Abstract:Safe navigation in real-time is an essential task for humanoid robots in real-world deployment. Since humanoid robots are inherently underactuated thanks to unilateral ground contacts, a path is considered safe if it is obstacle-free and respects the robot's physical limitations and underlying dynamics. Existing approaches often decouple path planning from gait control due to the significant computational challenge caused by the full-order robot dynamics. In this work, we develop a unified, safe path and gait planning framework that can be evaluated online in real-time, allowing the robot to navigate clustered environments while sustaining stable locomotion. Our approach uses the popular Linear Inverted Pendulum (LIP) model as a template model to represent walking dynamics. It incorporates heading angles in the model to evaluate kinematic constraints essential for physically feasible gaits properly. In addition, we leverage discrete control barrier functions (DCBF) for obstacle avoidance, ensuring that the subsequent foot placement provides a safe navigation path within clustered environments. To guarantee real-time computation, we use a novel approximation of the DCBF to produce linear DCBF (LDCBF) constraints. We validate the proposed approach in simulation using a Digit robot in randomly generated environments. The results demonstrate that our approach can generate safe gaits for a non-trivial humanoid robot to navigate environments with randomly generated obstacles in real-time.
Abstract:Locomotion on dynamic rigid surface (i.e., rigid surface accelerating in an inertial frame) presents complex challenges for controller design, which are essential for deploying humanoid robots in dynamic real-world environments such as moving trains, ships, and airplanes. This paper introduces a real-time, provably stabilizing control approach for underactuated humanoid walking on periodically swaying rigid surface. The first key contribution is the analytical extension of the classical angular momentum-based linear inverted pendulum model from static to swaying grounds. This extension results in a time-varying, nonhomogeneous robot model, which is fundamentally different from the existing pendulum models. We synthesize a discrete footstep control law for the model and derive a new set of sufficient stability conditions that verify the controller's stabilizing effect. Another key contribution is the development of a hierarchical control framework that incorporates the proposed footstep control law as its higher-layer planner to ensure the stability of underactuated walking. The closed-loop stability of the complete hybrid, full-order robot dynamics under this control framework is provably analyzed based on nonlinear control theory. Finally, experiments conducted on a Digit humanoid robot, both in simulations and with hardware, demonstrate the framework's effectiveness in addressing underactuated bipedal locomotion on swaying ground, even in the presence of uncertain surface motions and unknown external pushes.




Abstract:The Angular-Momentum Linear Inverted Pendulum (ALIP) model is a promising motion planner for bipedal robots. However, it relies on two assumptions: (1) the robot has point-contact feet or passive ankles, and (2) the angular momentum around the center of mass, known as centroidal angular momentum, is negligible. This paper addresses the question of whether the ALIP paradigm can be applied to more general bipedal systems with complex foot geometry (e.g., flat feet) and nontrivial torso/limb inertia and mass distribution (e.g., non-centralized arms). In such systems, the dynamics introduce non-negligible centroidal momentum and contact wrenches at the feet, rendering the assumptions of the ALIP model invalid. This paper presents the ALIP planner for general bipedal robots with non-point-contact feet through the use of a task-space whole-body controller that regulates centroidal momentum, thereby ensuring that the robot's behavior aligns with the desired template dynamics. To demonstrate the effectiveness of our proposed approach, we conduct simulations using the Sarcos Guardian XO robot, which is a hybrid humanoid/exoskeleton with large, offset feet. The results demonstrate the practicality and effectiveness of our approach in achieving stable and versatile bipedal locomotion.
Abstract:Safe path and gait planning are essential for bipedal robots to navigate complex real-world environments. The prevailing approaches often plan the path and gait separately in a hierarchical fashion, potentially resulting in unsafe movements due to neglecting the physical constraints of walking robots. A safety-critical path must not only avoid obstacles but also ensure that the robot's gaits are subject to its dynamic and kinematic constraints. This work presents a novel approach that unifies path planning and gait planning via a Model Predictive Control (MPC) using the Linear Inverted Pendulum (LIP) model representing bipedal locomotion. This approach considers environmental constraints, such as obstacles, and the robot's kinematics and dynamics constraints. By using discrete-time Control Barrier Functions for obstacle avoidance, our approach generates the next foot landing position, ensuring robust walking gaits and a safe navigation path within clustered environments. We validated our proposed approach in simulation using a Digit robot in 20 randomly created environments. The results demonstrate improved performance in terms of safety and robustness when compared to hierarchical path and gait planning frameworks.




Abstract:This paper introduces a novel multi-step preview foot placement planning algorithm designed to enhance the robustness of bipedal robotic walking across challenging terrains with restricted footholds. Traditional one-step preview planning struggles to maintain stability when stepping areas are severely limited, such as with random stepping stones. In this work, we developed a discrete-time Model Predictive Control (MPC) based on the step-to-step discrete evolution of the Divergent Component of Motion (DCM) of bipedal locomotion. This approach adaptively changes the step duration for optimal foot placement under constraints, thereby ensuring the robot's operational viability over multiple future steps and significantly improving its ability to navigate through environments with tight constraints on possible footholds. The effectiveness of this planning algorithm is demonstrated through simulations that include a variety of complex stepping-stone configurations and external perturbations. These tests underscore the algorithm's improved performance for navigating foothold-restricted environments, even with the presence of external disturbances.




Abstract:This work presents a hierarchical framework for bipedal locomotion that combines a Reinforcement Learning (RL)-based high-level (HL) planner policy for the online generation of task space commands with a model-based low-level (LL) controller to track the desired task space trajectories. Different from traditional end-to-end learning approaches, our HL policy takes insights from the angular momentum-based linear inverted pendulum (ALIP) to carefully design the observation and action spaces of the Markov Decision Process (MDP). This simple yet effective design creates an insightful mapping between a low-dimensional state that effectively captures the complex dynamics of bipedal locomotion and a set of task space outputs that shape the walking gait of the robot. The HL policy is agnostic to the task space LL controller, which increases the flexibility of the design and generalization of the framework to other bipedal robots. This hierarchical design results in a learning-based framework with improved performance, data efficiency, and robustness compared with the ALIP model-based approach and state-of-the-art learning-based frameworks for bipedal locomotion. The proposed hierarchical controller is tested in three different robots, Rabbit, a five-link underactuated planar biped; Walker2D, a seven-link fully-actuated planar biped; and Digit, a 3D humanoid robot with 20 actuated joints. The trained policy naturally learns human-like locomotion behaviors and is able to effectively track a wide range of walking speeds while preserving the robustness and stability of the walking gait even under adversarial conditions.




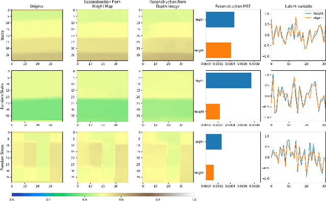
Abstract:This paper presents a novel framework for learning robust bipedal walking by combining a data-driven state representation with a Reinforcement Learning (RL) based locomotion policy. The framework utilizes an autoencoder to learn a low-dimensional latent space that captures the complex dynamics of bipedal locomotion from existing locomotion data. This reduced dimensional state representation is then used as states for training a robust RL-based gait policy, eliminating the need for heuristic state selections or the use of template models for gait planning. The results demonstrate that the learned latent variables are disentangled and directly correspond to different gaits or speeds, such as moving forward, backward, or walking in place. Compared to traditional template model-based approaches, our framework exhibits superior performance and robustness in simulation. The trained policy effectively tracks a wide range of walking speeds and demonstrates good generalization capabilities to unseen scenarios.




Abstract:Dynamic locomotion in legged robots is close to industrial collaboration, but a lack of standardized testing obstructs commercialization. The issues are not merely political, theoretical, or algorithmic but also physical, indicating limited studies and comprehension regarding standard testing infrastructure and equipment. For decades, the approaches we have been testing legged robots were rarely standardizable with hand-pushing, foot-kicking, rope-dragging, stick-poking, and ball-swinging. This paper aims to bridge the gap by proposing the use of the linear impactor, a well-established tool in other standardized testing disciplines, to serve as an adaptive, repeatable, and fair disturbance rejection testing equipment for legged robots. A pneumatic linear impactor is also adopted for the case study involving the humanoid robot Digit. Three locomotion controllers are examined, including a commercial one, using a walking-in-place task against frontal impacts. The statistically best controller was able to withstand the impact momentum (26.376 kg$\cdot$m/s) on par with a reported average effective momentum from straight punches by Olympic boxers (26.506 kg$\cdot$m/s). Moreover, the case study highlights other anti-intuitive observations, demonstrations, and implications that, to the best of the authors' knowledge, are first-of-its-kind revealed in real-world testing of legged robots.
Abstract:Controller design for bipedal walking on dynamic rigid surfaces (DRSes), which are rigid surfaces moving in the inertial frame (e.g., ships and airplanes), remains largely uninvestigated. This paper introduces a hierarchical control approach that achieves stable underactuated bipedal robot walking on a horizontally oscillating DRS. The highest layer of our approach is a real-time motion planner that generates desired global behaviors (i.e., the center of mass trajectories and footstep locations) by stabilizing a reduced-order robot model. One key novelty of this layer is the derivation of the reduced-order model by analytically extending the angular momentum based linear inverted pendulum (ALIP) model from stationary to horizontally moving surfaces. The other novelty is the development of a discrete-time foot-placement controller that exponentially stabilizes the hybrid, linear, time-varying ALIP model. The middle layer of the proposed approach is a walking pattern generator that translates the desired global behaviors into the robot's full-body reference trajectories for all directly actuated degrees of freedom. The lowest layer is an input-output linearizing controller that exponentially tracks those full-body reference trajectories based on the full-order, hybrid, nonlinear robot dynamics. Simulations of planar underactuated bipedal walking on a swaying DRS confirm that the proposed framework ensures the walking stability under different DRS motions and gait types.




Abstract:Safe path planning is critical for bipedal robots to operate in safety-critical environments. Common path planning algorithms, such as RRT or RRT*, typically use geometric or kinematic collision check algorithms to ensure collision-free paths toward the target position. However, such approaches may generate non-smooth paths that do not comply with the dynamics constraints of walking robots. It has been shown that the control barrier function (CBF) can be integrated with RRT/RRT* to synthesize dynamically feasible collision-free paths. Yet, existing work has been limited to simple circular or elliptical shape obstacles due to the challenging nature of constructing appropriate barrier functions to represent irregular-shaped obstacles. In this paper, we present a CBF-based RRT* algorithm for bipedal robots to generate a collision-free path through complex space with polynomial-shaped obstacles. In particular, we used logistic regression to construct polynomial barrier functions from a grid map of the environment to represent arbitrarily shaped obstacles. Moreover, we developed a multi-step CBF steering controller to ensure the efficiency of free space exploration. The proposed approach was first validated in simulation for a differential drive model, and then experimentally evaluated with a 3D humanoid robot, Digit, in a lab setting with randomly placed obstacles.