Abstract:Pilot pattern design over doubly dispersive channels has regained significant research interest, driven by emerging high-mobility applications in 5G-Advanced and 6G systems, as well as recent developments in Orthogonal Time Frequency Space (OTFS) modulation. This paper addresses the design of LMMSE-optimal pilot patterns for OFDM systems over doubly dispersive channels with finite time-frequency grids. We formulate the problem as A-optimal sensor selection and propose two heuristic algorithms, both combining an initialization stage with local swap refinement. The first employs convex relaxation with randomized rounding, while the second uses greedy selection. Simulations on practical resource block dimensions demonstrate that the proposed designs consistently outperform conventional rectangular and diamond lattice patterns.




Abstract:This paper presents a systematic analysis of inter-symbol and inter-carrier interference (ISCI) modeling in doubly dispersive channels for integrated sensing and communication (ISAC) systems. We propose a generalized OFDM (Weyl-Heisenberg) framework to evaluate four ISCI treatment approaches: (1) explicit estimation and compensation, (2) complete ignorance, (3) uncorrelated colored noise approximation, and (4) correlated colored noise modeling. Through continuous delay-Doppler channel characterization, we derive LMMSE channel estimators and corresponding estimation errors (as sensing metrics) for both pilot-assisted and fully-known symbol scenarios. The communication performance is quantified via ergodic capacity bounds under imperfect CSI. Our theoretical analysis and numerical results reveal fundamental performance-complexity trade-offs, providing insights for practical ISAC waveform and receiver design in doubly dispersive channels.
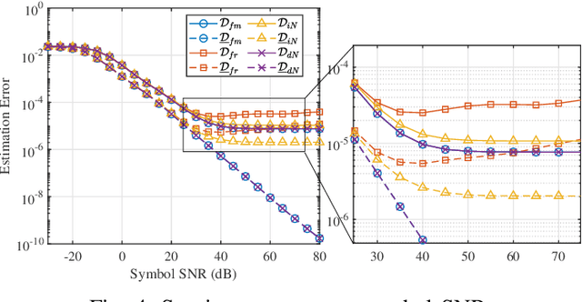
Abstract:This paper investigates the optimal pilot pattern design, in the linear minimum mean square error (LMMSE) estimator sense, for OFDM systems in doubly dispersive channels. To enable analytical tractability, the channel covariance matrix is decomposed into the Kronecker product of two Hermitian Toeplitz matrices corresponding to the delay and Doppler domains. By invoking the Szegö limit theorem, these matrices are shown to be approximately diagonalizable by discrete Fourier transform (DFT) matrices. Based on this structure, the LMMSE channel estimation error is reformulated into a compact analytical form, from which a closed-form lower bound is derived. Furthermore, we establish the condition under which this bound is achieved by a lattice-based pilot pattern. Numerical results verify that the proposed matrix approximation introduces negligible error and examples of the proposed lattice design are given.




Abstract:The ageing society brings attention to daily elderly care through sensing technologies. The future smart home is expected to enable in-home daily monitoring, such as fall detection, for seniors in a non-invasive, non-cooperative, and non-contact manner. The mmWave radar is a promising candidate technology for its privacy-preserving and non-contact manner. However, existing solutions suffer from low accuracy and robustness due to environment dependent features. In this paper, we present FADE (\underline{FA}ll \underline{DE}tection), a practical fall detection radar system with enhanced accuracy and robustness in real-world scenarios. The key enabler underlying FADE is an interacting multiple model (IMM) state estimator that can extract environment-independent features for highly accurate and instantaneous fall detection. Furthermore, we proposed a robust multiple-user tracking system to deal with noises from the environment and other human bodies. We deployed our algorithm on low computing power and low power consumption system-on-chip (SoC) composed of data front end, DSP, and ARM processor, and tested its performance in real-world. The experiment shows that the accuracy of fall detection is up to 95\%.