Abstract:Portrait animation from a single source image and a driving video is a long-standing problem. Recent approaches tend to adopt diffusion-based image/video generation models for realistic and expressive animation. However, none of these diffusion models realizes high-fidelity disentangled control between the head pose and facial expression, hindering applications like expression-only or pose-only editing and animation. To address this, we propose DeX-Portrait, a novel approach capable of generating expressive portrait animation driven by disentangled pose and expression signals. Specifically, we represent the pose as an explicit global transformation and the expression as an implicit latent code. First, we design a powerful motion trainer to learn both pose and expression encoders for extracting precise and decomposed driving signals. Then we propose to inject the pose transformation into the diffusion model through a dual-branch conditioning mechanism, and the expression latent through cross attention. Finally, we design a progressive hybrid classifier-free guidance for more faithful identity consistency. Experiments show that our method outperforms state-of-the-art baselines on both animation quality and disentangled controllability.




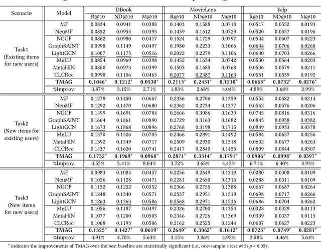
Abstract:The cold-start problem is a long-standing challenge in recommender systems due to the lack of user-item interactions, which significantly hurts the recommendation effect over new users and items. Recently, meta-learning based methods attempt to learn globally shared prior knowledge across all users, which can be rapidly adapted to new users and items with very few interactions. Though with significant performance improvement, the globally shared parameter may lead to local optimum. Besides, they are oblivious to the inherent information and feature interactions existing in the new users and items, which are critical in cold-start scenarios. In this paper, we propose a Task aligned Meta-learning based Augmented Graph (TMAG) to address cold-start recommendation. Specifically, a fine-grained task aligned constructor is proposed to cluster similar users and divide tasks for meta-learning, enabling consistent optimization direction. Besides, an augmented graph neural network with two graph enhanced approaches is designed to alleviate data sparsity and capture the high-order user-item interactions. We validate our approach on three real-world datasets in various cold-start scenarios, showing the superiority of TMAG over state-of-the-art methods for cold-start recommendation.




Abstract:In collaborative filtering, it is an important way to make full use of social information to improve the recommendation quality, which has been proved to be effective because user behavior will be affected by her friends. However, existing works leverage the social relationship to aggregate user features from friends' historical behavior sequences in a user-level indirect paradigm. A significant defect of the indirect paradigm is that it ignores the temporal relationships between behavior events across users. In this paper, we propose a novel time-aware sequential recommendation framework called Social Temporal Excitation Networks (STEN), which introduces temporal point processes to model the fine-grained impact of friends' behaviors on the user s dynamic interests in an event-level direct paradigm. Moreover, we propose to decompose the temporal effect in sequential recommendation into social mutual temporal effect and ego temporal effect. Specifically, we employ a social heterogeneous graph embedding layer to refine user representation via structural information. To enhance temporal information propagation, STEN directly extracts the fine-grained temporal mutual influence of friends' behaviors through the mutually exciting temporal network. Besides, the user s dynamic interests are captured through the self-exciting temporal network. Extensive experiments on three real-world datasets show that STEN outperforms state-of-the-art baseline methods. Moreover, STEN provides event-level recommendation explainability, which is also illustrated experimentally.