Abstract:Existing evaluation paradigms for Autonomous Vehicles (AVs) face critical limitations. Real-world evaluation is often challenging due to safety concerns and a lack of reproducibility, whereas closed-loop simulation can face insufficient realism or high computational costs. Open-loop evaluation, while being efficient and data-driven, relies on metrics that generally overlook compounding errors. In this paper, we propose pseudo-simulation, a novel paradigm that addresses these limitations. Pseudo-simulation operates on real datasets, similar to open-loop evaluation, but augments them with synthetic observations generated prior to evaluation using 3D Gaussian Splatting. Our key idea is to approximate potential future states the AV might encounter by generating a diverse set of observations that vary in position, heading, and speed. Our method then assigns a higher importance to synthetic observations that best match the AV's likely behavior using a novel proximity-based weighting scheme. This enables evaluating error recovery and the mitigation of causal confusion, as in closed-loop benchmarks, without requiring sequential interactive simulation. We show that pseudo-simulation is better correlated with closed-loop simulations (R^2=0.8) than the best existing open-loop approach (R^2=0.7). We also establish a public leaderboard for the community to benchmark new methodologies with pseudo-simulation. Our code is available at https://github.com/autonomousvision/navsim.





Abstract:Multi-agent collaboration involves multiple participants working together in a shared environment to achieve a common goal. These agents share information, divide tasks, and synchronize their actions. Key aspects of multi agent collaboration include coordination, communication, task allocation, cooperation, adaptation, and decentralization. On construction sites, surface grading is the process of leveling sand piles to increase a specific area's height. In this scenario, a bulldozer grades while a dumper allocates sand piles. Our work aims to utilize a multi-agent approach to enable these vehicles to collaborate effectively. To this end, we propose a decentralized and asymmetric multi-agent learning approach for construction sites (DAMALCS). We formulate DAMALCS to reduce expected collisions for operating vehicles. Therefore, we develop two heuristic experts capable of achieving their joint goal optimally by applying an innovative prioritization method. In this approach, the bulldozer's movements take precedence over the dumper's operations, enabling the bulldozer to clear the path for the dumper and ensure continuous operation of both vehicles. Since heuristics alone are insufficient in real-world scenarios, we utilize them to train AI agents, which proves to be highly effective. We simultaneously train the bulldozer and dumper agents to operate within the same environment, aiming to avoid collisions and optimize performance in terms of time efficiency and sand volume handling. Our trained agents and heuristics are evaluated in both simulation and real-world lab experiments, testing them under various conditions, such as visual noise and localization errors. The results demonstrate that our approach significantly reduces collision rates for these vehicles.





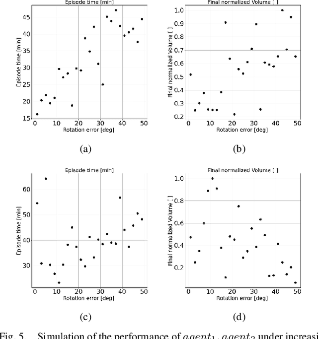
Abstract:Surface grading, the process of leveling an uneven area containing pre-dumped sand piles, is an important task in the construction site pipeline. This labour-intensive process is often carried out by a dozer, a key machinery tool at any construction site. Current attempts to automate surface grading assume perfect localization. However, in real-world scenarios, this assumption fails, as agents are presented with imperfect perception, which leads to degraded performance. In this work, we address the problem of autonomous grading under uncertainties. First, we implement a simulation and a scaled real-world prototype environment to enable rapid policy exploration and evaluation in this setting. Second, we formalize the problem as a partially observable markov decision process and train an agent capable of handling such uncertainties. We show, through rigorous experiments, that an agent trained under perfect localization will suffer degraded performance when presented with localization uncertainties. However, an agent trained using our method will develop a more robust policy for addressing such errors and, consequently, exhibit a better grading performance.





Abstract:Object manipulation in cluttered scenes is a difficult and important problem in robotics. To efficiently manipulate objects, it is crucial to understand their surroundings, especially in cases where multiple objects are stacked one on top of the other, preventing effective grasping. We here present DUQIM-Net, a decision-making approach for object manipulation in a setting of stacked objects. In DUQIM-Net, the hierarchical stacking relationship is assessed using Adj-Net, a model that leverages existing Transformer Encoder-Decoder object detectors by adding an adjacency head. The output of this head probabilistically infers the underlying hierarchical structure of the objects in the scene. We utilize the properties of the adjacency matrix in DUQIM-Net to perform decision making and assist with object-grasping tasks. Our experimental results show that Adj-Net surpasses the state-of-the-art in object-relationship inference on the Visual Manipulation Relationship Dataset (VMRD), and that DUQIM-Net outperforms comparable approaches in bin clearing tasks.





Abstract:In this work, we aim to tackle the problem of autonomous grading, where a dozer is required to flatten an uneven area. In addition, we explore methods for bridging the gap between a simulated environment and real scenarios. We design both a realistic physical simulation and a scaled real prototype environment mimicking the real dozer dynamics and sensory information. We establish heuristics and learning strategies in order to solve the problem. Through extensive experimentation, we show that although heuristics are capable of tackling the problem in a clean and noise-free simulated environment, they fail catastrophically when facing real world scenarios. As the heuristics are capable of successfully solving the task in the simulated environment, we show they can be leveraged to guide a learning agent which can generalize and solve the task both in simulation and in a scaled prototype environment.





Abstract:In this work, we establish heuristics and learning strategies for the autonomous control of a dozer grading an uneven area studded with sand piles. We formalize the problem as a Markov Decision Process, design a simulation which demonstrates agent-environment interactions and finally compare our simulator to a real dozer prototype. We use methods from reinforcement learning, behavior cloning and contrastive learning to train a hybrid policy. Our trained agent, AGPNet, reaches human-level performance and outperforms current state-of-the-art machine learning methods for the autonomous grading task. In addition, our agent is capable of generalizing from random scenarios to unseen real world problems.





Abstract:We introduce BIDCD - the Bosch Industrial Depth Completion Dataset. BIDCD is a new RGBD dataset of metallic industrial objects, collected with a depth camera mounted on a robotic manipulator. The main purpose of this dataset is to facilitate the training of domain-specific depth completion models, to be used in logistics and manufacturing tasks. We trained a State-of-the-Art depth completion model on this dataset, and report the results, setting an initial benchmark.





Abstract:This work offers a new method for generating photo-realistic images from semantic label maps and a simulator edge map images. We do so in a conditional manner, where we train a Generative Adversarial network (GAN) given an image and its semantic label map to output a photo-realistic version of that scene. Existing architectures of GANs still lack the photo-realism capabilities. We address this issue by embedding edge maps, and presenting the Generator with an edge map image as a prior, which enables generating high level details in the image. We offer a model that uses this generator to create visually appealing videos as well, when a sequence of images is given.
