MBZUAI, Tohoku University, RIKEN
Abstract:We find that correct-to-incorrect sycophancy signals are most linearly separable within multi-head attention activations. Motivated by the linear representation hypothesis, we train linear probes across the residual stream, multilayer perceptron (MLP), and attention layers to analyze where these signals emerge. Although separability appears in the residual stream and MLPs, steering using these probes is most effective in a sparse subset of middle-layer attention heads. Using TruthfulQA as the base dataset, we find that probes trained on it transfer effectively to other factual QA benchmarks. Furthermore, comparing our discovered direction to previously identified "truthful" directions reveals limited overlap, suggesting that factual accuracy, and deference resistance, arise from related but distinct mechanisms. Attention-pattern analysis further indicates that the influential heads attend disproportionately to expressions of user doubt, contributing to sycophantic shifts. Overall, these findings suggest that sycophancy can be mitigated through simple, targeted linear interventions that exploit the internal geometry of attention activations.
Abstract:Temporal reasoning and knowledge are essential capabilities for language models (LMs). While much prior work has analyzed and improved temporal reasoning in LMs, most studies have focused solely on the Gregorian calendar. However, many non-Gregorian systems, such as the Japanese, Hijri, and Hebrew calendars, are in active use and reflect culturally grounded conceptions of time. If and how well current LMs can accurately handle such non-Gregorian calendars has not been evaluated so far. Here, we present a systematic evaluation of how well open-source LMs handle one such non-Gregorian system: the Japanese calendar. For our evaluation, we create datasets for four tasks that require both temporal knowledge and temporal reasoning. Evaluating a range of English-centric and Japanese-centric LMs, we find that some models can perform calendar conversions, but even Japanese-centric models struggle with Japanese-calendar arithmetic and with maintaining consistency across calendars. Our results highlight the importance of developing LMs that are better equipped for culture-specific calendar understanding.
Abstract:This paper investigates the relationship between large language models' (LLMs) ability to recognize repetitive input patterns and their performance on in-context learning (ICL). In contrast to prior work that has primarily focused on attention heads, we examine this relationship from the perspective of skill neurons, specifically repetition neurons. Our experiments reveal that the impact of these neurons on ICL performance varies depending on the depth of the layer in which they reside. By comparing the effects of repetition neurons and induction heads, we further identify strategies for reducing repetitive outputs while maintaining strong ICL capabilities.
Abstract:Sparse autoencoders (SAEs) have become an important tool for analyzing and interpreting the activation space of transformer-based language models (LMs). However, SAEs suffer several shortcomings that diminish their utility and internal validity. Since SAEs are trained post-hoc, it is unclear if the failure to discover a particular concept is a failure on the SAE's side or due to the underlying LM not representing this concept. This problem is exacerbated by training conditions and architecture choices affecting which features an SAE learns. When tracing how LMs learn concepts during training, the lack of feature stability also makes it difficult to compare SAEs features across different checkpoints. To address these limitations, we introduce a modification to the transformer architecture that incorporates a TopK activation function at chosen layers, making the model's hidden states equivalent to the latent features of a TopK SAE. This approach eliminates the need for post-hoc training while providing interpretability comparable to SAEs. The resulting TopK LMs offer a favorable trade-off between model size, computational efficiency, and interpretability. Despite this simple architectural change, TopK LMs maintain their original capabilities while providing robust interpretability benefits. Our experiments demonstrate that the sparse representations learned by TopK LMs enable successful steering through targeted neuron interventions and facilitate detailed analysis of neuron formation processes across checkpoints and layers. These features make TopK LMs stable and reliable tools for understanding how language models learn and represent concepts, which we believe will significantly advance future research on model interpretability and controllability.
Abstract:We study memory in state-space language models using primacy and recency effects as behavioral tools to uncover how information is retained and forgotten over time. Applying structured recall tasks to the Mamba architecture, we observe a consistent U-shaped accuracy profile, indicating strong performance at the beginning and end of input sequences. We identify three mechanisms that give rise to this pattern. First, long-term memory is supported by a sparse subset of channels within the model's selective state space block, which persistently encode early input tokens and are causally linked to primacy effects. Second, short-term memory is governed by delta-modulated recurrence: recent inputs receive more weight due to exponential decay, but this recency advantage collapses when distractor items are introduced, revealing a clear limit to memory depth. Third, we find that memory allocation is dynamically modulated by semantic regularity: repeated relations in the input sequence shift the delta gating behavior, increasing the tendency to forget intermediate items. We validate these findings via targeted ablations and input perturbations on two large-scale Mamba-based language models: one with 1.4B and another with 7B parameters.
Abstract:Large language models (LLMs) can spell out tokens character by character with high accuracy, yet they struggle with more complex character-level tasks, such as identifying compositional subcomponents within tokens. In this work, we investigate how LLMs internally represent and utilize character-level information during the spelling-out process. Our analysis reveals that, although spelling out is a simple task for humans, it is not handled in a straightforward manner by LLMs. Specifically, we show that the embedding layer does not fully encode character-level information, particularly beyond the first character. As a result, LLMs rely on intermediate and higher Transformer layers to reconstruct character-level knowledge, where we observe a distinct "breakthrough" in their spelling behavior. We validate this mechanism through three complementary analyses: probing classifiers, identification of knowledge neurons, and inspection of attention weights.




Abstract:Many vision-language models (VLMs) that prove very effective at a range of multimodal task, build on CLIP-based vision encoders, which are known to have various limitations. We investigate the hypothesis that the strong language backbone in VLMs compensates for possibly weak visual features by contextualizing or enriching them. Using three CLIP-based VLMs, we perform controlled self-attention ablations on a carefully designed probing task. Our findings show that despite known limitations, CLIP visual representations offer ready-to-read semantic information to the language decoder. However, in scenarios of reduced contextualization in the visual representations, the language decoder can largely compensate for the deficiency and recover performance. This suggests a dynamic division of labor in VLMs and motivates future architectures that offload more visual processing to the language decoder.




Abstract:Large Language Models (LLMs) are known to process information using a proficient internal language consistently, referred to as latent language, which may differ from the input or output languages. However, how the discrepancy between the latent language and the input and output language affects downstream task performance remains largely unexplored. While many studies research the latent language of LLMs, few address its importance in influencing task performance. In our study, we hypothesize that thinking in latent language consistently enhances downstream task performance. To validate this, our work varies the input prompt languages across multiple downstream tasks and analyzes the correlation between consistency in latent language and task performance. We create datasets consisting of questions from diverse domains such as translation and geo-culture, which are influenced by the choice of latent language. Experimental results across multiple LLMs on translation and geo-culture tasks, which are sensitive to the choice of language, indicate that maintaining consistency in latent language is not always necessary for optimal downstream task performance. This is because these models adapt their internal representations near the final layers to match the target language, reducing the impact of consistency on overall performance.




Abstract:Fact recall, the ability of language models (LMs) to retrieve specific factual knowledge, remains a challenging task despite their impressive general capabilities. Common training strategies often struggle to promote robust recall behavior with two-stage training, which first trains a model with fact-storing examples (e.g., factual statements) and then with fact-recalling examples (question-answer pairs), tending to encourage rote memorization rather than generalizable fact retrieval. In contrast, mixed training, which jointly uses both types of examples, has been empirically shown to improve the ability to recall facts, but the underlying mechanisms are still poorly understood. In this work, we investigate how these training strategies affect how model parameters are shaped during training and how these differences relate to their ability to recall facts. We introduce cross-task gradient trace to identify shared parameters, those strongly influenced by both fact-storing and fact-recalling examples. Our analysis on synthetic fact recall datasets with the Llama-3.2B and Pythia-2.8B models reveals that mixed training encouraging a larger and more centralized set of shared parameters. These findings suggest that the emergence of parameters may play a key role in enabling LMs to generalize factual knowledge across task formulations.




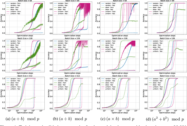
Abstract:Grokking, a delayed generalization in neural networks after perfect training performance, has been observed in Transformers and MLPs, but the components driving it remain underexplored. We show that embeddings are central to grokking: introducing them into MLPs induces delayed generalization in modular arithmetic tasks, whereas MLPs without embeddings can generalize immediately. Our analysis identifies two key mechanisms: (1) Embedding update dynamics, where rare tokens stagnate due to sparse gradient updates and weight decay, and (2) Bilinear coupling, where the interaction between embeddings and downstream weights introduces saddle points and increases sensitivity to initialization. To confirm these mechanisms, we investigate frequency-aware sampling, which balances token updates by minimizing gradient variance, and embedding-specific learning rates, derived from the asymmetric curvature of the bilinear loss landscape. We prove that an adaptive learning rate ratio, \(\frac{\eta_E}{\eta_W} \propto \frac{\sigma_{\max}(E)}{\sigma_{\max}(W)} \cdot \frac{f_W}{f_E}\), mitigates bilinear coupling effects, accelerating convergence. Our methods not only improve grokking dynamics but also extend to broader challenges in Transformer optimization, where bilinear interactions hinder efficient training.