Korea University
Abstract:Artificial Intelligence (AI) benchmarks play a central role in measuring progress in model development and guiding deployment decisions. However, many benchmarks quickly become saturated, meaning that they can no longer differentiate between the best-performing models, diminishing their long-term value. In this study, we analyze benchmark saturation across 60 Large Language Model (LLM) benchmarks selected from technical reports by major model developers. To identify factors driving saturation, we characterize benchmarks along 14 properties spanning task design, data construction, and evaluation format. We test five hypotheses examining how each property contributes to saturation rates. Our analysis reveals that nearly half of the benchmarks exhibit saturation, with rates increasing as benchmarks age. Notably, hiding test data (i.e., public vs. private) shows no protective effect, while expert-curated benchmarks resist saturation better than crowdsourced ones. Our findings highlight which design choices extend benchmark longevity and inform strategies for more durable evaluation.
Abstract:Multilingual Retrieval-Augmented Generation (mRAG) systems enable language models to answer knowledge-intensive queries with citation-supported responses across languages. While such systems have been proposed, an open questions is whether the mixture of different document languages impacts generation and citation in unintended ways. To investigate, we introduce a controlled methodology using model internals to measure language preference while holding other factors such as document relevance constant. Across eight languages and six open-weight models, we find that models preferentially cite English sources when queries are in English, with this bias amplified for lower-resource languages and for documents positioned mid-context. Crucially, we find that models sometimes trade-off document relevance for language preference, indicating that citation choices are not always driven by informativeness alone. Our findings shed light on how language models leverage multilingual context and influence citation behavior.
Abstract:As people increasingly use AI systems in work and daily life, feedback mechanisms that help them use AI responsibly are urgently needed, particularly in settings where users are not equipped to assess the quality of AI predictions. We study a realistic Machine Translation (MT) scenario where monolingual users decide whether to share an MT output, first without and then with quality feedback. We compare four types of quality feedback: explicit feedback that directly give users an assessment of translation quality using 1) error highlights and 2) LLM explanations, and implicit feedback that helps users compare MT inputs and outputs through 3) backtranslation and 4) question-answer (QA) tables. We find that all feedback types, except error highlights, significantly improve both decision accuracy and appropriate reliance. Notably, implicit feedback, especially QA tables, yields significantly greater gains than explicit feedback in terms of decision accuracy, appropriate reliance, and user perceptions, receiving the highest ratings for helpfulness and trust, and the lowest for mental burden.




Abstract:Large Language Models (LLMs) need to adapt their predictions to diverse cultural contexts to benefit diverse communities across the world. While previous efforts have focused on single-LLM, single-turn approaches, we propose to exploit the complementary strengths of multiple LLMs to promote cultural adaptability. We introduce a Multi-Agent Debate framework, where two LLM-based agents debate over a cultural scenario and collaboratively reach a final decision. We propose two variants: one where either LLM agents exclusively debate and another where they dynamically choose between self-reflection and debate during their turns. We evaluate these approaches on 7 open-weight LLMs (and 21 LLM combinations) using the NormAd-ETI benchmark for social etiquette norms in 75 countries. Experiments show that debate improves both overall accuracy and cultural group parity over single-LLM baselines. Notably, multi-agent debate enables relatively small LLMs (7-9B) to achieve accuracies comparable to that of a much larger model (27B parameters).
Abstract:How can a monolingual English speaker determine whether an automatic translation in French is good enough to be shared? Existing MT error detection and quality estimation (QE) techniques do not address this practical scenario. We introduce AskQE, a question generation and answering framework designed to detect critical MT errors and provide actionable feedback, helping users decide whether to accept or reject MT outputs even without the knowledge of the target language. Using ContraTICO, a dataset of contrastive synthetic MT errors in the COVID-19 domain, we explore design choices for AskQE and develop an optimized version relying on LLaMA-3 70B and entailed facts to guide question generation. We evaluate the resulting system on the BioMQM dataset of naturally occurring MT errors, where AskQE has higher Kendall's Tau correlation and decision accuracy with human ratings compared to other QE metrics.




Abstract:Large Language Model (LLM)-powered agents have unlocked new possibilities for automating human tasks. While prior work has focused on well-defined tasks with specified goals, the capabilities of agents in creative design tasks with open-ended goals remain underexplored. We introduce GraphicBench, a new planning benchmark for graphic design that covers 1,079 user queries and input images across four design types. We further present GraphicTown, an LLM agent framework with three design experts and 46 actions (tools) to choose from for executing each step of the planned workflows in web environments. Experiments with six LLMs demonstrate their ability to generate workflows that integrate both explicit design constraints from user queries and implicit commonsense constraints. However, these workflows often do not lead to successful execution outcomes, primarily due to challenges in: (1) reasoning about spatial relationships, (2) coordinating global dependencies across experts, and (3) retrieving the most appropriate action per step. We envision GraphicBench as a challenging yet valuable testbed for advancing LLM-agent planning and execution in creative design tasks.




Abstract:Can we improve machine translation (MT) with LLMs by rewriting their inputs automatically? Users commonly rely on the intuition that well-written text is easier to translate when using off-the-shelf MT systems. LLMs can rewrite text in many ways but in the context of MT, these capabilities have been primarily exploited to rewrite outputs via post-editing. We present an empirical study of 21 input rewriting methods with 3 open-weight LLMs for translating from English into 6 target languages. We show that text simplification is the most effective MT-agnostic rewrite strategy and that it can be improved further when using quality estimation to assess translatability. Human evaluation further confirms that simplified rewrites and their MT outputs both largely preserve the original meaning of the source and MT. These results suggest LLM-assisted input rewriting as a promising direction for improving translations.
Abstract:Generative Artificial Intelligence (GenAI) systems are being increasingly deployed across all parts of industry and research settings. Developers and end users interact with these systems through the use of prompting or prompt engineering. While prompting is a widespread and highly researched concept, there exists conflicting terminology and a poor ontological understanding of what constitutes a prompt due to the area's nascency. This paper establishes a structured understanding of prompts, by assembling a taxonomy of prompting techniques and analyzing their use. We present a comprehensive vocabulary of 33 vocabulary terms, a taxonomy of 58 text-only prompting techniques, and 40 techniques for other modalities. We further present a meta-analysis of the entire literature on natural language prefix-prompting.




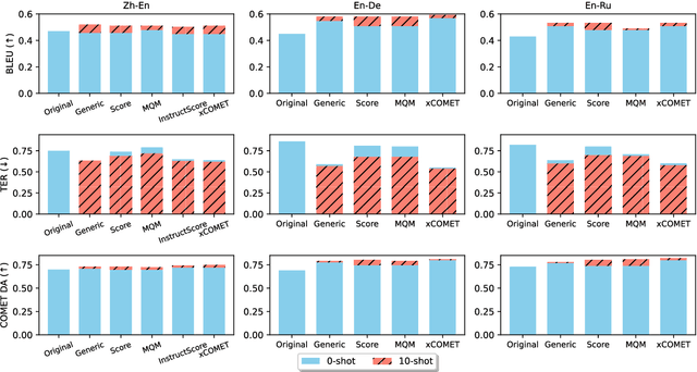
Abstract:Machine Translation (MT) remains one of the last NLP tasks where large language models (LLMs) have not yet replaced dedicated supervised systems. This work exploits the complementary strengths of LLMs and supervised MT by guiding LLMs to automatically post-edit MT with external feedback on its quality, derived from Multidimensional Quality Metric (MQM) annotations. Working with LLaMA-2 models, we consider prompting strategies varying the nature of feedback provided and then fine-tune the LLM to improve its ability to exploit the provided guidance. Through experiments on Chinese-English, English-German, and English-Russian MQM data, we demonstrate that prompting LLMs to post-edit MT improves TER, BLEU and COMET scores, although the benefits of fine-grained feedback are not clear. Fine-tuning helps integrate fine-grained feedback more effectively and further improves translation quality based on both automatic and human evaluation.




Abstract:Lexically-constrained NMT (LNMT) aims to incorporate user-provided terminology into translations. Despite its practical advantages, existing work has not evaluated LNMT models under challenging real-world conditions. In this paper, we focus on two important but under-studied issues that lie in the current evaluation process of LNMT studies. The model needs to cope with challenging lexical constraints that are "homographs" or "unseen" during training. To this end, we first design a homograph disambiguation module to differentiate the meanings of homographs. Moreover, we propose PLUMCOT, which integrates contextually rich information about unseen lexical constraints from pre-trained language models and strengthens a copy mechanism of the pointer network via direct supervision of a copying score. We also release HOLLY, an evaluation benchmark for assessing the ability of a model to cope with "homographic" and "unseen" lexical constraints. Experiments on HOLLY and the previous test setup show the effectiveness of our method. The effects of PLUMCOT are shown to be remarkable in "unseen" constraints. Our dataset is available at https://github.com/papago-lab/HOLLY-benchmark