MIT




Abstract:Manipulating an articulated object requires perceiving itskinematic hierarchy: its parts, how each can move, and howthose motions are coupled. Previous work has explored per-ception for kinematics, but none infers a complete kinematichierarchy on never-before-seen object instances, without relyingon a schema or template. We present a novel perception systemthat achieves this goal. Our system infers the moving parts ofan object and the kinematic couplings that relate them. Toinfer parts, it uses a point cloud instance segmentation neuralnetwork and to infer kinematic hierarchies, it uses a graphneural network to predict the existence, direction, and typeof edges (i.e. joints) that relate the inferred parts. We trainthese networks using simulated scans of synthetic 3D models.We evaluate our system on simulated scans of 3D objects, andwe demonstrate a proof-of-concept use of our system to drivereal-world robotic manipulation.




Abstract:Recent work on using natural language to specify commands to robots has grounded that language to LTL. However, mapping natural language task specifications to LTL task specifications using language models require probability distributions over finite vocabulary. Existing state-of-the-art methods have extended this finite vocabulary to include unseen terms from the input sequence to improve output generalization. However, novel out-of-vocabulary atomic propositions cannot be generated using these methods. To overcome this, we introduce an intermediate contextual query representation which can be learned from single positive task specification examples, associating a contextual query with an LTL template. We demonstrate that this intermediate representation allows for generalization over unseen object references, assuming accurate groundings are available. We compare our method of mapping natural language task specifications to intermediate contextual queries against state-of-the-art CopyNet models capable of translating natural language to LTL, by evaluating whether correct LTL for manipulation and navigation task specifications can be output, and show that our method outperforms the CopyNet model on unseen object references. We demonstrate that the grounded LTL our method outputs can be used for planning in a simulated OO-MDP environment. Finally, we discuss some common failure modes encountered when translating natural language task specifications to grounded LTL.




Abstract:Variable impedance control in operation-space is a promising approach to learning contact-rich manipulation behaviors. One of the main challenges with this approach is producing a manipulation behavior that ensures the safety of the arm and the environment. Such behavior is typically implemented via a reward function that penalizes unsafe actions (e.g. obstacle collision, joint limit extension), but that approach is not always effective and does not result in behaviors that can be reused in slightly different environments. We show how to combine Riemannian Motion Policies, a class of policies that dynamically generate motion in the presence of safety and collision constraints, with variable impedance operation-space control to learn safer contact-rich manipulation behaviors.




Abstract:Sparse rewards and long time horizons remain challenging for reinforcement learning algorithms. Exploration bonuses can help in sparse reward settings by encouraging agents to explore the state space, while hierarchical approaches can assist with long-horizon tasks by decomposing lengthy tasks into shorter subtasks. We propose HAC Explore (HACx), a new method that combines these approaches by integrating the exploration bonus method Random Network Distillation (RND) into the hierarchical approach Hierarchical Actor-Critic (HAC). HACx outperforms either component method on its own, as well as an existing approach to combining hierarchy and exploration, in a set of difficult simulated robotics tasks. HACx is the first RL method to solve a sparse reward, continuous-control task that requires over 1,000 actions.


Abstract:Learning continuous control in high-dimensional sparse reward settings, such as robotic manipulation, is a challenging problem due to the number of samples often required to obtain accurate optimal value and policy estimates. While many deep reinforcement learning methods have aimed at improving sample efficiency through replay or improved exploration techniques, state of the art actor-critic and policy gradient methods still suffer from the hard exploration problem in sparse reward settings. Motivated by recent successes of value-based methods for approximating state-action values, like RBF-DQN, we explore the potential of value-based reinforcement learning for learning continuous robotic manipulation tasks in multi-task sparse reward settings. On robotic manipulation tasks, we empirically show RBF-DQN converges faster than current state of the art algorithms such as TD3, SAC, and PPO. We also perform ablation studies with RBF-DQN and have shown that some enhancement techniques for vanilla Deep Q learning such as Hindsight Experience Replay (HER) and Prioritized Experience Replay (PER) can also be applied to RBF-DQN. Our experimental analysis suggests that value-based approaches may be more sensitive to data augmentation and replay buffer sample techniques than policy-gradient methods, and that the benefits of these methods for robot manipulation are heavily dependent on the transition dynamics of generated subgoal states.




Abstract:The fundamental assumption of reinforcement learning in Markov decision processes (MDPs) is that the relevant decision process is, in fact, Markov. However, when MDPs have rich observations, agents typically learn by way of an abstract state representation, and such representations are not guaranteed to preserve the Markov property. We introduce a novel set of conditions and prove that they are sufficient for learning a Markov abstract state representation. We then describe a practical training procedure that combines inverse model estimation and temporal contrastive learning to learn an abstraction that approximately satisfies these conditions. Our novel training objective is compatible with both online and offline training: it does not require a reward signal, but agents can capitalize on reward information when available. We empirically evaluate our approach on a visual gridworld domain and a set of continuous control benchmarks. Our approach learns representations that capture the underlying structure of the domain and lead to improved sample efficiency over state-of-the-art deep reinforcement learning with visual features -- often matching or exceeding the performance achieved with hand-designed compact state information.




Abstract:Grasping arbitrary objects in densely cluttered novel environments is a crucial skill for robots. Though many existing systems enable two-finger parallel-jaw grippers to pick items from clutter, these grippers cannot perform multiple types of grasps. However, multi-modal grasping with multi-finger grippers could much more effectively clear objects of varying sizes from cluttered scenes. We propose an approach to multi-model grasp detection that jointly predicts the probabilities that several types of grasps succeed at a given grasp pose. Given a partial point cloud of a scene, the algorithm proposes a set of feasible grasp candidates, then estimates the probabilities that a grasp of each type would succeed at each candidate pose. Predicting grasp success probabilities directly from point clouds makes our approach agnostic to the number and placement of depth sensors at execution time. We evaluate our system both in simulation and on a real robot with a Robotiq 3-Finger Adaptive Gripper. We compare our network against several baselines that perform fewer types of grasps. Our experiments show that a system that explicitly models grasp type achieves an object retrieval rate 8.5% higher in a complex cluttered environment than our highest-performing baseline.




Abstract:Learning a robot motor skill from scratch is impractically slow; so much so that in practice, learning must be bootstrapped using a good skill policy obtained from human demonstration. However, relying on human demonstration necessarily degrades the autonomy of robots that must learn a wide variety of skills over their operational lifetimes. We propose using kinematic motion planning as a completely autonomous, sample efficient way to bootstrap motor skill learning for object manipulation. We demonstrate the use of motion planners to bootstrap motor skills in two complex object manipulation scenarios with different policy representations: opening a drawer with a dynamic movement primitive representation, and closing a microwave door with a deep neural network policy. We also show how our method can bootstrap a motor skill for the challenging dynamic task of learning to hit a ball off a tee, where a kinematic plan based on treating the scene as static is insufficient to solve the task, but sufficient to bootstrap a more dynamic policy. In all three cases, our method is competitive with human-demonstrated initialization, and significantly outperforms starting with a random policy. This approach enables robots to to efficiently and autonomously learn motor policies for dynamic tasks without human demonstration.



Abstract:A generally intelligent agent requires an open-scope world model: one rich enough to tackle any of the wide range of tasks it may be asked to solve over its operational lifetime. Unfortunately, planning to solve any specific task using such a rich model is computationally intractable - even for state-of-the-art methods - due to the many states and actions that are necessarily present in the model but irrelevant to that problem. We propose task scoping: a method that exploits knowledge of the initial condition, goal condition, and transition-dynamics structure of a task to automatically and efficiently prune provably irrelevant factors and actions from a planning problem, which can dramatically decrease planning time. We prove that task scoping never deletes relevant factors or actions, characterize its computational complexity, and characterize the planning problems for which it is especially useful. Finally, we empirically evaluate task scoping on a variety of domains and demonstrate that using it as a pre-planning step can reduce the state-action space of various planning problems by orders of magnitude and speed up planning. When applied to a complex Minecraft domain, our approach speeds up a state-of-the-art planner by 30 times, including the time required for task scoping itself.




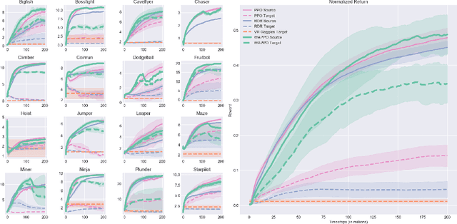
Abstract:We introduce Wasserstein Adversarial Proximal Policy Optimization (WAPPO), a novel algorithm for visual transfer in Reinforcement Learning that explicitly learns to align the distributions of extracted features between a source and target task. WAPPO approximates and minimizes the Wasserstein-1 distance between the distributions of features from source and target domains via a novel Wasserstein Confusion objective. WAPPO outperforms the prior state-of-the-art in visual transfer and successfully transfers policies across Visual Cartpole and two instantiations of 16 OpenAI Procgen environments.