Abstract:Differential equations are involved in modeling many engineering problems. Many efforts have been devoted to solving differential equations. Due to the flexibility of neural networks, Physics Informed Neural Networks (PINNs) have recently been proposed to solve complex differential equations and have demonstrated superior performance in many applications. While the L2 loss function is usually a default choice in PINNs, it has been shown that the corresponding numerical solution is incorrect and unstable for some complex equations. In this work, we propose a new PINNs framework named Kernel Packet accelerated PINNs (KP-PINNs), which gives a new expression of the loss function using the reproducing kernel Hilbert space (RKHS) norm and uses the Kernel Packet (KP) method to accelerate the computation. Theoretical results show that KP-PINNs can be stable across various differential equations. Numerical experiments illustrate that KP-PINNs can solve differential equations effectively and efficiently. This framework provides a promising direction for improving the stability and accuracy of PINNs-based solvers in scientific computing.
Abstract:Structural health monitoring (SHM) involves sensor deployment, data acquisition, and data interpretation, commonly implemented via a tedious wired system. The information processing in current practice majorly depends on electronic computers, albeit with universal applications, delivering challenges such as high energy consumption and low throughput due to the nature of digital units. In recent years, there has been a renaissance interest in shifting computations from electronic computing units to the use of real physical systems, a concept known as physical computation. This approach provides the possibility of thinking out of the box for SHM, seamlessly integrating sensing and computing into a pure-physical entity, without relying on external electronic power supplies, thereby properly coping with resource-restricted scenarios. The latest advances of metamaterials (MM) hold great promise for this proactive idea. In this paper, we introduce a programmable metamaterial-based sensor (termed as MM-sensor) for physically processing structural vibration information to perform specific SHM tasks, such as structural damage warning (binary classification) in this initiation, without the need for further information processing or resource-consuming, that is, the data collection and analysis are completed in-situ at the sensor level. We adopt the configuration of a locally resonant metamaterial plate (LRMP) to achieve the first fabrication of the MM-sensor. We take advantage of the bandgap properties of LRMP to physically differentiate the dynamic behavior of structures before and after damage. By inversely designing the geometric parameters, our current approach allows for adjustments to the bandgap features. This is effective for engineering systems with a first natural frequency ranging from 9.54 Hz to 81.86 Hz.
Abstract:Neural Operators have emerged as powerful tools for learning mappings between function spaces. Among them, the kernel integral operator has been widely validated on universally approximating various operators. Although recent advancements following this definition have developed effective modules to better approximate the kernel function defined on the original domain (with $d$ dimensions, $d=1, 2, 3...$), the unclarified evolving mechanism in the embedding spaces blocks our view to design neural operators that can fully capture the target system evolution. Drawing on recent breakthroughs in quantum simulation of partial differential equations (PDEs), we elucidate the linear evolution process in neural operators. Based on that, we redefine neural operators on a new $d+1$ dimensional domain. Within this framework, we implement our proposed Schr\"odingerised Kernel Neural Operator (SKNO) aligning better with the $d+1$ dimensional evolution. In experiments, our $d+1$ dimensional evolving linear block performs far better than others. Also, we test SKNO's SOTA performance on various benchmark tests and also the zero-shot super-resolution task. In addition, we analyse the impact of different lifting and recovering operators on the prediction within the redefined NO framework, reflecting the alignment between our model and the underlying $d+1$ dimensional evolution.
Abstract:Structural health monitoring (SHM) has experienced significant advancements in recent decades, accumulating massive monitoring data. Data anomalies inevitably exist in monitoring data, posing significant challenges to their effective utilization. Recently, deep learning has emerged as an efficient and effective approach for anomaly detection in bridge SHM. Despite its progress, many deep learning models require large amounts of labeled data for training. The process of labeling data, however, is labor-intensive, time-consuming, and often impractical for large-scale SHM datasets. To address these challenges, this work explores the use of self-supervised learning (SSL), an emerging paradigm that combines unsupervised pre-training and supervised fine-tuning. The SSL-based framework aims to learn from only a very small quantity of labeled data by fine-tuning, while making the best use of the vast amount of unlabeled SHM data by pre-training. Mainstream SSL methods are compared and validated on the SHM data of two in-service bridges. Comparative analysis demonstrates that SSL techniques boost data anomaly detection performance, achieving increased F1 scores compared to conventional supervised training, especially given a very limited amount of labeled data. This work manifests the effectiveness and superiority of SSL techniques on large-scale SHM data, providing an efficient tool for preliminary anomaly detection with scarce label information.




Abstract:Partial Differential Equations (PDEs) underpin many scientific phenomena, yet traditional computational approaches often struggle with complex, nonlinear systems and irregular geometries. This paper introduces the \textbf{AMG} method, a \textbf{M}ulti-\textbf{G}raph neural operator approach designed for efficiently solving PDEs on \textbf{A}rbitrary geometries. AMG leverages advanced graph-based techniques and dynamic attention mechanisms within a novel GraphFormer architecture, enabling precise management of diverse spatial domains and complex data interdependencies. By constructing multi-scale graphs to handle variable feature frequencies and a physics graph to encapsulate inherent physical properties, AMG significantly outperforms previous methods, which are typically limited to uniform grids. We present a comprehensive evaluation of AMG across six benchmarks, demonstrating its consistent superiority over existing state-of-the-art models. Our findings highlight the transformative potential of tailored graph neural operators in surmounting the challenges faced by conventional PDE solvers. Our code and datasets are available on \url{https://github.com/lizhihao2022/AMG}.




Abstract:Solving partial differential equations (PDEs) effectively necessitates a multi-scale approach, particularly critical in high-dimensional scenarios characterized by increasing grid points or resolution. Traditional methods often fail to capture the detailed features necessary for accurate modeling, presenting a significant challenge in scientific computing. In response, we introduce the Multiwavelet-based Algebraic Multigrid Neural Operator (M2NO), a novel deep learning framework that synergistically combines multiwavelet transformations and algebraic multigrid (AMG) techniques. By exploiting the inherent similarities between these two approaches, M2NO overcomes their individual limitations and enhances precision and flexibility across various PDE benchmarks. Employing Multiresolution Analysis (MRA) with high-pass and low-pass filters, the model executes hierarchical decomposition to accurately delineate both global trends and localized details within PDE solutions, supporting adaptive data representation at multiple scales. M2NO also automates node selection and adeptly manages complex boundary conditions through its multiwavelet-based operators. Extensive evaluations on a diverse array of PDE datasets with different boundary conditions confirm M2NO's superior performance. Furthermore, M2NO excels in handling high-resolution and super-resolution tasks, consistently outperforming competing models and demonstrating robust adaptability in complex computational scenarios.




Abstract:The intersection of physics and machine learning has given rise to a paradigm that we refer to here as physics-enhanced machine learning (PEML), aiming to improve the capabilities and reduce the individual shortcomings of data- or physics-only methods. In this paper, the spectrum of physics-enhanced machine learning methods, expressed across the defining axes of physics and data, is discussed by engaging in a comprehensive exploration of its characteristics, usage, and motivations. In doing so, this paper offers a survey of recent applications and developments of PEML techniques, revealing the potency of PEML in addressing complex challenges. We further demonstrate application of select such schemes on the simple working example of a single-degree-of-freedom Duffing oscillator, which allows to highlight the individual characteristics and motivations of different `genres' of PEML approaches. To promote collaboration and transparency, and to provide practical examples for the reader, the code of these working examples is provided alongside this paper. As a foundational contribution, this paper underscores the significance of PEML in pushing the boundaries of scientific and engineering research, underpinned by the synergy of physical insights and machine learning capabilities.




Abstract:Accurate structural response prediction forms a main driver for structural health monitoring and control applications. This often requires the proposed model to adequately capture the underlying dynamics of complex structural systems. In this work, we utilize a learnable Extended Kalman Filter (EKF), named the Neural Extended Kalman Filter (Neural EKF) throughout this paper, for learning the latent evolution dynamics of complex physical systems. The Neural EKF is a generalized version of the conventional EKF, where the modeling of process dynamics and sensory observations can be parameterized by neural networks, therefore learned by end-to-end training. The method is implemented under the variational inference framework with the EKF conducting inference from sensing measurements. Typically, conventional variational inference models are parameterized by neural networks independent of the latent dynamics models. This characteristic makes the inference and reconstruction accuracy weakly based on the dynamics models and renders the associated training inadequate. We here show how the structure imposed by the Neural EKF is beneficial to the learning process. We demonstrate the efficacy of the framework on both simulated and real-world monitoring datasets, with the results indicating significant predictive capabilities of the proposed scheme.




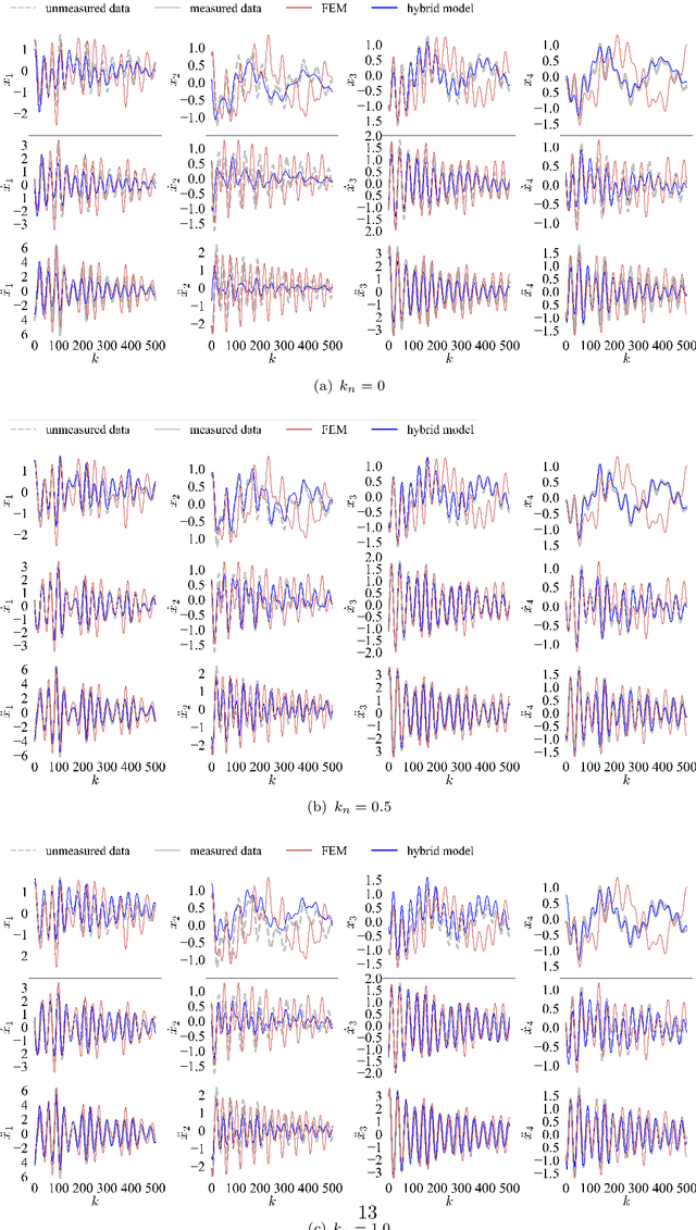
Abstract:The order/dimension of models derived on the basis of data is commonly restricted by the number of observations, or in the context of monitored systems, sensing nodes. This is particularly true for structural systems (e.g. civil or mechanical structures), which are typically high-dimensional in nature. In the scope of physics-informed machine learning, this paper proposes a framework - termed Neural Modal ODEs - to integrate physics-based modeling with deep learning (particularly, Neural Ordinary Differential Equations -- Neural ODEs) for modeling the dynamics of monitored and high-dimensional engineered systems. In this initiating exploration, we restrict ourselves to linear or mildly nonlinear systems. We propose an architecture that couples a dynamic version of variational autoencoders with physics-informed Neural ODEs (Pi-Neural ODEs). An encoder, as a part of the autoencoder, learns the abstract mappings from the first few items of observational data to the initial values of the latent variables, which drive the learning of embedded dynamics via physics-informed Neural ODEs, imposing a \textit{modal model} structure to that latent space. The decoder of the proposed model adopts the eigenmodes derived from an eigen-analysis applied to the linearized portion of a physics-based model: a process implicitly carrying the spatial relationship between degrees-of-freedom (DOFs). The framework is validated on a numerical example, and an experimental dataset of a scaled cable-stayed bridge, where the learned hybrid model is shown to outperform a purely physics-based approach to modeling. We further show the functionality of the proposed scheme within the context of virtual sensing, i.e., the recovery of generalized response quantities in unmeasured DOFs from spatially sparse data.




Abstract:In this paper, we propose a probabilistic physics-guided framework, termed Physics-guided Deep Markov Model (PgDMM). The framework is especially targeted to the inference of the characteristics and latent structure of nonlinear dynamical systems from measurement data, where it is typically intractable to perform exact inference of latent variables. A recently surfaced option pertains to leveraging variational inference to perform approximate inference. In such a scheme, transition and emission functions of the system are parameterized via feed-forward neural networks (deep generative models). However, due to the generalized and highly versatile formulation of neural network functions, the learned latent space is often prone to lack physical interpretation and structured representation. To address this, we bridge physics-based state space models with Deep Markov Models, thus delivering a hybrid modeling framework for unsupervised learning and identification for nonlinear dynamical systems. Specifically, the transition process can be modeled as a physics-based model enhanced with an additive neural network component, which aims to learn the discrepancy between the physics-based model and the actual dynamical system being monitored. The proposed framework takes advantage of the expressive power of deep learning, while retaining the driving physics of the dynamical system by imposing physics-driven restrictions on the side of the latent space. We demonstrate the benefits of such a fusion in terms of achieving improved performance on illustrative simulation examples and experimental case studies of nonlinear systems. Our results indicate that the physics-based models involved in the employed transition and emission functions essentially enforce a more structured and physically interpretable latent space, which is essential to generalization and prediction capabilities.