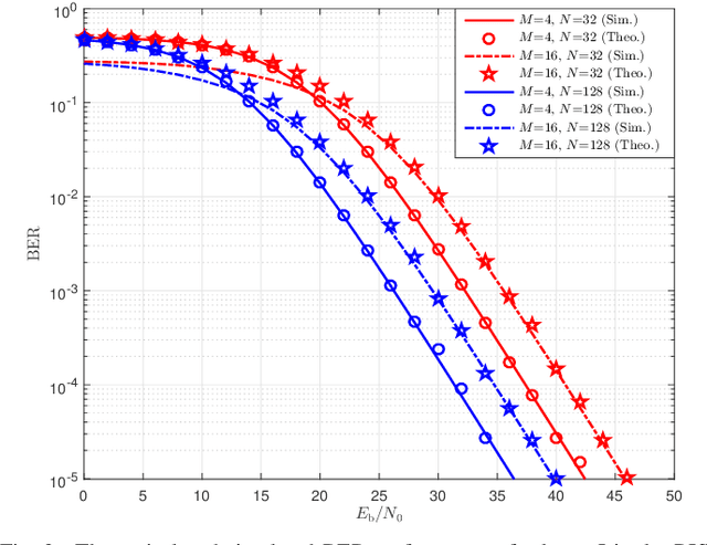
Abstract:LoRa is a widely recognized modulation technology in the field of low power wide area networks (LPWANs). However, the data rate of LoRa is too low to satisfy the requirements in the context of modern Internet of Things (IoT) applications. To address this issue, we propose a novel high-data-rate LoRa scheme based on the spreading factor index (SFI). In the proposed SFI-LoRa scheme, the starting frequency bin (SFB) of chirp signals is used to transmit information bits, while the combinations of spreading factors (SFs) are exploited as a set of indices to convey additional information bits. Moreover, theoretical expressions for the symbol error rate (SER) and throughput of the proposed SFI-LoRa scheme are derived over additive white Gaussian noise (AWGN) and Rayleigh fading channels. Simulation results not only verify the accuracy of the theoretical analysis, but also demonstrate that the proposed SFI-LoRa scheme improves both the bit error rate (BER) and throughput performance compared to existing high-data-rate LoRa schemes. Therefore, the proposed SFI-LoRa scheme is a potential solution for applications requiring a high data rate in the LPWAN domain.
Abstract:Internal Language Model (LM)-based methods use permutation language modeling (PLM) to solve the error correction caused by conditional independence in external LM-based methods. However, random permutations of human interference cause fit oscillations in the model training, and Iterative Refinement (IR) operation to improve multimodal information decoupling also introduces additional overhead. To address these issues, this paper proposes the Hierarchical Attention autoregressive Model with Adaptive Permutation (HAAP) to enhance the location-context-image interaction capability, improving autoregressive generalization with internal LM. First, we propose Implicit Permutation Neurons (IPN) to generate adaptive attention masks to dynamically exploit token dependencies. The adaptive masks increase the diversity of training data and prevent model dependency on a specific order. It reduces the training overhead of PLM while avoiding training fit oscillations. Second, we develop Cross-modal Hierarchical Attention mechanism (CHA) to couple context and image features. This processing establishes rich positional semantic dependencies between context and image while avoiding IR. Extensive experimental results show the proposed HAAP achieves state-of-the-art (SOTA) performance in terms of accuracy, complexity, and latency on several datasets.
Abstract:Anomaly detection and localization without any manual annotations and prior knowledge is a challenging task under the setting of unsupervised learning. The existing works achieve excellent performance in the anomaly detection, but with complex networks or cumbersome pipelines. To address this issue, this paper explores a simple but effective architecture in the anomaly detection. It consists of a well pre-trained encoder to extract hierarchical feature representations and a decoder to reconstruct these intermediate features from the encoder. In particular, it does not require any data augmentations and anomalous images for training. The anomalies can be detected when the decoder fails to reconstruct features well, and then errors of hierarchical feature reconstruction are aggregated into an anomaly map to achieve anomaly localization. The difference comparison between those features of encoder and decode lead to more accurate and robust localization results than the comparison in single feature or pixel-by-pixel comparison in the conventional works. Experiment results show that the proposed method outperforms the state-of-the-art methods on MNIST, Fashion-MNIST, CIFAR-10, and MVTec Anomaly Detection datasets on both anomaly detection and localization.
Abstract:To improve the data rate in differential chaos shift keying (DCSK) based ambient backscatter communication (AmBC) system, we propose a new AmBC system based on code index modulation (CIM), referred to as CIM-DCSK-AmBC system. In the proposed system, the CIM-DCSK signal transmitted in the direct link is used as the radio frequency source of the backscatter link. The signal format in the backscatter link is designed to increase the data rate as well as eliminate the interference of the direct link signal. As such, the direct link signal and the backscatter link signal can be received and demodulated simultaneously. Moreover, we derive and validate the theoretical bit error rate (BER) expressions of the CIM-DCSK-AmBC system over multipath Rayleigh fading channels. Regarding the short reference DCSK-based AmBC (SR-DCSK-AmBC) system as a benchmark system, numerical results reveal that the CIM-DCSK-AmBC system can achieve better BER performance in the direct link and higher throughput in the backscatter link than the benchmark system.




Abstract:Anomaly detection is represented as an unsupervised learning to identify deviated images from normal images. In general, there are two main challenges of anomaly detection tasks, i.e., the class imbalance and the unexpectedness of anomalies. In this paper, we propose a multiresolution feature guidance method based on Transformer named GTrans for unsupervised anomaly detection and localization. In GTrans, an Anomaly Guided Network (AGN) pre-trained on ImageNet is developed to provide surrogate labels for features and tokens. Under the tacit knowledge guidance of the AGN, the anomaly detection network named Trans utilizes Transformer to effectively establish a relationship between features with multiresolution, enhancing the ability of the Trans in fitting the normal data manifold. Due to the strong generalization ability of AGN, GTrans locates anomalies by comparing the differences in spatial distance and direction of multi-scale features extracted from the AGN and the Trans. Our experiments demonstrate that the proposed GTrans achieves state-of-the-art performance in both detection and localization on the MVTec AD dataset. GTrans achieves image-level and pixel-level anomaly detection AUROC scores of 99.0% and 97.9% on the MVTec AD dataset, respectively.




Abstract:Detection-based tracking is one of the main methods of multi-object tracking. It can obtain good tracking results when using excellent detectors but it may associate wrong targets when facing overlapping and low-confidence detections. To address this issue, this paper proposes a multi-object tracker based on shape constraint and confidence named SCTracker. In the data association stage, an Intersection of Union distance with shape constraints is applied to calculate the cost matrix between tracks and detections, which can effectively avoid the track tracking to the wrong target with the similar position but inconsistent shape, so as to improve the accuracy of data association. Additionally, the Kalman Filter based on the detection confidence is used to update the motion state to improve the tracking performance when the detection has low confidence. Experimental results on MOT 17 dataset show that the proposed method can effectively improve the tracking performance of multi-object tracking.




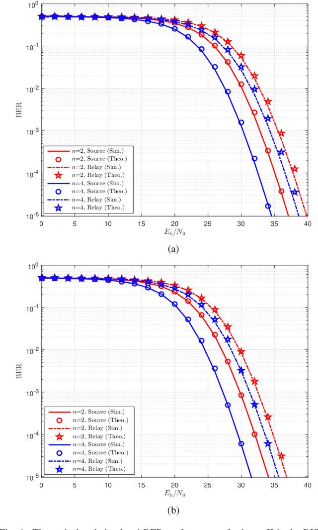
Abstract:This paper proposes a high-throughput short reference differential chaos shift keying cooperative communication system with the aid of code index modulation, referred to as CIM-SR-DCSK-CC system. In the proposed CIM-SR-DCSK-CC system, the source transmits information bits to both the relay and destination in the first time slot, while the relay not only forwards the source information bits but also sends new information bits to the destination in the second time slot. To be specific, the relay employs an $N$-order Walsh code to carry additional ${{\log }_{2}}N$ information bits, which are superimposed onto the SR-DCSK signal carrying the decoded source information bits. Subsequently, the superimposed signal carrying both the source and relay information bits is transmitted to the destination. Moreover, the theoretical bit error rate (BER) expressions of the proposed CIM-SR-DCSK-CC system are derived over additive white Gaussian noise (AWGN) and multipath Rayleigh fading channels. Compared with the conventional DCSK-CC system and SR-DCSK-CC system, the proposed CIM-SR-DCSK-CC system can significantly improve the throughput without deteriorating any BER performance. As a consequence, the proposed system is very promising for the applications of the 6G-enabled low-power and high-rate communication.




Abstract:In this paper, we propose two reconfigurable intelligent surface-aided $M$-ary frequency-modulated differential chaos shift keying (RIS-$M$-FM-DCSK) schemes. In scheme I, the RIS is regarded as a transmitter at the source to incorporate the $M$-ary phase-shift-keying ($M$-PSK) symbols into the FM chaotic signal and to reflect the resultant $M$-ary FM chaotic signal toward the destination. The information bits of the source are carried by both the positive/negative state of the FM chaotic signal and the $M$-PSK symbols. In scheme II, the RIS is treated as a relay so that both the source and relay can simultaneously transmit their information bits to the destination. The information bits of the source and relay are carried by the positive/negative state of the FM chaotic signal and $M$-PSK symbols generated by the RIS, respectively. The proposed RIS-$M$-FM-DCSK system has an attractive advantage that it does not require channel state information for detection, thus avoiding complex channel estimation. Moreover, we derive the theoretical expressions for bit error rates (BERs) of the proposed RIS-$M$-FM-DCSK system with both scheme I and scheme II over multipath Rayleigh fading channels. Simulations results not only verify the accuracy of the theoretical derivations, but also demonstrate the superiority of the proposed system. The proposed RIS-$M$-FM-DCSK system is a promising low-cost, low-power, and high-reliability alternative for wireless communication networks.




Abstract:In this work, we develop a pair of rate-diverse encoder and decoder for a two-user Gaussian multiple access channel (GMAC). The proposed scheme enables the users to transmit with the same codeword length but different coding rates under diverse user channel conditions. First, we propose the row-combining (RC) method and row-extending (RE) method to design practical low-density parity-check (LDPC) channel codes for rate-diverse GMAC. Second, we develop an iterative rate-diverse joint user messages decoding (RDJD) algorithm for GMAC, where all user messages are decoded with a single parity-check matrix. In contrast to the conventional network-coded multiple access (NCMA) and compute-forward multiple access (CFMA) schemes that first recover a linear combination of the transmitted codewords and then decode both user messages, this work can decode both the user messages simultaneously. Extrinsic information transfer (EXIT) chart analysis and simulation results indicate that RDJD can achieve gains up to 1.0 dB over NCMA and CFMA in the two-user GMAC. In particular, we show that there exists an optimal rate allocation for the two users to achieve the best decoding performance given the channel conditions and sum rate.