Abstract:While enjoying the great achievements brought by deep learning (DL), people are also worried about the decision made by DL models, since the high degree of non-linearity of DL models makes the decision extremely difficult to understand. Consequently, attacks such as adversarial attacks are easy to carry out, but difficult to detect and explain, which has led to a boom in the research on local explanation methods for explaining model decisions. In this paper, we evaluate the faithfulness of explanation methods and find that traditional tests on faithfulness encounter the random dominance problem, \ie, the random selection performs the best, especially for complex data. To further solve this problem, we propose three trend-based faithfulness tests and empirically demonstrate that the new trend tests can better assess faithfulness than traditional tests on image, natural language and security tasks. We implement the assessment system and evaluate ten popular explanation methods. Benefiting from the trend tests, we successfully assess the explanation methods on complex data for the first time, bringing unprecedented discoveries and inspiring future research. Downstream tasks also greatly benefit from the tests. For example, model debugging equipped with faithful explanation methods performs much better for detecting and correcting accuracy and security problems.




Abstract:The development of deep learning technology has greatly promoted the performance improvement of automatic speech recognition (ASR) technology, which has demonstrated an ability comparable to human hearing in many tasks. Voice interfaces are becoming more and more widely used as input for many applications and smart devices. However, existing research has shown that DNN is easily disturbed by slight disturbances and makes false recognition, which is extremely dangerous for intelligent voice applications controlled by voice.




Abstract:Automated Guided Vehicles (AGVs) have been widely used for material handling in flexible shop floors. Each product requires various raw materials to complete the assembly in production process. AGVs are used to realize the automatic handling of raw materials in different locations. Efficient AGVs task allocation strategy can reduce transportation costs and improve distribution efficiency. However, the traditional centralized approaches make high demands on the control center's computing power and real-time capability. In this paper, we present decentralized solutions to achieve flexible and self-organized AGVs task allocation. In particular, we propose two improved multi-agent reinforcement learning algorithms, MADDPG-IPF (Information Potential Field) and BiCNet-IPF, to realize the coordination among AGVs adapting to different scenarios. To address the reward-sparsity issue, we propose a reward shaping strategy based on information potential field, which provides stepwise rewards and implicitly guides the AGVs to different material targets. We conduct experiments under different settings (3 AGVs and 6 AGVs), and the experiment results indicate that, compared with baseline methods, our work obtains up to 47\% task response improvement and 22\% training iterations reduction.




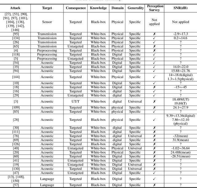
Abstract:With the wide use of Automatic Speech Recognition (ASR) in applications such as human machine interaction, simultaneous interpretation, audio transcription, etc., its security protection becomes increasingly important. Although recent studies have brought to light the weaknesses of popular ASR systems that enable out-of-band signal attack, adversarial attack, etc., and further proposed various remedies (signal smoothing, adversarial training, etc.), a systematic understanding of ASR security (both attacks and defenses) is still missing, especially on how realistic such threats are and how general existing protection could be. In this paper, we present our systematization of knowledge for ASR security and provide a comprehensive taxonomy for existing work based on a modularized workflow. More importantly, we align the research in this domain with that on security in Image Recognition System (IRS), which has been extensively studied, using the domain knowledge in the latter to help understand where we stand in the former. Generally, both IRS and ASR are perceptual systems. Their similarities allow us to systematically study existing literature in ASR security based on the spectrum of attacks and defense solutions proposed for IRS, and pinpoint the directions of more advanced attacks and the directions potentially leading to more effective protection in ASR. In contrast, their differences, especially the complexity of ASR compared with IRS, help us learn unique challenges and opportunities in ASR security. Particularly, our experimental study shows that transfer learning across ASR models is feasible, even in the absence of knowledge about models (even their types) and training data.