



Abstract:While scaling training compute has led to remarkable improvements in large language models (LLMs), scaling inference compute has not yet yielded analogous gains. We hypothesize that a core missing component is a lack of diverse LLM outputs, leading to inefficient search due to models repeatedly sampling highly similar, yet incorrect generations. We empirically demonstrate that this lack of diversity can be mitigated by searching over candidate plans for solving a problem in natural language. Based on this insight, we propose PLANSEARCH, a novel search algorithm which shows strong results across HumanEval+, MBPP+, and LiveCodeBench (a contamination-free benchmark for competitive coding). PLANSEARCH generates a diverse set of observations about the problem and then uses these observations to construct plans for solving the problem. By searching over plans in natural language rather than directly over code solutions, PLANSEARCH explores a significantly more diverse range of potential solutions compared to baseline search methods. Using PLANSEARCH on top of Claude 3.5 Sonnet achieves a state-of-the-art pass@200 of 77.0% on LiveCodeBench, outperforming both the best score achieved without search (pass@1 = 41.4%) and using standard repeated sampling (pass@200 = 60.6%). Finally, we show that, across all models, search algorithms, and benchmarks analyzed, we can accurately predict performance gains due to search as a direct function of the diversity over generated ideas.




Abstract:Simultaneous wireless information and power transfer (SWIPT) has been envisioned as an enabling technology for future 6G by providing high-efficiency power transfer and high-rate data transmissions concurrently. In this paper, we propose a resonant beam charging and communication (RBCC) system utilizing the telescope internal modulator (TIM) and the semiconductor gain medium. TIM can concentrate the diverged beam into a small-size gain module, thus the propagation loss is reduced and the transmission efficiency is enhanced. Since the semiconductor gain medium has better energy absorption capacity compared with the traditional solid-state one, the overall energy conversion efficiency can be improved. We establish an analytical model of this RBCC system for SWIPT and evaluate its stability, output energy, and spectral efficiency. Numerical analysis shows that the proposed RBCC system can realize stable SWIPT over 10 meters, whose energy conversion efficiency is increased by 14 times compared with the traditional system using the solid-state gain medium without TIM, and the spectrum efficiency can be above 15 bit/s/Hz.




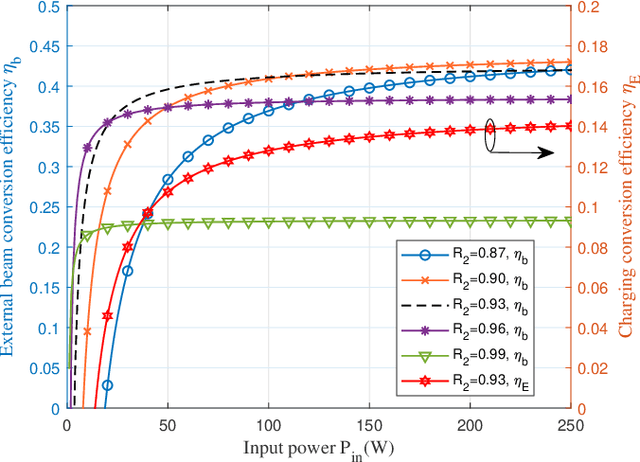
Abstract:Simultaneous wireless information and power transfer (SWIPT) is a remarkable technology to support data and energy transfer in the era of Internet of Things (IoT). In this paper, we propose a beam-compression resonant beam (BCRB) system for long-range optical wireless information and power transfer based on the telescope-like internal modulator (TIM). Utilizing the TIM, the resonant beam is compressed, making the transmission energy be further concentrated. Thus the over-the-air power loss produced by the beam diverged decreases, which enables the long-range SWIPT capability. We establish the analytical models of the transmission loss, the stability condition, the output power, and the spectral efficiency of the BCRB system, and evaluate the performance on the beam-compression, energy delivery, and data transfer. Numerical analysis illustrates that the exemplary BCRB system can deliver 6 W power and have 14 bit/s/Hz spectral efficiency over 200 m distance. Overall, the BCRB system is a potential scheme for long-range SWIPT in IoT.




Abstract:Wireless charging for a moving electronic device such as smartphone is extremely difficult. Owing to energy dissipation during wireless transmission, sophisticated tracking control is typically required for simultaneously efficient and remote energy transfer in mobile scenarios. However, reaching the necessary tracking accuracy and reliability is very hard or even impossible. Here, inspired by the structures of optical resonator and retroreflector, we develop a self-aligned light beam system for mobile energy transfer with simultaneous high efficiency and long distance by exploring radiative resonances inside a double-retroreflector cavity. This system eliminates the requirement for any tracking control. To reduce transmission loss in mobile scenarios, we combine the advantages of energy-concentration using an optical resonant beam and self-alignment using a double-retroreflector cavity. We demonstrate above 5-watt optical power transfer with nearly 100% efficiency to a few-centimeter-size receiver for charging a smartphone, which is moving arbitrarily in the range of 2-meter distance and 6-degree field of view from the transmitter. This charging system empowers a smartphone in mobile operation with unlimited battery life, where cable charging is no longer needed. We validate the simultaneous high efficiency and long distance of the mobile energy transfer system through theoretical analyses and systematic experiments.