Abstract:Multimodal methods are widely used in rice deterioration detection, which exhibit limited capability in representing and extracting fine-grained abnormal features. Moreover, these methods rely on devices, such as hyperspectral cameras and mass spectrometers, increasing detection costs and prolonging data acquisition time. To address these issues, we propose a feature recalibration based olfactory-visual multimodal model for fine-grained rice deterioration detection. The fine-grained deterioration embedding constructor (FDEC) is proposed to reconstruct the labeled multimodal embedded-feature dataset, enhancing sample representation. The fine-grained deterioration recalibration attention network (FDRA-Net) is proposed to emphasize signal variations and increase sensitivity to fine-grained deterioration on the rice surface. Experiments show that the proposed method achieves a classification accuracy of 99.89%. Compared with state-of-the-art methods, the detection accuracy is improved and the procedure is simplified. Furthermore, field detection demonstrates the advantages of accuracy and operational simplicity. The proposed method can also be extended to other agrifood in agriculture and food industry.
Abstract:This work focuses on multi-shot semi-supervised video object segmentation (MVOS), which aims at segmenting the target object indicated by an initial mask throughout a video with multiple shots. The existing VOS methods mainly focus on single-shot videos and struggle with shot discontinuities, thereby limiting their real-world applicability. We propose a transition mimicking data augmentation strategy (TMA) which enables cross-shot generalization with single-shot data to alleviate the severe annotated multi-shot data sparsity, and the Segment Anything Across Shots (SAAS) model, which can detect and comprehend shot transitions effectively. To support evaluation and future study in MVOS, we introduce Cut-VOS, a new MVOS benchmark with dense mask annotations, diverse object categories, and high-frequency transitions. Extensive experiments on YouMVOS and Cut-VOS demonstrate that the proposed SAAS achieves state-of-the-art performance by effectively mimicking, understanding, and segmenting across complex transitions. The code and datasets are released at https://henghuiding.com/SAAS/.




Abstract:Recent breakthroughs in generative AI have transformed recommender systems through end-to-end generation. OneRec reformulates recommendation as an autoregressive generation task, achieving high Model FLOPs Utilization. While OneRec-V1 has shown significant empirical success in real-world deployment, two critical challenges hinder its scalability and performance: (1) inefficient computational allocation where 97.66% of resources are consumed by sequence encoding rather than generation, and (2) limitations in reinforcement learning relying solely on reward models. To address these challenges, we propose OneRec-V2, featuring: (1) Lazy Decoder-Only Architecture: Eliminates encoder bottlenecks, reducing total computation by 94% and training resources by 90%, enabling successful scaling to 8B parameters. (2) Preference Alignment with Real-World User Interactions: Incorporates Duration-Aware Reward Shaping and Adaptive Ratio Clipping to better align with user preferences using real-world feedback. Extensive A/B tests on Kuaishou demonstrate OneRec-V2's effectiveness, improving App Stay Time by 0.467%/0.741% while balancing multi-objective recommendations. This work advances generative recommendation scalability and alignment with real-world feedback, representing a step forward in the development of end-to-end recommender systems.
Abstract:This work addresses motion-guided few-shot video object segmentation (FSVOS), which aims to segment dynamic objects in videos based on a few annotated examples with the same motion patterns. Existing FSVOS datasets and methods typically focus on object categories, which are static attributes that ignore the rich temporal dynamics in videos, limiting their application in scenarios requiring motion understanding. To fill this gap, we introduce MOVE, a large-scale dataset specifically designed for motion-guided FSVOS. Based on MOVE, we comprehensively evaluate 6 state-of-the-art methods from 3 different related tasks across 2 experimental settings. Our results reveal that current methods struggle to address motion-guided FSVOS, prompting us to analyze the associated challenges and propose a baseline method, Decoupled Motion Appearance Network (DMA). Experiments demonstrate that our approach achieves superior performance in few shot motion understanding, establishing a solid foundation for future research in this direction.




Abstract:Recommender systems have been widely used in various large-scale user-oriented platforms for many years. However, compared to the rapid developments in the AI community, recommendation systems have not achieved a breakthrough in recent years. For instance, they still rely on a multi-stage cascaded architecture rather than an end-to-end approach, leading to computational fragmentation and optimization inconsistencies, and hindering the effective application of key breakthrough technologies from the AI community in recommendation scenarios. To address these issues, we propose OneRec, which reshapes the recommendation system through an end-to-end generative approach and achieves promising results. Firstly, we have enhanced the computational FLOPs of the current recommendation model by 10 $\times$ and have identified the scaling laws for recommendations within certain boundaries. Secondly, reinforcement learning techniques, previously difficult to apply for optimizing recommendations, show significant potential in this framework. Lastly, through infrastructure optimizations, we have achieved 23.7% and 28.8% Model FLOPs Utilization (MFU) on flagship GPUs during training and inference, respectively, aligning closely with the LLM community. This architecture significantly reduces communication and storage overhead, resulting in operating expense that is only 10.6% of traditional recommendation pipelines. Deployed in Kuaishou/Kuaishou Lite APP, it handles 25% of total queries per second, enhancing overall App Stay Time by 0.54% and 1.24%, respectively. Additionally, we have observed significant increases in metrics such as 7-day Lifetime, which is a crucial indicator of recommendation experience. We also provide practical lessons and insights derived from developing, optimizing, and maintaining a production-scale recommendation system with significant real-world impact.




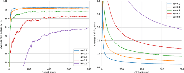
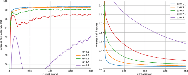
Abstract:Federated learning (FL) offers a privacy-preserving framework for distributed machine learning, enabling collaborative model training across diverse clients without centralizing sensitive data. However, statistical heterogeneity, characterized by non-independent and identically distributed (non-IID) client data, poses significant challenges, leading to model drift and poor generalization. This paper proposes a novel algorithm, pFedKD-WCL (Personalized Federated Knowledge Distillation with Weighted Combination Loss), which integrates knowledge distillation with bi-level optimization to address non-IID challenges. pFedKD-WCL leverages the current global model as a teacher to guide local models, optimizing both global convergence and local personalization efficiently. We evaluate pFedKD-WCL on the MNIST dataset and a synthetic dataset with non-IID partitioning, using multinomial logistic regression and multilayer perceptron models. Experimental results demonstrate that pFedKD-WCL outperforms state-of-the-art algorithms, including FedAvg, FedProx, Per-FedAvg, and pFedMe, in terms of accuracy and convergence speed.




Abstract:Machine Learning (ML) research has increased substantially in recent years, due to the success of predictive modeling across diverse application domains. However, well-known barriers exist when attempting to deploy ML models in high-stakes, clinical settings, including lack of model transparency (or the inability to audit the inference process), large training data requirements with siloed data sources, and complicated metrics for measuring model utility. In this work, we show empirically that including stronger baseline models in healthcare ML evaluations has important downstream effects that aid practitioners in addressing these challenges. Through a series of case studies, we find that the common practice of omitting baselines or comparing against a weak baseline model (e.g. a linear model with no optimization) obscures the value of ML methods proposed in the research literature. Using these insights, we propose some best practices that will enable practitioners to more effectively study and deploy ML models in clinical settings.