



Abstract:Strong self-interference due to the co-located transmitter is the bottleneck for implementing an in-band full-duplex (IBFD) system. If not adequately mitigated, the strong interference can saturate the receiver's analog-digital converters (ADCs) and hence void the digital processing. This paper considers utilizing a reconfigurable intelligent surface (RIS), together with a receiving (Rx) phase shifter network (PSN), to mitigate the strong self-interference through jointly optimizing their phases. This method, named self-interference mitigation using RIS and PSN (SIMRP), can suppress self-interference to avoid ADC saturation effectively and therefore improve the sum rate performance of communication systems, as verified by the simulation studies.





Abstract:Reconfigurable intelligent surface (RIS) technology has emerged in recent years as a promising solution to the ever-increasing demand for wireless communication capacity. In practice, however, elements of RIS may suffer from phase deviations, which need to be properly estimated and calibrated. This paper models the problem of over-the-air (OTA) estimation of the RIS elements as a quasi-neural network (QNN) so that the phase estimates can be obtained using the classic backpropagation (BP) algorithm. We also derive the Cram\'{e}r Rao Bounds (CRBs) for the phases of the RIS elements as a benchmark of the proposed approach. The simulation results verify the effectiveness of the proposed algorithm by showing that the root mean square errors (RMSEs) of the phase estimates are close to the CRBs.





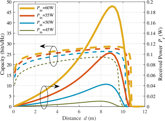
Abstract:Simultaneous wireless information and power transfer (SWIPT) has been envisioned as an enabling technology for future 6G by providing high-efficiency power transfer and high-rate data transmissions concurrently. In this paper, we propose a resonant beam charging and communication (RBCC) system utilizing the telescope internal modulator (TIM) and the semiconductor gain medium. TIM can concentrate the diverged beam into a small-size gain module, thus the propagation loss is reduced and the transmission efficiency is enhanced. Since the semiconductor gain medium has better energy absorption capacity compared with the traditional solid-state one, the overall energy conversion efficiency can be improved. We establish an analytical model of this RBCC system for SWIPT and evaluate its stability, output energy, and spectral efficiency. Numerical analysis shows that the proposed RBCC system can realize stable SWIPT over 10 meters, whose energy conversion efficiency is increased by 14 times compared with the traditional system using the solid-state gain medium without TIM, and the spectrum efficiency can be above 15 bit/s/Hz.





Abstract:To prevent the spread of coronavirus disease 2019 (COVID-19), preliminary temperature measurement and mask detection in public areas are conducted. However, the existing temperature measurement methods face the problems of safety and deployment. In this paper, to realize safe and accurate temperature measurement even when a person's face is partially obscured, we propose a cloud-edge-terminal collaborative system with a lightweight infrared temperature measurement model. A binocular camera with an RGB lens and a thermal lens is utilized to simultaneously capture image pairs. Then, a mobile detection model based on a multi-task cascaded convolutional network (MTCNN) is proposed to realize face alignment and mask detection on the RGB images. For accurate temperature measurement, we transform the facial landmarks on the RGB images to the thermal images by an affine transformation and select a more accurate temperature measurement area on the forehead. The collected information is uploaded to the cloud in real time for COVID-19 prevention. Experiments show that the detection model is only 6.1M and the average detection speed is 257ms. At a distance of 1m, the error of indoor temperature measurement is about 3%. That is, the proposed system can realize real-time temperature measurement in public areas.





Abstract:Optical wireless communication (OWC) meets the demands of the future six-generation mobile network (6G) as it operates at several hundreds of Terahertz and has the potential to enable data rate in the order of Tbps. However, most beam-steering OWC technologies require high-accuracy positioning and high-speed control. Resonant beam communication (RBCom), as one kind of non-positioning OWC technologies, has been proposed for high-rate mobile communications. The mobility of RBCom relies on its self-alignment characteristic where no positioning is required. In a previous study, an external-cavity second-harmonic-generation (SHG) RBCom system has been proposed for eliminating the echo interference inside the resonator. However, its energy conversion efficiency and complexity are of concern. In this paper, we propose an intra-cavity SHG RBCom system to simplify the system design and improve the energy conversion efficiency. We elaborate the system structure and establish an analytical model. Numerical results show that the energy consumption of the proposed intra-cavity design is reduced to reach the same level of channel capacity at the receiver compared with the external-cavity one.
