Topic modeling is a type of statistical modeling for discovering the abstract topics that occur in a collection of documents.




Extracting coherent and human-understandable themes from large collections of unstructured historical newspaper archives presents significant challenges due to topic evolution, Optical Character Recognition (OCR) noise, and the sheer volume of text. Traditional topic-modeling methods, such as Latent Dirichlet Allocation (LDA), often fall short in capturing the complexity and dynamic nature of discourse in historical texts. To address these limitations, we employ BERTopic. This neural topic-modeling approach leverages transformerbased embeddings to extract and classify topics, which, despite its growing popularity, still remains underused in historical research. Our study focuses on articles published between 1955 and 2018, specifically examining discourse on nuclear power and nuclear safety. We analyze various topic distributions across the corpus and trace their temporal evolution to uncover long-term trends and shifts in public discourse. This enables us to more accurately explore patterns in public discourse, including the co-occurrence of themes related to nuclear power and nuclear weapons and their shifts in topic importance over time. Our study demonstrates the scalability and contextual sensitivity of BERTopic as an alternative to traditional approaches, offering richer insights into historical discourses extracted from newspaper archives. These findings contribute to historical, nuclear, and social-science research while reflecting on current limitations and proposing potential directions for future work.




Streaming Speech-to-Text Translation (StreamST) requires producing translations concurrently with incoming speech, imposing strict latency constraints and demanding models that balance partial-information decision-making with high translation quality. Research efforts on the topic have so far relied on the SimulEval repository, which is no longer maintained and does not support systems that revise their outputs. In addition, it has been designed for simulating the processing of short segments, rather than long-form audio streams, and it does not provide an easy method to showcase systems in a demo. As a solution, we introduce simulstream, the first open-source framework dedicated to unified evaluation and demonstration of StreamST systems. Designed for long-form speech processing, it supports not only incremental decoding approaches, but also re-translation methods, enabling for their comparison within the same framework both in terms of quality and latency. In addition, it also offers an interactive web interface to demo any system built within the tool.
Skilled human interviewers can extract valuable information from experts. This raises a fundamental question: what makes some questions more effective than others? To address this, a quantitative evaluation of question-generation models is essential. Video question generation (VQG) is a topic for video question answering (VideoQA), where questions are generated for given answers. Their evaluation typically focuses on the ability to answer questions, rather than the quality of generated questions. In contrast, we focus on the question quality in eliciting unseen knowledge from human experts. For a continuous improvement of VQG models, we propose a protocol that evaluates the ability by simulating question-answering communication with experts using a question-to-answer retrieval. We obtain the retriever by constructing a novel dataset, EgoExoAsk, which comprises 27,666 QA pairs generated from Ego-Exo4D's expert commentary annotation. The EgoExoAsk training set is used to obtain the retriever, and the benchmark is constructed on the validation set with Ego-Exo4D video segments. Experimental results demonstrate our metric reasonably aligns with question generation settings: models accessing richer context are evaluated better, supporting that our protocol works as intended. The EgoExoAsk dataset is available in https://github.com/omron-sinicx/VQG4ExpertKnowledge .




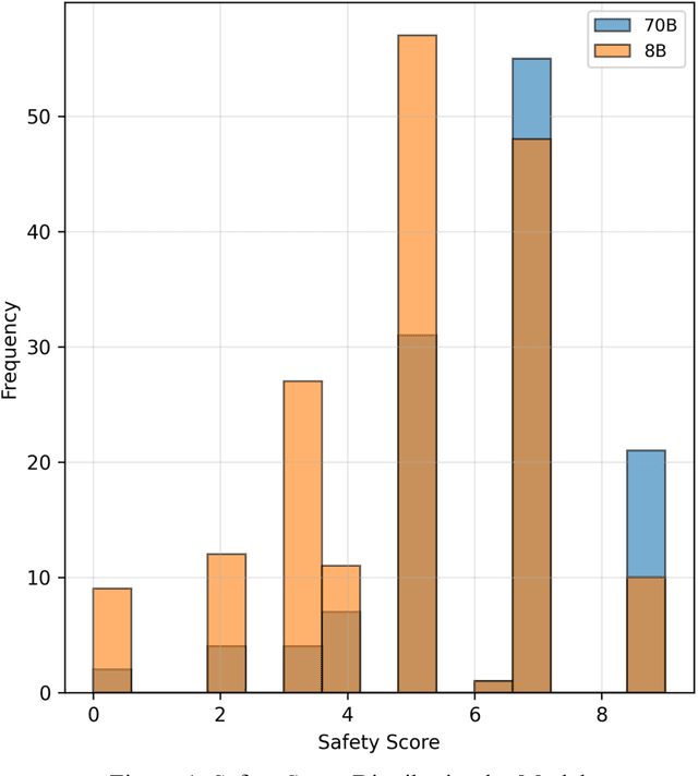
Large language models (LLMs) are increasingly consulted by parents for pediatric guidance, yet their safety under real-world adversarial pressures is poorly understood. Anxious parents often use urgent language that can compromise model safeguards, potentially causing harmful advice. PediatricAnxietyBench is an open-source benchmark of 300 high-quality queries across 10 pediatric topics (150 patient-derived, 150 adversarial) enabling reproducible evaluation. Two Llama models (70B and 8B) were assessed using a multi-dimensional safety framework covering diagnostic restraint, referral adherence, hedging, and emergency recognition. Adversarial queries incorporated parental pressure patterns, including urgency, economic barriers, and challenges to disclaimers. Mean safety score was 5.50/15 (SD=2.41). The 70B model outperformed the 8B model (6.26 vs 4.95, p<0.001) with lower critical failures (4.8% vs 12.0%, p=0.02). Adversarial queries reduced safety by 8% (p=0.03), with urgency causing the largest drop (-1.40). Vulnerabilities appeared in seizures (33.3% inappropriate diagnosis) and post-vaccination queries. Hedging strongly correlated with safety (r=0.68, p<0.001), while emergency recognition was absent. Model scale influences safety, yet all models showed vulnerabilities to realistic parental pressures. PediatricAnxietyBench provides a reusable adversarial evaluation framework to reveal clinically significant failure modes overlooked by standard benchmarks.
Forensic scientists often need to identify an unknown speaker or writer in cases such as ransom calls, covert recordings, alleged suicide notes, or anonymous online communications, among many others. Speaker recognition in the speech domain usually examines phonetic or acoustic properties of a voice, and these methods can be accurate and robust under certain conditions. However, if a speaker disguises their voice or employs text-to-speech software, vocal properties may no longer be reliable, leaving only their linguistic content available for analysis. Authorship attribution methods traditionally use syntactic, semantic, and related linguistic information to identify writers of written text (authorship attribution). In this paper, we apply a content-based authorship approach to speech that has been transcribed into text, using what a speaker says to attribute speech to individuals (speaker attribution). We introduce a stylometric method, StyloSpeaker, which incorporates character, word, token, sentence, and style features from the stylometric literature on authorship, to assess whether two transcripts were produced by the same speaker. We evaluate this method on two types of transcript formatting: one approximating prescriptive written text with capitalization and punctuation and another normalized style that removes these conventions. The transcripts' conversation topics are also controlled to varying degrees. We find generally higher attribution performance on normalized transcripts, except under the strongest topic control condition, in which overall performance is highest. Finally, we compare this more explainable stylometric model to black-box neural approaches on the same data and investigate which stylistic features most effectively distinguish speakers.



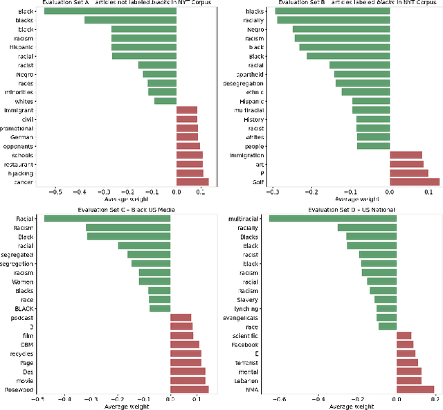
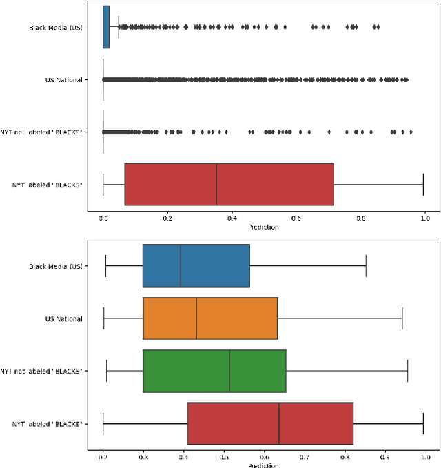
AI technologies have rapidly moved into business and research applications that involve large text corpora, including computational journalism research and newsroom settings. These models, trained on extant data from various sources, can be conceptualized as historical artifacts that encode decades-old attitudes and stereotypes. This paper investigates one such example trained on the broadly-used New York Times Annotated Corpus to create a multi-label classifier. Our use in research settings surfaced the concerning "blacks" thematic topic label. Through quantitative and qualitative means we investigate this label's use in the training corpus, what concepts it might be encoding in the trained classifier, and how those concepts impact our model use. Via the application of explainable AI methods, we find that the "blacks" label operates partially as a general "racism detector" across some minoritized groups. However, it performs poorly against expectations on modern examples such as COVID-19 era anti-Asian hate stories, and reporting on the Black Lives Matter movement. This case study of interrogating embedded biases in a model reveals how similar applications in newsroom settings can lead to unexpected outputs that could impact a wide variety of potential uses of any large language model-story discovery, audience targeting, summarization, etc. The fundamental tension this exposes for newsrooms is how to adopt AI-enabled workflow tools while reducing the risk of reproducing historical biases in news coverage.
What is your messaging data used for? While many users do not often think about the information companies can gather based off of their messaging platform of choice, it is nonetheless important to consider as society increasingly relies on short-form electronic communication. While most companies keep their data closely guarded, inaccessible to users or potential hackers, Apple has opened a door to their walled-garden ecosystem, providing iMessage users on Mac with one file storing all their messages and attached metadata. With knowledge of this locally stored file, the question now becomes: What can our data do for us? In the creation of our iMessage text message analyzer, we set out to answer five main research questions focusing on topic modeling, response times, reluctance scoring, and sentiment analysis. This paper uses our exploratory data to show how these questions can be answered using our analyzer and its potential in future studies on iMessage data.
Large-language models (LLMs) have been shown to respond in a variety of ways for classification tasks outside of question-answering. LLM responses are sometimes called "hallucinations" since the output is not what is ex pected. Memorization strategies in LLMs are being studied in detail, with the goal of understanding how LLMs respond. We perform a deep dive into a classification task based on United States Supreme Court (SCOTUS) decisions. The SCOTUS corpus is an ideal classification task to study for LLM memory accuracy because it presents significant challenges due to extensive sentence length, complex legal terminology, non-standard structure, and domain-specific vocabulary. Experimentation is performed with the latest LLM fine tuning and retrieval-based approaches, such as parameter-efficient fine-tuning, auto-modeling, and others, on two traditional category-based SCOTUS classification tasks: one with 15 labeled topics and another with 279. We show that prompt-based models with memories, such as DeepSeek, can be more robust than previous BERT-based models on both tasks scoring about 2 points better than previous models not based on prompting.
Dialogue Topic Segmentation (DTS) is crucial for understanding task-oriented public-channel communications, such as maritime VHF dialogues, which feature informal speech and implicit transitions. To address the limitations of traditional methods, we propose DASH-DTS, a novel LLM-based framework. Its core contributions are: (1) topic shift detection via dialogue handshake recognition; (2) contextual enhancement through similarity-guided example selection; and (3) the generation of selective positive and negative samples to improve model discrimination and robustness. Additionally, we release VHF-Dial, the first public dataset of real-world maritime VHF communications, to advance research in this domain. DASH-DTS provides interpretable reasoning and confidence scores for each segment. Experimental results demonstrate that our framework achieves several sota segmentation trusted accuracy on both VHF-Dial and standard benchmarks, establishing a strong foundation for stable monitoring and decision support in operational dialogues.




Nowadays, Graph Fraud Detection (GFD) in financial scenarios has become an urgent research topic to protect online payment security. However, as organized crime groups are becoming more professional in real-world scenarios, fraudsters are employing more sophisticated camouflage strategies. Specifically, fraudsters disguise themselves by mimicking the behavioral data collected by platforms, ensuring that their key characteristics are consistent with those of benign users to a high degree, which we call Adaptive Camouflage. Consequently, this narrows the differences in behavioral traits between them and benign users within the platform's database, thereby making current GFD models lose efficiency. To address this problem, we propose a relation diffusion-based graph augmentation model Grad. In detail, Grad leverages a supervised graph contrastive learning module to enhance the fraud-benign difference and employs a guided relation diffusion generator to generate auxiliary homophilic relations from scratch. Based on these, weak fraudulent signals would be enhanced during the aggregation process, thus being obvious enough to be captured. Extensive experiments have been conducted on two real-world datasets provided by WeChat Pay, one of the largest online payment platforms with billions of users, and three public datasets. The results show that our proposed model Grad outperforms SOTA methods in both various scenarios, achieving at most 11.10% and 43.95% increases in AUC and AP, respectively. Our code is released at https://github.com/AI4Risk/antifraud and https://github.com/Muyiiiii/WWW25-Grad.