Abstract:Safety remains one of the most critical challenges in autonomous driving systems. In recent years, the end-to-end driving has shown great promise in advancing vehicle autonomy in a scalable manner. However, existing approaches often face safety risks due to the lack of explicit behavior constraints. To address this issue, we uncover a new paradigm by introducing the corridor as the intermediate representation. Widely adopted in robotics planning, the corridors represents spatio-temporal obstacle-free zones for the vehicle to traverse. To ensure accurate corridor prediction in diverse traffic scenarios, we develop a comprehensive learning pipeline including data annotation, architecture refinement and loss formulation. The predicted corridor is further integrated as the constraint in a trajectory optimization process. By extending the differentiability of the optimization, we enable the optimized trajectory to be seamlessly trained within the end-to-end learning framework, improving both safety and interpretability. Experimental results on the nuScenes dataset demonstrate state-of-the-art performance of our approach, showing a 66.7% reduction in collisions with agents and a 46.5% reduction with curbs, significantly enhancing the safety of end-to-end driving. Additionally, incorporating the corridor contributes to higher success rates in closed-loop evaluations.

Abstract:Learning-based approaches have achieved impressive performance for autonomous driving and an increasing number of data-driven works are being studied in the decision-making and planning module. However, the reliability and the stability of the neural network is still full of challenges. In this paper, we introduce a hierarchical imitation method including a high-level grid-based behavior planner and a low-level trajectory planner, which is not only an individual data-driven driving policy and can also be easily embedded into the rule-based architecture. We evaluate our method both in closed-loop simulation and real world driving, and demonstrate the neural network planner has outstanding performance in complex urban autonomous driving scenarios.




Abstract:Tactical driving decision making is crucial for autonomous driving systems and has attracted considerable interest in recent years. In this paper, we propose several practical components that can speed up deep reinforcement learning algorithms towards tactical decision making tasks: 1) non-uniform action skipping as a more stable alternative to action-repetition frame skipping, 2) a counter-based penalty for lanes on which ego vehicle has less right-of-road, and 3) heuristic inference-time action masking for apparently undesirable actions. We evaluate the proposed components in a realistic driving simulator and compare them with several baselines. Results show that the proposed scheme provides superior performance in terms of safety, efficiency, and comfort.




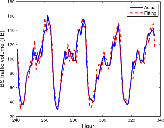
Abstract:Accurate mobile traffic forecast is important for efficient network planning and operations. However, existing traffic forecasting models have high complexity, making the forecasting process slow and costly. In this paper, we analyze some characteristics of mobile traffic such as periodicity, spatial similarity and short term relativity. Based on these characteristics, we propose a \emph{Block Regression} ({BR}) model for mobile traffic forecasting. This model employs seasonal differentiation so as to take into account of the temporally repetitive nature of mobile traffic. One of the key features of our {BR} model lies in its low complexity since it constructs a single model for all base stations. We evaluate the accuracy of {BR} model based on real traffic data and compare it with the existing models. Results show that our {BR} model offers equal accuracy to the existing models but has much less complexity.