



Abstract:Real-time, high-precision localization in large-scale wireless networks faces two primary challenges: clock offsets caused by network asynchrony and non-line-of-sight (NLoS) conditions. To tackle these challenges, we propose a low-complexity real-time algorithm for joint synchronization and NLoS identification-based localization. For precise synchronization, we resolve clock offsets based on accumulated time-of-arrival measurements from all the past time instances, modeling it as a large-scale linear least squares (LLS) problem. To alleviate the high computational burden of solving this LLS, we introduce the blockwise recursive Moore-Penrose inverse (BRMP) technique, a generalized recursive least squares approach, and derive a simplified formulation of BRMP tailored specifically for the real-time synchronization problem. Furthermore, we formulate joint NLoS identification and localization as a robust least squares regression (RLSR) problem and address it by using an efficient iterative approach. Simulations show that the proposed algorithm achieves sub-nanosecond synchronization accuracy and centimeter-level localization precision, while maintaining low computational overhead.




Abstract:Utilizing unmanned aerial vehicles (UAVs) with edge server to assist terrestrial mobile edge computing (MEC) has attracted tremendous attention. Nevertheless, state-of-the-art schemes based on deterministic optimizations or single-objective reinforcement learning (RL) cannot reduce the backlog of task bits and simultaneously improve energy efficiency in highly dynamic network environments, where the design problem amounts to a sequential decision-making problem. In order to address the aforementioned problems, as well as the curses of dimensionality introduced by the growing number of terrestrial terrestrial users, this paper proposes a distributed multi-objective (MO) dynamic trajectory planning and offloading scheduling scheme, integrated with MORL and the kernel method. The design of n-step return is also applied to average fluctuations in the backlog. Numerical results reveal that the n-step return can benefit the proposed kernel-based approach, achieving significant improvement in the long-term average backlog performance, compared to the conventional 1-step return design. Due to such design and the kernel-based neural network, to which decision-making features can be continuously added, the kernel-based approach can outperform the approach based on fully-connected deep neural network, yielding improvement in energy consumption and the backlog performance, as well as a significant reduction in decision-making and online learning time.




Abstract:In millimeter-wave (mmWave) cellular systems, reconfigurable intelligent surfaces (RISs) are foreseeably deployed with a large number of reflecting elements to achieve high beamforming gains. The large-sized RIS will make radio links fall in the near-field localization regime with spatial non-stationarity issues. Moreover, the discrete phase restriction on the RIS reflection coefficient incurs exponential complexity for discrete beamforming. It remains an open problem to find the optimal RIS reflection coefficient design in polynomial time. To address these issues, we propose a scalable partitioned-far-field protocol that considers both the near-filed non-stationarity and discrete beamforming. The protocol approximates near-field signal propagation using a partitioned-far-field representation to inherit the sparsity from the sophisticated far-field and facilitate the near-field localization scheme. To improve the theoretical localization performance, we propose a fast passive beamforming (FPB) algorithm that optimally solves the discrete RIS beamforming problem, reducing the search complexity from exponential order to linear order. Furthermore, by exploiting the partitioned structure of RIS, we introduce a two-stage coarse-to-fine localization algorithm that leverages both the time delay and angle information. Numerical results demonstrate that centimeter-level localization precision is achieved under medium and high signal-to-noise ratios (SNR), revealing that RISs can provide support for low-cost and high-precision localization in future cellular systems.




Abstract:A key factor to optimal acceptance and comfort of automated vehicle features is the driving style. Mismatches between the automated and the driver preferred driving styles can make users take over more frequently or even disable the automation features. This work proposes identification of user driving style preference with multimodal signals, so the vehicle could match user preference in a continuous and automatic way. We conducted a driving simulator study with 36 participants and collected extensive multimodal data including behavioral, physiological, and situational data. This includes eye gaze, steering grip force, driving maneuvers, brake and throttle pedal inputs as well as foot distance from pedals, pupil diameter, galvanic skin response, heart rate, and situational drive context. Then, we built machine learning models to identify preferred driving styles, and confirmed that all modalities are important for the identification of user preference. This work paves the road for implicit adaptive driving styles on automated vehicles.




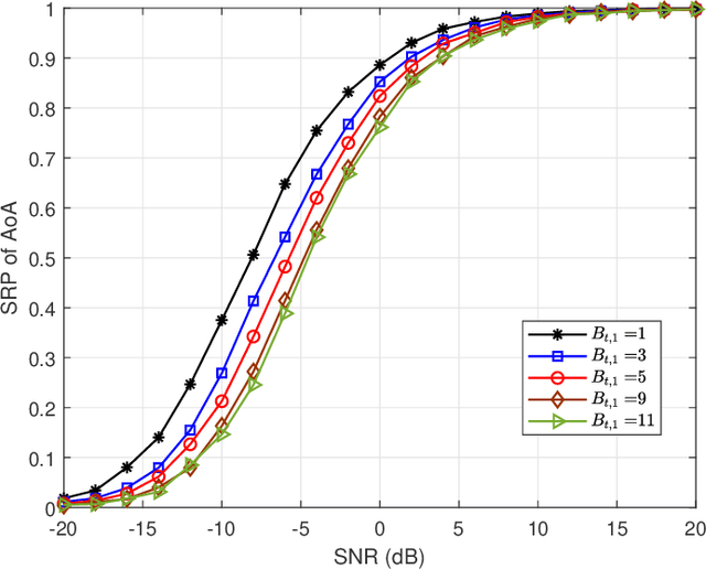
Abstract:The fact that the millimeter-wave (mmWave) multiple-input multiple-output (MIMO) channel has sparse support in the spatial domain has motivated recent compressed sensing (CS)-based mmWave channel estimation methods, where the angles of arrivals (AoAs) and angles of departures (AoDs) are quantized using angle dictionary matrices. However, the existing CS-based methods usually obtain the estimation result through one-stage channel sounding that have two limitations: (i) the requirement of large-dimensional dictionary and (ii) unresolvable quantization error. These two drawbacks are irreconcilable; improvement of the one implies deterioration of the other. To address these challenges, we propose, in this paper, a two-stage method to estimate the AoAs and AoDs of mmWave channels. In the proposed method, the channel estimation task is divided into two stages, Stage I and Stage II. Specifically, in Stage I, the AoAs are estimated by solving a multiple measurement vectors (MMV) problem. In Stage II, based on the estimated AoAs, the receive sounders are designed to estimate AoDs. The dimension of the angle dictionary in each stage can be reduced, which in turn reduces the computational complexity substantially. We then analyze the successful recovery probability (SRP) of the proposed method, revealing the superiority of the proposed framework over the existing one-stage CS-based methods. We further enhance the reconstruction performance by performing resource allocation between the two stages. We also overcome the unresolvable quantization error issue present in the prior techniques by applying the atomic norm minimization method to each stage of the proposed two-stage approach. The simulation results illustrate the substantially improved performance with low complexity of the proposed two-stage method.




Abstract:Today's growth in the volume of wireless devices coupled with the promise of supporting data-intensive 5G-&-beyond use cases is driving the industry to deploy more millimeter-wave (mmWave) base stations (BSs). Although mmWave cellular systems can carry a larger volume of traffic, dense deployment, in turn, increases the BS installation and maintenance cost, which has been largely ignored in their utilization. In this paper, we present an approach to the problem of mmWave BS deployment in urban environments by minimizing BS deployment cost subject to BS association and user equipment (UE) outage constraints. By exploiting the macro diversity, which enables each UE to be associated with multiple BSs, we derive an expression for UE outage that integrates physical blockage, UE access-limited blockage, and signal-to-interference-plus-noise-ratio (SINR) outage into its expression. The minimum-cost BS deployment problem is then formulated as integer non-linear programming (INP). The combinatorial nature of the problem motivates the pursuit of the optimal solution by decomposing the original problem into the two separable subproblems, i.e., cell coverage optimization and minimum subset selection subproblems. We provide the optimal solution and theoretical justifications for each subproblem. The simulation results demonstrating UE outage guarantees of the proposed method are presented. Interestingly, the proposed method produces a unique distribution of the macro-diversity orders over the network that is distinct from other benchmarks.