Abstract:With increasing deployment of Large Language Models (LLMs) in the finance domain, LLMs are increasingly expected to parse complex regulatory disclosures. However, existing benchmarks often focus on isolated details, failing to reflect the complexity of professional analysis that requires synthesizing information across multiple documents, reporting periods, and corporate entities. They do not distinguish whether errors stem from retrieval failures, generation flaws, finance-specific reasoning mistakes, or misunderstanding of the query or context. This makes it difficult to pinpoint performance bottlenecks. To bridge these gaps, we introduce Fin-RATE, a benchmark built on U.S. Securities and Exchange Commission (SEC) filings and mirror financial analyst workflows through three pathways: detail-oriented reasoning within individual disclosures, cross-entity comparison under shared topics, and longitudinal tracking of the same firm across reporting periods. We benchmark 17 leading LLMs, spanning open-source, closed-source, and finance-specialized models, under both ground-truth context and retrieval-augmented settings. Results show substantial performance degradation, with accuracy dropping by 18.60% and 14.35% as tasks shift from single-document reasoning to longitudinal and cross-entity analysis. This is driven by rising comparison hallucinations, time and entity mismatches, and mirrored by declines in reasoning and factuality--limitations that prior benchmarks have yet to formally categorize or quantify.
Abstract:Despite advances in generative large language models (LLMs), practical application of specialized conversational AI agents remains constrained by computation costs, latency requirements, and the need for precise domain-specific relevance measures. While existing embedding models address the first two constraints, they underperform on information retrieval in specialized domains like finance. This paper introduces a scalable pipeline that trains specialized models from an unlabeled corpus using a general purpose retrieval embedding model as foundation. Our method yields an average of 27.7% improvement in MRR$\texttt{@}$5, 44.6% improvement in mean DCG$\texttt{@}$5 across 14 financial filing types measured over 21,800 query-document pairs, and improved NDCG on 3 of 4 document classes in FinanceBench. We adapt retrieval embeddings (bi-encoder) for RAG, not LLM generators, using LLM-judged relevance to distill domain knowledge into a compact retriever. There are prior works which pair synthetically generated queries with real passages to directly fine-tune the retrieval model. Our pipeline differs from these by introducing interaction between student and teacher models that interleaves retrieval-based mining of hard positive/negative examples from the unlabeled corpus with iterative retraining of the student model's weights using these examples. Each retrieval iteration uses the refined student model to mine the corpus for progressively harder training examples for the subsequent training iteration. The methodology provides a cost-effective solution to bridging the gap between general-purpose models and specialized domains without requiring labor-intensive human annotation.




Abstract:Abstractive summarization is the task of compressing a long document into a coherent short document while retaining salient information. Modern abstractive summarization methods are based on deep neural networks which often require large training datasets. Since collecting summarization datasets is an expensive and time-consuming task, practical industrial settings are usually low-resource. In this paper, we study a challenging low-resource setting of summarizing long legal briefs with an average source document length of 4268 words and only 120 available (document, summary) pairs. To account for data scarcity, we used a modern pretrained abstractive summarizer BART (Lewis et al., 2020), which only achieves 17.9 ROUGE-L as it struggles with long documents. We thus attempt to compress these long documents by identifying salient sentences in the source which best ground the summary, using a novel algorithm based on GPT-2 (Radford et al., 2019) language model perplexity scores, that operates within the low resource regime. On feeding the compressed documents to BART, we observe a 6.0 ROUGE-L improvement. Our method also beats several competitive salience detection baselines. Furthermore, the identified salient sentences tend to agree with an independent human labeling by domain experts.




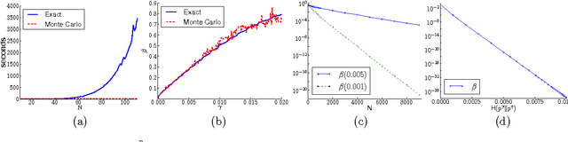
Abstract:We give a new consistent scoring function for structure learning of Bayesian networks. In contrast to traditional approaches to score-based structure learning, such as BDeu or MDL, the complexity penalty that we propose is data-dependent and is given by the probability that a conditional independence test correctly shows that an edge cannot exist. What really distinguishes this new scoring function from earlier work is that it has the property of becoming computationally easier to maximize as the amount of data increases. We prove a polynomial sample complexity result, showing that maximizing this score is guaranteed to correctly learn a structure with no false edges and a distribution close to the generating distribution, whenever there exists a Bayesian network which is a perfect map for the data generating distribution. Although the new score can be used with any search algorithm, in our related UAI 2013 paper [BS13], we have given empirical results showing that it is particularly effective when used together with a linear programming relaxation approach to Bayesian network structure learning. The present paper contains all details of the proofs of the finite-sample complexity results in [BS13] as well as detailed explanation of the computation of the certain error probabilities called beta-values, whose precomputation and tabulation is necessary for the implementation of the algorithm in [BS13].




Abstract:We give a new consistent scoring function for structure learning of Bayesian networks. In contrast to traditional approaches to scorebased structure learning, such as BDeu or MDL, the complexity penalty that we propose is data-dependent and is given by the probability that a conditional independence test correctly shows that an edge cannot exist. What really distinguishes this new scoring function from earlier work is that it has the property of becoming computationally easier to maximize as the amount of data increases. We prove a polynomial sample complexity result, showing that maximizing this score is guaranteed to correctly learn a structure with no false edges and a distribution close to the generating distribution, whenever there exists a Bayesian network which is a perfect map for the data generating distribution. Although the new score can be used with any search algorithm, we give empirical results showing that it is particularly effective when used together with a linear programming relaxation approach to Bayesian network structure learning.