Abstract:Variational inference is a fast and scalable alternative to Markov chain Monte Carlo and has been widely applied to posterior inference tasks in statistics and machine learning. A traditional approach for implementing mean-field variational inference (MFVI) is coordinate ascent variational inference (CAVI), which relies crucially on parametric assumptions on complete conditionals. In this paper, we introduce a novel particle-based algorithm for mean-field variational inference, which we term PArticle VI (PAVI). Notably, our algorithm does not rely on parametric assumptions on complete conditionals, and it applies to the nonparametric setting. We provide non-asymptotic finite-particle convergence guarantee for our algorithm. To our knowledge, this is the first end-to-end guarantee for particle-based MFVI.


Abstract:In this paper, we establish a novel connection between the metric entropy growth and the embeddability of function spaces into reproducing kernel Hilbert/Banach spaces. Metric entropy characterizes the information complexity of function spaces and has implications for their approximability and learnability. Classical results show that embedding a function space into a reproducing kernel Hilbert space (RKHS) implies a bound on its metric entropy growth. Surprisingly, we prove a \textbf{converse}: a bound on the metric entropy growth of a function space allows its embedding to a $L_p-$type Reproducing Kernel Banach Space (RKBS). This shows that the ${L}_p-$type RKBS provides a broad modeling framework for learnable function classes with controlled metric entropies. Our results shed new light on the power and limitations of kernel methods for learning complex function spaces.


Abstract:In this paper, we establish a novel connection between the metric entropy growth and the embeddability of function spaces into reproducing kernel Hilbert/Banach spaces. Metric entropy characterizes the information complexity of function spaces and has implications for their approximability and learnability. Classical results show that embedding a function space into a reproducing kernel Hilbert space (RKHS) implies a bound on its metric entropy growth. Surprisingly, we prove a \textbf{converse}: a bound on the metric entropy growth of a function space allows its embedding to a $\mathcal{L}_p-$type Reproducing Kernel Banach Space (RKBS). This shows that the $\mathcal{L}_p-$type RKBS provides a broad modeling framework for learnable function classes with controlled metric entropies. Our results shed new light on the power and limitations of kernel methods for learning complex function spaces.





Abstract:All physical laws are described as relationships between state variables that give a complete and non-redundant description of the relevant system dynamics. However, despite the prevalence of computing power and AI, the process of identifying the hidden state variables themselves has resisted automation. Most data-driven methods for modeling physical phenomena still assume that observed data streams already correspond to relevant state variables. A key challenge is to identify the possible sets of state variables from scratch, given only high-dimensional observational data. Here we propose a new principle for determining how many state variables an observed system is likely to have, and what these variables might be, directly from video streams. We demonstrate the effectiveness of this approach using video recordings of a variety of physical dynamical systems, ranging from elastic double pendulums to fire flames. Without any prior knowledge of the underlying physics, our algorithm discovers the intrinsic dimension of the observed dynamics and identifies candidate sets of state variables. We suggest that this approach could help catalyze the understanding, prediction and control of increasingly complex systems. Project website is at: https://www.cs.columbia.edu/~bchen/neural-state-variables





Abstract:Traffic state estimation (TSE) bifurcates into two main categories, model-driven and data-driven (e.g., machine learning, ML) approaches, while each suffers from either deficient physics or small data. To mitigate these limitations, recent studies introduced hybrid methods, such as physics-informed deep learning (PIDL), which contains both model-driven and data-driven components. This paper contributes an improved paradigm, called physics-informed deep learning with a fundamental diagram learner (PIDL+FDL), which integrates ML terms into the model-driven component to learn a functional form of a fundamental diagram (FD), i.e., a mapping from traffic density to flow or velocity. The proposed PIDL+FDL has the advantages of performing the TSE learning, model parameter discovery, and FD discovery simultaneously. This paper focuses on highway TSE with observed data from loop detectors, using traffic density or velocity as traffic variables. We demonstrate the use of PIDL+FDL to solve popular first-order and second-order traffic flow models and reconstruct the FD relation as well as model parameters that are outside the FD term. We then evaluate the PIDL+FDL-based TSE using the Next Generation SIMulation (NGSIM) dataset. The experimental results show the superiority of the PIDL+FDL in terms of improved estimation accuracy and data efficiency over advanced baseline TSE methods, and additionally, the capacity to properly learn the unknown underlying FD relation.





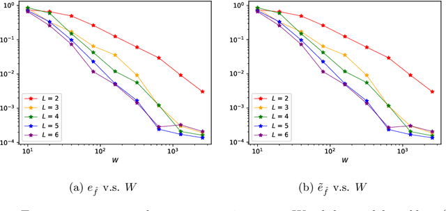
Abstract:Identifying hidden dynamics from observed data is a significant and challenging task in a wide range of applications. Recently, the combination of linear multistep methods (LMMs) and deep learning has been successfully employed to discover dynamics, whereas a complete convergence analysis of this approach is still under development. In this work, we consider the deep network-based LMMs for the discovery of dynamics. We put forward error estimates for these methods using the approximation property of deep networks. It indicates, for certain families of LMMs, that the $\ell^2$ grid error is bounded by the sum of $O(h^p)$ and the network approximation error, where $h$ is the time step size and $p$ is the local truncation error order. Numerical results of several physically relevant examples are provided to demonstrate our theory.





Abstract:Traffic state estimation (TSE), which reconstructs the traffic variables (e.g., density) on road segments using partially observed data, plays an important role on efficient traffic control and operation that intelligent transportation systems (ITS) need to provide to people. Over decades, TSE approaches bifurcate into two main categories, model-driven approaches and data-driven approaches. However, each of them has limitations: the former highly relies on existing physical traffic flow models, such as Lighthill-Whitham-Richards (LWR) models, which may only capture limited dynamics of real-world traffic, resulting in low-quality estimation, while the latter requires massive data in order to perform accurate and generalizable estimation. To mitigate the limitations, this paper introduces a physics-informed deep learning (PIDL) framework to efficiently conduct high-quality TSE with small amounts of observed data. PIDL contains both model-driven and data-driven components, making possible the integration of the strong points of both approaches while overcoming the shortcomings of either. This paper focuses on highway TSE with observed data from loop detectors, using traffic density as the traffic variables. We demonstrate the use of PIDL to solve (with data from loop detectors) two popular physical traffic flow models, i.e., Greenshields-based LWR and three-parameter-based LWR, and discover the model parameters. We then evaluate the PIDL-based highway TSE using the Next Generation SIMulation (NGSIM) dataset. The experimental results show the advantages of the PIDL-based approach in terms of estimation accuracy and data efficiency over advanced baseline TSE methods.





Abstract:The evaluation of constitutive models, especially for high-risk and high-regret engineering applications, requires efficient and rigorous third-party calibration, validation and falsification. While there are numerous efforts to develop paradigms and standard procedures to validate models, difficulties may arise due to the sequential, manual and often biased nature of the commonly adopted calibration and validation processes, thus slowing down data collections, hampering the progress towards discovering new physics, increasing expenses and possibly leading to misinterpretations of the credibility and application ranges of proposed models. This work attempts to introduce concepts from game theory and machine learning techniques to overcome many of these existing difficulties. We introduce an automated meta-modeling game where two competing AI agents systematically generate experimental data to calibrate a given constitutive model and to explore its weakness, in order to improve experiment design and model robustness through competition. The two agents automatically search for the Nash equilibrium of the meta-modeling game in an adversarial reinforcement learning framework without human intervention. By capturing all possible design options of the laboratory experiments into a single decision tree, we recast the design of experiments as a game of combinatorial moves that can be resolved through deep reinforcement learning by the two competing players. Our adversarial framework emulates idealized scientific collaborations and competitions among researchers to achieve a better understanding of the application range of the learned material laws and prevent misinterpretations caused by conventional AI-based third-party validation.





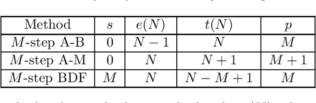
Abstract:Linear multistep methods (LMMs) are popular time discretization techniques for the numerical solution of differential equations. Traditionally they are applied to solve for the state given the dynamics (the forward problem), but here we consider their application for learning the dynamics given the state (the inverse problem). This repurposing of LMMs is largely motivated by growing interest in data-driven modeling of dynamics, but the behavior and analysis of LMMs for discovery turn out to be significantly different from the well-known, existing theory for the forward problem. Assuming the highly idealized setting of being given the exact state, we establish for the first time a rigorous framework based on refined notions of consistency and stability to yield convergence using LMMs for discovery. When applying these concepts to three popular M-step LMMs, the Adams-Bashforth, Adams-Moulton, and Backwards Differentiation Formula schemes, the new theory suggests that Adams-Bashforth for $1 \leq M \leq 6$, Adams-Moulton for $M=0$ and $M=1$, and Backwards Differentiation Formula for $M \in \mathbb{N}$ are convergent, and, otherwise, the methods are not convergent in general. In addition, we provide numerical experiments to both motivate and substantiate our theoretical analysis.





Abstract:We introduce a multi-agent meta-modeling game to generate data, knowledge, and models that make predictions on constitutive responses of elasto-plastic materials. We introduce a new concept from graph theory where a modeler agent is tasked with evaluating all the modeling options recast as a directed multigraph and find the optimal path that links the source of the directed graph (e.g. strain history) to the target (e.g. stress) measured by an objective function. Meanwhile, the data agent, which is tasked with generating data from real or virtual experiments (e.g. molecular dynamics, discrete element simulations), interacts with the modeling agent sequentially and uses reinforcement learning to design new experiments to optimize the prediction capacity. Consequently, this treatment enables us to emulate an idealized scientific collaboration as selections of the optimal choices in a decision tree search done automatically via deep reinforcement learning.
