



Abstract:Millimeter-wave (mmWave) positioning has emerged as a promising technology for next-generation intelligent systems. The advent of reconfigurable intelligent surfaces (RISs) has revolutionized high-precision mmWave localization by enabling dynamic manipulation of wireless propagation environments. This paper investigates a three-dimensional (3D) multi-input single-output (MISO) mmWave positioning system assisted by multiple RISs. We introduce a measurement framework incorporating sequential RIS activation and directional beamforming to fully exploit virtual line-of-sight (VLoS) paths. The theoretical performance limits are rigorously analyzed through derivation of the Fisher information and subsequent positioning error bound (PEB). To minimize the PEB, two distinct optimization approaches are proposed for continuous and discrete phase shift configurations of RISs. For continuous phase shifts, a Riemannian manifold-based optimization algorithm is proposed. For discrete phase shifts, a heuristic algorithm incorporating the grey wolf optimizer is proposed. Extensive numerical simulations demonstrate the effectiveness of the proposed algorithms in reducing the PEB and validate the improvement in positioning accuracy achieved by multiple RISs.
Abstract:The advancement of advanced air mobility (AAM) in recent years has given rise to the concept of low-altitude economy (LAE). However, the diverse flight activities associated with the emerging LAE applications in urban scenarios confront complex physical environments, which urgently necessitates ubiquitous and reliable communication to guarantee the operation safety of the low-altitude aircraft. As one of promising technologies for the sixth generation (6G) mobile networks, channel knowledge map (CKM) enables the environment-aware communication by constructing a site-specific dataset, thereby providing a priori on-site information for the aircraft to obtain the channel state information (CSI) at arbitrary locations with much reduced online overhead. Diverse base station (BS) deployments in the three-dimensional (3D) urban low-altitude environment require efficient 3D CKM construction to capture spatial channel characteristics with less overhead. Towards this end, this paper proposes a 3D channel gain map (CGM) inference method based on a 3D conditional generative adversarial network (3D-CGAN). Specifically, we first analyze the potential deployment types of BSs in urban low-altitude scenario, and investigate the CGM representation with the corresponding 3D channel gain model. The framework of the proposed 3D-CGAN is then discussed, which is trained by a dataset consisting of existing CGMs. Consequently, the trained 3D-CGAN is capable of inferring the corresponding CGM only based on the BS coordinate without additional measurement. The simulation results demonstrate that the CGMs inferred by the proposed 3D-CGAN outperform those of the benchmark schemes, which can accurately reflect the radio propagation condition in 3D environment.
Abstract:For the 6G wireless networks, achieving high-performance integrated localization and communication (ILAC) is critical to unlock the full potential of wireless networks. To simultaneously enhance localization and communication performance cost-effectively, this paper proposes sparse multiple-input multiple-output (MIMO) based ILAC with nested and co-prime sparse arrays deployed at the base station. Sparse MIMO relaxes the traditional half-wavelength antenna spacing constraint to enlarge the antenna aperture, thus enhancing localization degrees of freedom and providing finer spatial resolution. However, it also leads to undesired grating lobes, which may cause severe inter-user interference for communication and angular ambiguity for localization. While the latter issue can be effectively addressed by the virtual array technology, by forming sum or difference co-arrays via signal (conjugate) correlation among array elements, it is unclear whether the similar virtual array technology also benefits wireless communications for ILAC systems. In this paper, we first reveal that the answer to the above question is negative, by showing that forming virtual arrays for wireless communication will cause destruction of phase information, degradation of signal-to-noise ratio and aggravation of multi-user interference. Therefore, we propose the hybrid processing for sparse MIMO based ILAC, i.e., physical array based communication while virtual array based localization. To this end, we characterize the beam pattern of sparse arrays by three metrics, demonstrating that despite of the introduction of grating lobes, sparse arrays can also bring benefits to communications thanks to its narrower main lobe beam width than the conventional compact arrays. Extensive simulation results are presented to demonstrate the performance gains of sparse MIMO based ILAC over that based on the conventional compact MIMO.




Abstract:Recently, unmanned aerial vehicle (UAV)-enabled integrated sensing and communication (ISAC) is emerging as a promising technique for achieving robust and rapid emergency response capabilities. Such a novel framework offers high-quality and cost-efficient C\&S services due to the intrinsic flexibility and mobility of UAVs. In parallel, rate-splitting multiple access (RSMA) is able to achieve a tailor-made communication by splitting the messages into private and common parts with adjustable rates, making it suitable for on-demand data transmission in disaster scenarios. In this paper, we propose a coordinated RSMA for integrated sensing and communication (CoRSMA-ISAC) scheme in emergency UAV system to facilitate search and rescue operations, where a number of ISAC UAVs simultaneously communicate with multiple communication survivors (CSs) and detect a potentially trapped survivor (TS) in a coordinated manner. Towards this end, an optimization problem is formulated to maximize the weighted sum rate (WSR) of the system, subject to the sensing signal-to-noise ratio (SNR) requirement. In order to solve the formulated non-convex problem, we first decompose it into three subproblems, i.e., UAV-CS association, UAV deployment, as well as beamforming optimization and rate allocation. Subsequently, we introduce an iterative optimization approach leveraging K-Means, successive convex approximation (SCA), and semi-definite relaxation (SDR) algorithms to reframe the subproblems into a more tractable form and efficiently solve them. Simulation results demonstrate that the proposed CoRSMA-ISAC scheme is superior to conventional space division multiple access (SDMA), non-orthogonal multiple access (NOMA), and orthogonal multiple access (OMA) in terms of both communication and sensing performance.
Abstract:Cell-free wireless communication is envisioned as one of the most promising network architectures, which can achieve stable and uniform communication performance while improving the system energy and spectrum efficiency. The deployment of cell-free networks is envisioned to be a longterm evolutionary process, in which cell-free access points (APs) will be gradually introduced into the communication network and collaborate with the existing cellular base stations (BSs). To further explore the performance limits of hybrid cellular and cell-free networks, this paper develops a hybrid network model based on stochastic geometric toolkits, which reveals the coupling of the signal and interference from both the cellular and cell-free networks. Specifically, the conjugate beamforming is applied in hybrid cellular and cell-free networks, which enables user equipment (UE) to benefit from both cellular BSs and cell-free APs. The aggregate signal received from the hybrid network is approximated via moment matching, and coverage probability is characterized by deriving the Laplace transform of the interference. The analysis of signal strength and coverage probability is verified by extensive simulations.
Abstract:In this paper, we consider an unmanned aerial vehicle (UAV)-enabled emergency communication system, which establishes temporary communication link with users equipment (UEs) in a typical disaster environment with mountainous forest and obstacles. Towards this end, a joint deployment, power allocation, and user association optimization problem is formulated to maximize the total transmission rate, while considering the demand of each UE and the disaster environment characteristics. Then, an alternating optimization algorithm is proposed by integrating coalition game and virtual force approach which captures the impact of the demand priority of UEs and the obstacles to the flight path and consumed power. Simulation results demonstrate that the computation time consumed by our proposed algorithm is only $5.6\%$ of the traditional heuristic algorithms, which validates its effectiveness in disaster scenarios.
Abstract:UAV-assisted integrated sensing and communication (ISAC) network is crucial for post-disaster emergency rescue. The speed of UAV deployment will directly impact rescue results. However, the ISAC UAV deployment in emergency scenarios is difficult to solve, which contradicts the rapid deployment. In this paper, we propose a two-stage deployment framework to achieve rapid ISAC UAV deployment in emergency scenarios, which consists of an offline stage and an online stage. Specifically, in the offline stage, we first formulate the ISAC UAV deployment problem and define the ISAC utility as the objective function, which integrates communication rate and localization accuracy. Secondly, we develop a dynamic particle swarm optimization (DPSO) algorithm to construct an optimized UAV deployment dataset. Finally, we train a convolutional neural network (CNN) model with this dataset, which replaces the time-consuming DPSO algorithm. In the online stage, the trained CNN model can be used to make quick decisions for the ISAC UAV deployment. The simulation results indicate that the trained CNN model achieves superior ISAC performance compared to the classic particle swarm optimization algorithm. Additionally, it significantly reduces the deployment time by more than 96%.




Abstract:Cell-free massive MIMO and symbiotic radio communication have been recently proposed as the promising beyond fifth-generation (B5G) networking architecture and transmission technology, respectively. To reap the benefits of both, this paper studies cell-free symbiotic radio communication systems, where a number of cell-free access points (APs) cooperatively send primary information to a receiver, and simultaneously support the passive backscattering communication of the secondary backscatter device (BD). We first derive the achievable communication rates of the active primary user and passive secondary user under the assumption of perfect channel state information (CSI), based on which the transmit beamforming of the cellfree APs is optimized to characterize the achievable rate-region of cell-free symbiotic communication systems. Furthermore, to practically acquire the CSI of the active and passive channels, we propose an efficient channel estimation method based on two-phase uplink-training, and the achievable rate-region taking into account CSI estimation errors are further characterized. Simulation results are provided to show the effectiveness of our proposed beamforming and channel estimation methods.




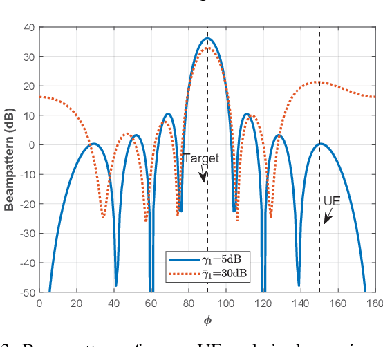
Abstract:The sixth generation (6G) mobile communication networks are expected to offer a new paradigm of cellular integrated sensing and communication (ISAC). However, due to the intrinsic difference between sensing and communication in terms of coverage requirement, current cellular networks that are deliberately planned mainly for communication coverage are difficult to achieve seamless sensing coverage. To address this issue, this paper studies the beamforming optimization towards seamless sensing coverage for a basic bi-static ISAC system, while ensuring that the communication requirements of multiple users equipment (UEs) are satisfied. Towards this end, an optimization problem is formulated to maximize the worst-case sensing signal-to-noise ratio (SNR) in a prescribed coverage region, subject to the signal-to-interference-plus-noise ratio (SINR) requirement for each UE. To gain some insights, we first investigate the special case with one single UE and one single sensing point, for which a closed-from expression of the optimal beamforming is obtained. For the general case with multiple communication UEs and contiguous regional sensing coverage, an efficient algorithm based on successive convex approximation (SCA) is proposed to solve the non-convex beamforming optimization problem. Numerical results demonstrate that the proposed design is able to achieve seamless sensing coverage in the prescribed region, while guaranteeing the communication requirements of the UEs.



Abstract:Cell-free massive MIMO and symbiotic radio are promising beyond 5G (B5G) networking architecture and transmission technology, respectively. This paper studies cell-free symbiotic radio systems, where a number of distributed access points (APs) cooperatively send primary information to a receiver, and simultaneously support the backscattering communication of the secondary backscatter device (BD). An efficient two-phase uplink-training based channel estimation method is proposed to estimate the direct-link channel and cascaded backscatter channel, and the achievable primary and secondary communication rates taking into account the channel estimation errors are derived. Furthermore, to achieve a flexible trade-off between the primary and secondary communication rates, we propose a low-complexity weighted-maximal-ratio transmission (weighted-MRT) beamforming scheme, which only requires local processing at each AP without having to exchange the estimated channel state information. Simulation results are provided to show the impact of the channel training lengths on the performance of the cell-free symbiotic radio systems.