Abstract:Reconfigurable antennas, including reconfigurable intelligent surface (RIS), movable antenna (MA), fluid antenna (FA), and other advanced antenna techniques, have been studied extensively in the context of reshaping wireless propagation environments for 6G and beyond wireless communications. Nevertheless, how to reconfigure/optimize the real-time controllable coefficients to achieve a favorable end-to-end wireless channel remains a substantial challenge, as it usually requires accurate modeling of the complex interaction between the reconfigurable devices and the electromagnetic waves, as well as knowledge of implicit channel propagation parameters. In this paper, we introduce a derivative-free optimization (a.k.a., zeroth-order (ZO) optimization) technique to directly optimize reconfigurable coefficients to shape the wireless end-to-end channel, without the need of channel modeling and estimation of the implicit environmental propagation parameters. We present the fundamental principles of ZO optimization and discuss its potential advantages in wireless channel reconfiguration. Two case studies for RIS and movable antenna-enabled single-input single-output (SISO) systems are provided to show the superiority of ZO-based methods as compared to state-of-the-art techniques. Finally, we outline promising future research directions and offer concluding insights on derivative-free optimization for reconfigurable antenna technologies.




Abstract:Movable antennas (MAs) have emerged as a disruptive technology in wireless communications for enhancing spatial degrees of freedom through continuous antenna repositioning within predefined regions, thereby creating favorable channel propagation conditions. In this paper, we study the problem of position optimization for MA-enabled multi-user MISO systems, where a base station (BS), equipped with multiple MAs, communicates with multiple users each equipped with a single fixed-position antenna (FPA). To circumvent the difficulty of acquiring the channel state information (CSI) from the transmitter to the receiver over the entire movable region, we propose a derivative-free approach for MA position optimization. The basic idea is to treat position optimization as a closed-box optimization problem and calculate the gradient of the unknown objective function using zeroth-order (ZO) gradient approximation techniques. Specifically, the proposed method does not need to explicitly estimate the global CSI. Instead, it adaptively refines its next movement based on previous measurements such that it eventually converges to an optimum or stationary solution. Simulation results show that the proposed derivative-free approach is able to achieve higher sample and computational efficiencies than the CSI estimation-based position optimization approach, particularly for challenging scenarios where the number of multi-path components (MPCs) is large or the number of pilot signals is limited.


Abstract:Improving the fundamental performance trade-off in integrated sensing and communication (ISAC) systems has been deemed as one of the most significant challenges. To address it, we propose in this letter a novel ISAC system that leverages an unmanned aerial vehicle (UAV)-mounted intelligent reflecting surface (IRS) and the UAV's maneuverability in six-dimensional (6D) space, i.e., three-dimensional (3D) location and 3D rotation, thus referred to as passive 6D movable antenna (6DMA). We aim to maximize the signal-to-noise ratio (SNR) for sensing a single target while ensuring a minimum SNR at a communication user equipment (UE), by jointly optimizing the transmit beamforming at the ISAC base station (BS), the 3D location and orientation as well as the reflection coefficients of the IRS. To solve this challenging non-convex optimization problem, we propose a two-stage approach. In the first stage, we aim to optimize the IRS's 3D location, 3D orientation, and reflection coefficients to enhance both the channel correlations and power gains for sensing and communication. Given their optimized parameters, the optimal transmit beamforming at the ISAC BS is derived in closed form. Simulation results demonstrate that the proposed passive 6DMA-enabled ISAC system significantly improves the sensing and communication trade-off by simultaneously enhancing channel correlations and power gains, and outperforms other baseline schemes.




Abstract:Terahertz (THz) communication systems suffer severe blockage issues, which may significantly degrade the communica tion coverage and quality. Bending beams, capable of adjusting their propagation direction to bypass obstacles, have recently emerged as a promising solution to resolve this issue by engineer ing the propagation trajectory of the beam. However, traditional bending beam generation methods rely heavily on the specific geometric properties of the propagation trajectory and can only achieve sub-optimal performance. In this paper, we propose a new and general bending beamforming method by adopting the convex optimization techniques. In particular, we formulate the bending beamforming design as a max-min optimization problem, aiming to optimize the analog or digital transmit beamforming vector to maximize the minimum received signal power among all positions along the bending beam trajectory. However, the resulting problem is non-convex and difficult to be solved optimally. To tackle this difficulty, we apply the successive convex approximation (SCA) technique to obtain a high-quality suboptimal solution. Numerical results show that our proposed bending beamforming method outperforms the traditional method and shows robustness to the obstacle in the environment.
Abstract:Intelligent reflecting surface (IRS) is composed of numerous passive reflecting elements and can be mounted on unmanned aerial vehicles (UAVs) to achieve six-dimensional (6D) movement by adjusting the UAV's three-dimensional (3D) location and 3D orientation simultaneously. Hence, in this paper, we investigate a new UAV-enabled passive 6D movable antenna (6DMA) architecture by mounting an IRS on a UAV and address the associated joint deployment and beamforming optimization problem. In particular, we consider a passive 6DMA-aided multicast system with a multi-antenna base station (BS) and multiple remote users, aiming to jointly optimize the IRS's location and 3D orientation, as well as its passive beamforming to maximize the minimum received signal-to-noise ratio (SNR) among all users under the practical angle-dependent signal reflection model. However, this optimization problem is challenging to be optimally solved due to the intricate relationship between the users' SNRs and the IRS's location and orientation. To tackle this challenge, we first focus on a simplified case with a single user, showing that one-dimensional (1D) orientation suffices to achieve the optimal performance. Next, we show that for any given IRS's location, the optimal 1D orientation can be derived in closed form, based on which several useful insights are drawn. To solve the max-min SNR problem in the general multi-user case, we propose an alternating optimization (AO) algorithm by alternately optimizing the IRS's beamforming and location/orientation via successive convex approximation (SCA) and hybrid coarse- and fine-grained search, respectively. To avoid undesirable local sub-optimal solutions, a Gibbs sampling (GS) method is proposed to generate new IRS locations and orientations for exploration in each AO iteration. Numerical results validate our theoretical analyses.




Abstract:Movable antennas (MAs), traditionally explored in antenna design, have recently garnered significant attention in wireless communications due to their ability to dynamically adjust the antenna positions to changes in the propagation environment. However, previous research has primarily focused on characterizing the performance limits of various MA-assisted wireless communication systems, with less emphasis on their practical implementation. To address this gap, in this article, we propose several general MA architectures that extend existing designs by varying several key aspects to cater to different application scenarios and tradeoffs between cost and performance. Additionally, we draw from fields such as antenna design and mechanical control to provide an overview of candidate implementation methods for the proposed MA architectures, utilizing either direct mechanical or equivalent electronic control. Simulation results are finally presented to support our discussion.
Abstract:In this paper, we consider the problem of joint transceiver design for millimeter wave (mmWave)/Terahertz (THz) multi-user MIMO integrated sensing and communication (ISAC) systems. Such a problem is formulated into a nonconvex optimization problem, with the objective of maximizing a weighted sum of communication users' rates and the passive radar's signal-to-clutter-and-noise-ratio (SCNR). By exploring a low-dimensional subspace property of the optimal precoder, a low-complexity block-coordinate-descent (BCD)-based algorithm is proposed. Our analysis reveals that the hybrid analog/digital beamforming structure can attain the same performance as that of a fully digital precoder, provided that the number of radio frequency (RF) chains is no less than the number of resolvable signal paths. Also, through expressing the precoder as a sum of a communication-precoder and a sensing-precoder, we develop an analytical solution to the joint transceiver design problem by generalizing the idea of block-diagonalization (BD) to the ISAC system. Simulation results show that with a proper tradeoff parameter, the proposed methods can achieve a decent compromise between communication and sensing, where the performance of each communication/sensing task experiences only a mild performance loss as compared with the performance attained by optimizing exclusively for a single task.
Abstract:Intelligent reflecting surface (IRS) has been widely recognized as an efficient technique to reconfigure the electromagnetic environment in favor of wireless communication performance. In this paper, we propose a new application of IRS for device-free target sensing via joint location and orientation estimation. In particular, different from the existing works that use IRS as an additional anchor node for localization/sensing, we consider mounting IRS on the sensing target, whereby estimating the IRS's location and orientation as that of the target by leveraging IRS's controllable signal reflection. To this end, we first propose a tensor-based method to acquire essential angle information between the IRS and the sensing transmitter as well as a set of distributed sensing receivers. Next, based on the estimated angle information, we formulate two optimization problems to estimate the location and orientation of the IRS/target, respectively, and obtain the locally optimal solutions to them by invoking two iterative algorithms, namely, gradient descent method and manifold optimization. In particular, we show that the orientation estimation problem admits a closed-form solution in a special case that usually holds in practice. Furthermore, theoretical analysis is conducted to draw essential insights into the proposed sensing system design and performance. Simulation results verify our theoretical analysis and demonstrate that the proposed methods can achieve high estimation accuracy which is close to the theoretical bound.




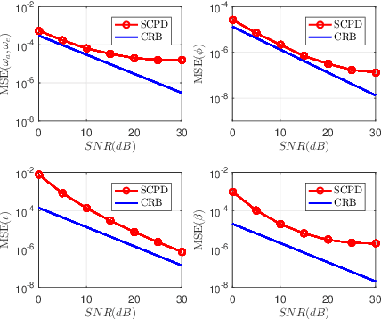
Abstract:We consider the problem of channel estimation and joint active and passive beamforming for reconfigurable intelligent surface (RIS) assisted millimeter wave (mmWave) multiple-input multiple-output (MIMO) orthogonal frequency division multiplexing (OFDM) systems. We show that, with a well-designed frame-based training protocol, the received pilot signal can be organized into a low-rank third-order tensor that admits a canonical polyadic decomposition (CPD). Based on this observation, we propose two CPD-based methods for estimating the cascade channels associated with different subcarriers. The proposed methods exploit the intrinsic low-rankness of the CPD formulation, which is a result of the sparse scattering characteristics of mmWave channels, and thus have the potential to achieve a significant training overhead reduction. Specifically, our analysis shows that the proposed methods have a sample complexity that scales quadratically with the sparsity of the cascade channel. Also, by utilizing the singular value decomposition-like structure of the effective channel, this paper develops a joint active and passive beamforming method based on the estimated cascade channels. Simulation results show that the proposed CPD-based channel estimation methods attain mean square errors that are close to the Cramer-Rao bound (CRB) and present a clear advantage over the compressed sensing-based method. In addition, the proposed joint beamforming method can effectively utilize the estimated channel parameters to achieve superior beamforming performance.



Abstract:We consider the problem of downlink channel estimation for intelligent reflecting surface (IRS)-assisted millimeter Wave (mmWave) orthogonal frequency division multiplexing (OFDM) systems. By exploring the inherent sparse scattering characteristics of mmWave channels, we show that the received signals can be expressed as a low-rank third-order tensor that admits a tensor rank decomposition, also known as canonical polyadic decomposition (CPD). A structured CPD-based method is then developed to estimate the channel parameters. Our analysis reveals that the training overhead required by our proposed method is as low as O(U^2), where U denotes the sparsity of the cascade channel. Simulation results are provided to illustrate the efficiency of the proposed method.