and real-world datasets.
Abstract:Designing products to meet consumers' preferences is essential for a business's success. We propose the Gradient-based Survey (GBS), a discrete choice experiment for multiattribute product design. The experiment elicits consumer preferences through a sequence of paired comparisons for partial profiles. GBS adaptively constructs paired comparison questions based on the respondents' previous choices. Unlike the traditional random utility maximization paradigm, GBS is robust to model misspecification by not requiring a parametric utility model. Cross-pollinating the machine learning and experiment design, GBS is scalable to products with hundreds of attributes and can design personalized products for heterogeneous consumers. We demonstrate the advantage of GBS in accuracy and sample efficiency compared to the existing parametric and nonparametric methods in simulations.
Abstract:Human-AI collaboration has the potential to transform various domains by leveraging the complementary strengths of human experts and Artificial Intelligence (AI) systems. However, unobserved confounding can undermine the effectiveness of this collaboration, leading to biased and unreliable outcomes. In this paper, we propose a novel solution to address unobserved confounding in human-AI collaboration by employing the marginal sensitivity model (MSM). Our approach combines domain expertise with AI-driven statistical modeling to account for potential confounders that may otherwise remain hidden. We present a deferral collaboration framework for incorporating the MSM into policy learning from observational data, enabling the system to control for the influence of unobserved confounding factors. In addition, we propose a personalized deferral collaboration system to leverage the diverse expertise of different human decision-makers. By adjusting for potential biases, our proposed solution enhances the robustness and reliability of collaborative outcomes. The empirical and theoretical analyses demonstrate the efficacy of our approach in mitigating unobserved confounding and improving the overall performance of human-AI collaborations.




Abstract:DDIM inversion has revealed the remarkable potential of real image editing within diffusion-based methods. However, the accuracy of DDIM reconstruction degrades as larger classifier-free guidance (CFG) scales being used for enhanced editing. Null-text inversion (NTI) optimizes null embeddings to align the reconstruction and inversion trajectories with larger CFG scales, enabling real image editing with cross-attention control. Negative-prompt inversion (NPI) further offers a training-free closed-form solution of NTI. However, it may introduce artifacts and is still constrained by DDIM reconstruction quality. To overcome these limitations, we propose proximal guidance and incorporate it to NPI with cross-attention control. We enhance NPI with a regularization term and reconstruction guidance, which reduces artifacts while capitalizing on its training-free nature. Additionally, we extend the concepts to incorporate mutual self-attention control, enabling geometry and layout alterations in the editing process. Our method provides an efficient and straightforward approach, effectively addressing real image editing tasks with minimal computational overhead.




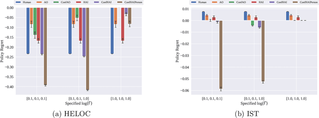
Abstract:Human-AI complementarity is important when neither the algorithm nor the human yields dominant performance across all instances in a given context. Recent work that explored human-AI collaboration has considered decisions that correspond to classification tasks. However, in many important contexts where humans can benefit from AI complementarity, humans undertake course of action. In this paper, we propose a framework for a novel human-AI collaboration for selecting advantageous course of action, which we refer to as Learning Complementary Policy for Human-AI teams (\textsc{lcp-hai}). Our solution aims to exploit the human-AI complementarity to maximize decision rewards by learning both an algorithmic policy that aims to complement humans by a routing model that defers decisions to either a human or the AI to leverage the resulting complementarity. We then extend our approach to leverage opportunities and mitigate risks that arise in important contexts in practice: 1) when a team is composed of multiple humans with differential and potentially complementary abilities, 2) when the observational data includes consistent deterministic actions, and 3) when the covariate distribution of future decisions differ from that in the historical data. We demonstrate the effectiveness of our proposed methods using data on real human responses and semi-synthetic, and find that our methods offer reliable and advantageous performance across setting, and that it is superior to when either the algorithm or the AI make decisions on their own. We also find that the extensions we propose effectively improve the robustness of the human-AI collaboration performance in the presence of different challenging settings.




Abstract:This paper proposes probabilistic conformal prediction (PCP), a predictive inference algorithm that estimates a target variable by a discontinuous predictive set. Given inputs, PCP construct the predictive set based on random samples from an estimated generative model. It is efficient and compatible with either explicit or implicit conditional generative models. Theoretically, we show that PCP guarantees correct marginal coverage with finite samples. Empirically, we study PCP on a variety of simulated and real datasets. Compared to existing methods for conformal inference, PCP provides sharper predictive sets.




Abstract:Unlike traditional supervised learning, in many settings only partial feedback is available. We may only observe outcomes for the chosen actions, but not the counterfactual outcomes associated with other alternatives. Such settings encompass a wide variety of applications including pricing, online marketing and precision medicine. A key challenge is that observational data are influenced by historical policies deployed in the system, yielding a biased data distribution. We approach this task as a domain adaptation problem and propose a self-training algorithm which imputes outcomes with categorical values for finite unseen actions in the observational data to simulate a randomized trial through pseudolabeling, which we refer to as Counterfactual Self-Training (CST). CST iteratively imputes pseudolabels and retrains the model. In addition, we show input consistency loss can further improve CST performance which is shown in recent theoretical analysis of pseudolabeling. We demonstrate the effectiveness of the proposed algorithms on both synthetic and real datasets.




Abstract:We study a pricing setting where each customer is offered a contextualized price based on customer and/or product features that are predictive of the customer's valuation for that product. Often only historical sales records are available, where we observe whether each customer purchased a product at the price prescribed rather than the customer's true valuation. As such, the data is influenced by the historical sales policy which introduces difficulties in a) estimating future loss/regret for pricing policies without the possibility of conducting real experiments and b) optimizing new policies for downstream tasks such as revenue management. We study how to formulate loss functions which can be used for optimizing pricing policies directly, rather than going through an intermediate demand estimation stage, which can be biased in practice due to model misspecification, regularization or poor calibration. While existing approaches have been proposed when valuation data is available, we propose loss functions for the observational data setting. To achieve this, we adapt ideas from machine learning with corrupted labels, where we can consider each observed customer's outcome (purchased or not for a prescribed price), as a (known) probabilistic transformation of the customer's valuation. From this transformation we derive a class of suitable unbiased loss functions. Within this class we identify minimum variance estimators, those which are robust to poor demand function estimation, and provide guidance on when the estimated demand function is useful. Furthermore, we also show that when applied to our contextual pricing setting, estimators popular in the off-policy evaluation literature fall within this class of loss functions, and also offer managerial insights on when each estimator is likely to perform well in practice.