



Abstract:To address the growing size of AI model training data and the lack of a universal data selection methodology-factors that significantly drive up training costs -- this paper presents the General Information Metrics Evaluation (GIME) method. GIME leverages general information metrics from Objective Information Theory (OIT), including volume, delay, scope, granularity, variety, duration, sampling rate, aggregation, coverage, distortion, and mismatch to optimize dataset selection for training purposes. Comprehensive experiments conducted across diverse domains, such as CTR Prediction, Civil Case Prediction, and Weather Forecasting, demonstrate that GIME effectively preserves model performance while substantially reducing both training time and costs. Additionally, applying GIME within the Judicial AI Program led to a remarkable 39.56% reduction in total model training expenses, underscoring its potential to support efficient and sustainable AI development.
Abstract:Infrared small target detection faces the inherent challenge of precisely localizing dim targets amidst complex background clutter. Traditional approaches struggle to balance detection precision and false alarm rates. To break this dilemma, we propose SeRankDet, a deep network that achieves high accuracy beyond the conventional hit-miss trade-off, by following the ``Pick of the Bunch'' principle. At its core lies our Selective Rank-Aware Attention (SeRank) module, employing a non-linear Top-K selection process that preserves the most salient responses, preventing target signal dilution while maintaining constant complexity. Furthermore, we replace the static concatenation typical in U-Net structures with our Large Selective Feature Fusion (LSFF) module, a dynamic fusion strategy that empowers SeRankDet with adaptive feature integration, enhancing its ability to discriminate true targets from false alarms. The network's discernment is further refined by our Dilated Difference Convolution (DDC) module, which merges differential convolution aimed at amplifying subtle target characteristics with dilated convolution to expand the receptive field, thereby substantially improving target-background separation. Despite its lightweight architecture, the proposed SeRankDet sets new benchmarks in state-of-the-art performance across multiple public datasets. The code is available at https://github.com/GrokCV/SeRankDet.




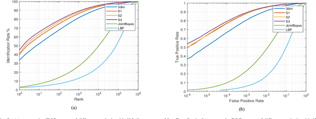
Abstract:Face recognition has achieved great progress owing to the fast development of the deep neural network in the past a few years. As an important part of deep neural networks, a number of the loss functions have been proposed which significantly improve the state-of-the-art methods. In this paper, we proposed a new loss function called Minimum Margin Loss (MML) which aims at enlarging the margin of those overclose class centre pairs so as to enhance the discriminative ability of the deep features. MML supervises the training process together with the Softmax Loss and the Centre Loss, and also makes up the defect of Softmax + Centre Loss. The experimental results on MegaFace, LFW and YTF datasets show that the proposed method achieves the state-of-the-art performance, which demonstrates the effectiveness of the proposed MML.