



Abstract:Point clouds, a prominent method of 3D representation, are extensively utilized across industries such as autonomous driving, surveying, electricity, architecture, and gaming, and have been rigorously investigated for their accuracy and resilience. The extraction of semantic information from scenes enhances both human understanding and machine perception. By integrating semantic information from two-dimensional scenes with three-dimensional point clouds, researchers aim to improve the precision and efficiency of various tasks. This paper provides a comprehensive review of the diverse applications and recent advancements in the integration of semantic information within point clouds. We explore the dual roles of semantic information in point clouds, encompassing both implicit guidance and explicit representation, across traditional and emerging tasks. Additionally, we offer a comparative analysis of publicly available datasets tailored to specific tasks and present notable observations. In conclusion, we discuss several challenges and potential issues that may arise in the future when fully utilizing semantic information in point clouds, providing our perspectives on these obstacles. The classified and organized articles related to semantic based point cloud tasks, and continuously followed up on relevant achievements in different fields, which can be accessed through https://github.com/Jasmine-tjy/Semantic-based-Point-Cloud-Tasks.




Abstract:As an emerging antenna technology, a fluid antenna system (FAS) enhances spatial diversity to improve both sensing and communication performance by shifting the active antennas among available ports. In this letter, we study the potential of shifting the integrated sensing and communication (ISAC) trade-off with FAS. We propose the model for FAS-enabled ISAC and jointly optimize the transmit beamforming and port selection of FAS. In particular, we aim to minimize the transmit power, while satisfying both communication and sensing requirements. An efficient iterative algorithm based on sparse optimization, convex approximation, and a penalty approach is developed. The simulation results show that the proposed scheme can attain 33% reductions in transmit power with guaranteed sensing and communication performance, showing the great potential of the fluid antenna for striking a flexible tradeoff between sensing and communication in ISAC systems.



Abstract:Integrated sensing and communications (ISAC) systems employ dual-functional signals to simultaneously accomplish radar sensing and wireless communication tasks. However, ISAC systems open up new sensing security vulnerabilities to malicious illegitimate eavesdroppers (Eves) that can also exploit the transmitted waveform to extract sensing information from the environment. In this paper, we investigate the beamforming design to enhance the sensing security of an ISAC system, where the communication user (CU) serves as a sensing Eve. Our objective is to maximize the mutual information (MI) for the legitimate radar sensing receiver while considering the constraint of the MI for the Eve and the quality of service to the CUs. Then, we consider the artificial noise (AN)-aided beamforming to further enhance the sensing security. Simulation results demonstrate that our proposed methods achieve MI improvement of the legitimate receiver while limiting the sensing MI of the Eve, compared with the baseline scheme, and that the utilization of AN further contributes to sensing security.




Abstract:In this paper, we investigate the design of energy-efficient beamforming for an ISAC system, where the transmitted waveform is optimized for joint multi-user communication and target estimation simultaneously. We aim to maximize the system energy efficiency (EE), taking into account the constraints of a maximum transmit power budget, a minimum required signal-to-interference-plus-noise ratio (SINR) for communication, and a maximum tolerable Cramer-Rao bound (CRB) for target estimation. We first consider communication-centric EE maximization. To handle the non-convex fractional objective function, we propose an iterative quadratic-transform-Dinkelbach method, where Schur complement and semi-definite relaxation (SDR) techniques are leveraged to solve the subproblem in each iteration. For the scenarios where sensing is critical, we propose a novel performance metric for characterizing the sensing-centric EE and optimize the metric adopted in the scenario of sensing a point-like target and an extended target. To handle the nonconvexity, we employ the successive convex approximation (SCA) technique to develop an efficient algorithm for approximating the nonconvex problem as a sequence of convex ones. Furthermore, we adopt a Pareto optimization mechanism to articulate the tradeoff between the communication-centric EE and sensing-centric EE. We formulate the search of the Pareto boundary as a constrained optimization problem and propose a computationally efficient algorithm to handle it. Numerical results validate the effectiveness of our proposed algorithms compared with the baseline schemes and the obtained approximate Pareto boundary shows that there is a non-trivial tradeoff between communication-centric EE and sensing-centric EE, where the number of communication users and EE requirements have serious effects on the achievable tradeoff.
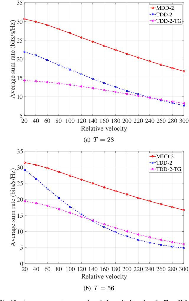
Abstract:A multicarrier-division duplex (MDD)-based cell-free (CF) scheme, namely MDD-CF, is proposed, which enables downlink (DL) data and uplink (UL) data or pilots to be concurrently transmitted on mutually orthogonal subcarriers in distributed CF massive MIMO (mMIMO) systems. To demonstrate the advantages of MDD-CF, we firstly study the spectral-efficiency (SE) performance in terms of one coherence interval (CT) associated with access point (AP)-selection, power- and subcarrier-allocation. Since the formulated SE optimization is a mixed-integer non-convex problem that is NP-hard to solve, we leverage the inherent association between involved variables to transform it into a continuous-integer convex-concave problem. Then, a quadratic transform (QT)-assisted iterative algorithm is proposed to achieve SE maximization. Next, we extend our study to the case of one radio frame consisting of several CT intervals. In this regard, a novel two-phase CT interval (TPCT) scheme is designed to not only improve the SE in radio frame but also provide consistent data transmissions over fast time-varying channels. Correspondingly, to facilitate the optimization, we propose a two-step iterative algorithm by building the connections between two phases in TPCT through an iteration factor. Simulation results show that, MDD-CF can significantly outperform in-band full duplex (IBFD)-CF due to the efficient interference management. Furthermore, compared with time-division duplex (TDD)-CF, MDD-CF is more robust to high-mobility scenarios and achieves better SE performance.




Abstract:The separation of training and data transmission as well as the frequent uplink/downlink (UL/DL) switching make time-division duplex (TDD)-based massive multiple-input multiple-output (mMIMO) systems less competent in fast time-varying scenarios due to the resulted severe channel aging. To this end, a multicarrier-division duplex (MDD) mMIMO scheme associated with two types of well-designed frame structures are introduced for combating channel aging when communicating over fast time-varying channels. To compare with TDD, the corresponding frame structures related to 3GPP standards and their variant forms are presented. The MDD-specific general Wiener predictor and decision-directed Wiener predictor are introduced to predict the channel state information, respectively, in the time domain based on UL pilots and in the frequency domain based on the detected UL data, considering the impact of residual self-interference (SI). Moreover, by applying the zero-forcing precoding and maximum ratio combining, the closed-form approximations for the lower bounded rate achieved by TDD and MDD systems over time-varying channels are derived. Our main conclusion from this study is that the MDD, endowed with the capability of full-duplex but less demand on SI cancellation than in-band full-duplex (IBFD), outperforms both the conventional TDD and IBFD in combating channel aging.




Abstract:In-band full duplex-based cell-free (IBFD-CF) systems suffer from severe interference problem including self-interference (SI) and cross-link interference (CLI), especially when cell-free (CF) systems are operated in a distributed way. To this end, we propose multicarrier-division duplex (MDD) as an enabler for full-duplex (FD)-style operation in distributed CF massive MIMO systems, where DL and UL transmissions take place simultaneously at the same frequency band but mutually orthogonal subcarrier sets. In order to maximize the spectral efficiency (SE) in the proposed systems, we present heterogeneous graph neural network specific for CF systems (CF-HGNN), which consists of an adaptive node embedding layer, meta-path based message passing, meta-path based attention and downstream power allocation learning. In particular, the adaptive node embedding layer can handle the varying number of access points (APs), mobile stations (MSs) and subcarriers, and the involved attention mechanism enables each AP/MS node in CF-HGNN to aggregate the information from interfering path and communication path with different priorities. Numerical results show that CF-HGNN is capable of using $10^4$ times less operation time to achieve the 99% performance of the SE of quadratic transform and successive convex approximation (QT-SCA). Additionally, CF-HGNN also significantly outperforms unfair greedy method in terms of SE performance. Furthermore, CF-HGNN exhibits good adaptivity to varying number of nodes and subcarriers, and also generalization ability to different sizes of CF network.