Abstract:Agent-assisted memory recall is one critical research problem in the field of human-computer interaction. In conventional methods, the agent can retrieve information from its equipped memory module to help the person recall incomplete or vague memories. The limited size of memory module hinders the acquisition of complete memories and impacts the memory recall performance in practice. Memory theories suggest that the person's relevant memory can be proactively activated through some effective cues. Inspired by this, we propose a novel strategy-guided agent-assisted memory recall method, allowing the agent to transform an original query into a cue-rich one via the judiciously designed strategy to help the person recall memories. To this end, there are two key challenges. (1) How to choose the appropriate recall strategy for diverse forgetting scenarios with distinct memory-recall characteristics? (2) How to obtain the high-quality responses leveraging recall strategies, given only abstract and sparsely annotated strategy patterns? To address the challenges, we propose a Recall Router framework. Specifically, we design a 5W Recall Map to classify memory queries into five typical scenarios and define fifteen recall strategy patterns across the corresponding scenarios. We then propose a hierarchical recall tree combined with the Monte Carlo Tree Search algorithm to optimize the selection of strategy and the generation of strategy responses. We construct an instruction tuning dataset and fine-tune multiple open-source large language models (LLMs) to develop MemoCue, an agent that excels in providing memory-inspired responses. Experiments on three representative datasets show that MemoCue surpasses LLM-based methods by 17.74% in recall inspiration. Further human evaluation highlights its advantages in memory-recall applications.




Abstract:Understanding urban dynamics and promoting sustainable development requires comprehensive insights about buildings. While geospatial artificial intelligence has advanced the extraction of such details from Earth observational data, existing methods often suffer from computational inefficiencies and inconsistencies when compiling unified building-related datasets for practical applications. To bridge this gap, we introduce the Multi-task Building Refiner (MT-BR), an adaptable neural network tailored for simultaneous extraction of spatial and attributional building details from high-resolution satellite imagery, exemplified by building rooftops, urban functional types, and roof architectural types. Notably, MT-BR can be fine-tuned to incorporate additional building details, extending its applicability. For large-scale applications, we devise a novel spatial sampling scheme that strategically selects limited but representative image samples. This process optimizes both the spatial distribution of samples and the urban environmental characteristics they contain, thus enhancing extraction effectiveness while curtailing data preparation expenditures. We further enhance MT-BR's predictive performance and generalization capabilities through the integration of advanced augmentation techniques. Our quantitative results highlight the efficacy of the proposed methods. Specifically, networks trained with datasets curated via our sampling method demonstrate improved predictive accuracy relative to those using alternative sampling approaches, with no alterations to network architecture. Moreover, MT-BR consistently outperforms other state-of-the-art methods in extracting building details across various metrics. The real-world practicality is also demonstrated in an application across Shanghai, generating a unified dataset that encompasses both the spatial and attributional details of buildings.




Abstract:Control variates can be a powerful tool to reduce the variance of Monte Carlo estimators, but constructing effective control variates can be challenging when the number of samples is small. In this paper, we show that when a large number of related integrals need to be computed, it is possible to leverage the similarity between these integration tasks to improve performance even when the number of samples per task is very small. Our approach, called meta learning CVs (Meta-CVs), can be used for up to hundreds or thousands of tasks. Our empirical assessment indicates that Meta-CVs can lead to significant variance reduction in such settings, and our theoretical analysis establishes general conditions under which Meta-CVs can be successfully trained.




Abstract:We design a new scheduling policy to minimize the general non-decreasing cost function of age of information (AoI) in a multiuser system. In this system, the base station stochastically generates time-sensitive packets and transmits them to corresponding user equipments via an unreliable channel. We first formulate the transmission scheduling problem as an average cost constrained Markov decision process problem. Through introducing the service charge, we derive the closed-form expression for the Whittle index, based on which we design the scheduling policy. Using numerical results, we demonstrate the performance gain of our designed scheduling policy compared to the existing policies, such as the optimal policy, the on-demand Whittle index policy, and the age greedy policy.




Abstract:Recently, some researches are devoted to the topic of end-to-end learning a physical layer secure communication system based on autoencoder under Gaussian wiretap channel. However, in those works, the reliability and security of the encoder model were learned through necessary decoding outputs of not only legitimate receiver but also the eavesdropper. In fact, the assumption of known eavesdropper's decoder or its output is not practical. To address this issue, in this paper we propose a dual mutual information neural estimation (MINE) based neural secure communications model. The security constraints of this method is constructed only with the input and output signal samples of the legal and eavesdropper channels and benefit that training the encoder is completely independent of the decoder. Moreover, since the design of secure coding does not rely on the eavesdropper's decoding results, the security performance would not be affected by the eavesdropper's decoding means. Numerical results show that the performance of our model is guaranteed whether the eavesdropper learns the decoder himself or uses the legal decoder.




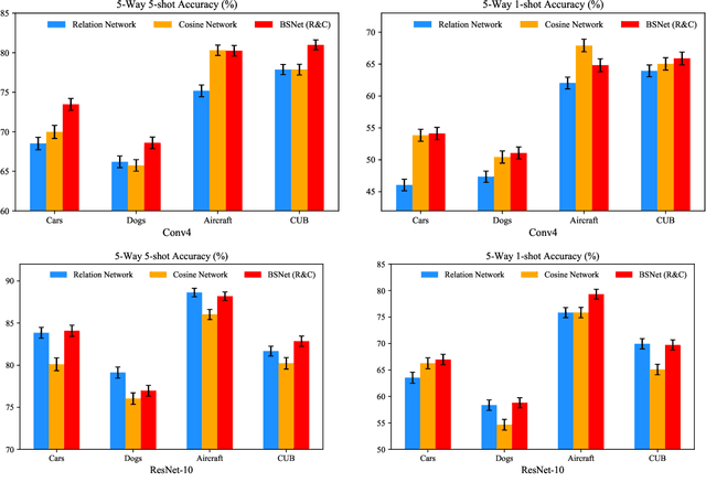
Abstract:Few-shot learning for fine-grained image classification has gained recent attention in computer vision. Among the approaches for few-shot learning, due to the simplicity and effectiveness, metric-based methods are favorably state-of-the-art on many tasks. Most of the metric-based methods assume a single similarity measure and thus obtain a single feature space. However, if samples can simultaneously be well classified via two distinct similarity measures, the samples within a class can distribute more compactly in a smaller feature space, producing more discriminative feature maps. Motivated by this, we propose a so-called \textit{Bi-Similarity Network} (\textit{BSNet}) that consists of a single embedding module and a bi-similarity module of two similarity measures. After the support images and the query images pass through the convolution-based embedding module, the bi-similarity module learns feature maps according to two similarity measures of diverse characteristics. In this way, the model is enabled to learn more discriminative and less similarity-biased features from few shots of fine-grained images, such that the model generalization ability can be significantly improved. Through extensive experiments by slightly modifying established metric/similarity based networks, we show that the proposed approach produces a substantial improvement on several fine-grained image benchmark datasets. Codes are available at: https://github.com/spraise/BSNet

Abstract:Few-shot meta-learning has been recently reviving with expectations to mimic humanity's fast adaption to new concepts based on prior knowledge. In this short communication, we give a concise review on recent representative methods in few-shot meta-learning, which are categorized into four branches according to their technical characteristics. We conclude this review with some vital current challenges and future prospects in few-shot meta-learning.




Abstract:Histopathology image analysis plays a critical role in cancer diagnosis and treatment. To automatically segment the cancerous regions, fully supervised segmentation algorithms require labor-intensive and time-consuming labeling at the pixel level. In this research, we propose CAMEL, a weakly supervised learning framework for histopathology image segmentation using only image-level labels. Using multiple instance learning (MIL)-based label enrichment, CAMEL splits the image into latticed instances and automatically generates instance-level labels. After label enrichment, the instance-level labels are further assigned to the corresponding pixels, producing the approximate pixel-level labels and making fully supervised training of segmentation models possible. CAMEL achieves comparable performance with the fully supervised approaches in both instance-level classification and pixel-level segmentation on CAMELYON16 and a colorectal adenoma dataset. Moreover, the generality of the automatic labeling methodology may benefit future weakly supervised learning studies for histopathology image analysis.