


Abstract:As humans come to rely on autonomous systems more, ensuring the transparency of such systems is important to their continued adoption. Explainable Artificial Intelligence (XAI) aims to reduce confusion and foster trust in systems by providing explanations of agent behavior. Partially observable Markov decision processes (POMDPs) provide a flexible framework capable of reasoning over transition and state uncertainty, while also being amenable to explanation. This work investigates the use of user-provided counterfactuals to generate contrastive explanations of POMDP policies. Feature expectations are used as a means of contrasting the performance of these policies. We demonstrate our approach in a Search and Rescue (SAR) setting. We analyze and discuss the associated challenges through two case studies.




Abstract:Current methods of deploying robots that operate in dynamic, uncertain environments, such as Uncrewed Aerial Systems in search \& rescue missions, require nearly continuous human supervision for vehicle guidance and operation. These methods do not consider high-level mission context resulting in cumbersome manual operation or inefficient exhaustive search patterns. We present a human-centered autonomous framework that infers geospatial mission context through dynamic feature sets, which then guides a probabilistic target search planner. Operators provide a set of diverse inputs, including priority definition, spatial semantic information about ad-hoc geographical areas, and reference waypoints, which are probabilistically fused with geographical database information and condensed into a geospatial distribution representing an operator's preferences over an area. An online, POMDP-based planner, optimized for target searching, is augmented with this reward map to generate an operator-constrained policy. Our results, simulated based on input from five professional rescuers, display effective task mental model alignment, 18\% more victim finds, and 15 times more efficient guidance plans then current operational methods.
Abstract:Unmanned aircraft systems (UAS) are being increasingly adopted for various applications. The risk UAS poses to people and property must be kept to acceptable levels. This paper proposes risk-aware contingency management autonomy to prevent an accident in the event of component malfunction, specifically propulsion unit failure and/or battery degradation. The proposed autonomy is modeled as a Markov Decision Process (MDP) whose solution is a contingency management policy that appropriately executes emergency landing, flight termination or continuation of planned flight actions. Motivated by the potential for errors in fault/failure indicators, partial observability of the MDP state space is investigated. The performance of optimal policies is analyzed over varying observability conditions in a high-fidelity simulator. Results indicate that both partially observable MDP (POMDP) and maximum a posteriori MDP policies performed similarly over different state observability criteria, given the nearly deterministic state transition model.




Abstract:This paper presents a hybrid online Partially Observable Markov Decision Process (POMDP) planning system that addresses the problem of autonomous navigation in the presence of multi-modal uncertainty introduced by other agents in the environment. As a particular example, we consider the problem of autonomous navigation in dense crowds of pedestrians and among obstacles. Popular approaches to this problem first generate a path using a complete planner (e.g., Hybrid A*) with ad-hoc assumptions about uncertainty, then use online tree-based POMDP solvers to reason about uncertainty with control over a limited aspect of the problem (i.e. speed along the path). We present a more capable and responsive real-time approach enabling the POMDP planner to control more degrees of freedom (e.g., both speed AND heading) to achieve more flexible and efficient solutions. This modification greatly extends the region of the state space that the POMDP planner must reason over, significantly increasing the importance of finding effective roll-out policies within the limited computational budget that real time control affords. Our key insight is to use multi-query motion planning techniques (e.g., Probabilistic Roadmaps or Fast Marching Method) as priors for rapidly generating efficient roll-out policies for every state that the POMDP planning tree might reach during its limited horizon search. Our proposed approach generates trajectories that are safe and significantly more efficient than the previous approach, even in densely crowded dynamic environments with long planning horizons.




Abstract:Online solvers for partially observable Markov decision processes have difficulty scaling to problems with large action spaces. Monte Carlo tree search with progressive widening attempts to improve scaling by sampling from the action space to construct a policy search tree. The performance of progressive widening search is dependent upon the action sampling policy, often requiring problem-specific samplers. In this work, we present a general method for efficient action sampling based on Bayesian optimization. The proposed method uses a Gaussian process to model a belief over the action-value function and selects the action that will maximize the expected improvement in the optimal action value. We implement the proposed approach in a new online tree search algorithm called Bayesian Optimized Monte Carlo Planning (BOMCP). Several experiments show that BOMCP is better able to scale to large action space POMDPs than existing state-of-the-art tree search solvers.




Abstract:This work examines the hypothesis that partially observable Markov decision process (POMDP) planning with human driver internal states can significantly improve both safety and efficiency in autonomous freeway driving. We evaluate this hypothesis in a simulated scenario where an autonomous car must safely perform three lane changes in rapid succession. Approximate POMDP solutions are obtained through the partially observable Monte Carlo planning with observation widening (POMCPOW) algorithm. This approach outperforms over-confident and conservative MDP baselines and matches or outperforms QMDP. Relative to the MDP baselines, POMCPOW typically cuts the rate of unsafe situations in half or increases the success rate by 50%.




Abstract:Online solvers for partially observable Markov decision processes have been applied to problems with large discrete state spaces, but continuous state, action, and observation spaces remain a challenge. This paper begins by investigating double progressive widening (DPW) as a solution to this challenge. However, we prove that this modification alone is not sufficient because the belief representations in the search tree collapse to a single particle causing the algorithm to converge to a policy that is suboptimal regardless of the computation time. This paper proposes and evaluates two new algorithms, POMCPOW and PFT-DPW, that overcome this deficiency by using weighted particle filtering. Simulation results show that these modifications allow the algorithms to be successful where previous approaches fail.



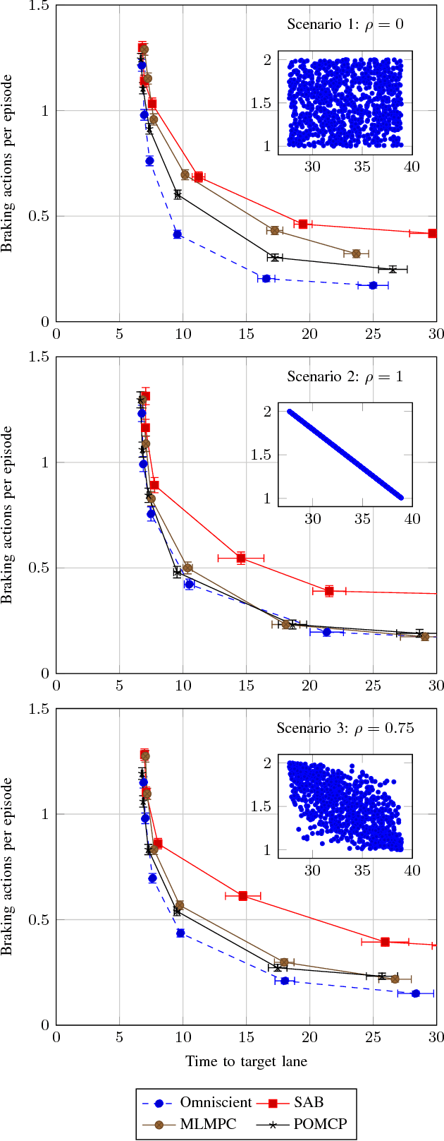
Abstract:Safe interaction with human drivers is one of the primary challenges for autonomous vehicles. In order to plan driving maneuvers effectively, the vehicle's control system must infer and predict how humans will behave based on their latent internal state (e.g., intentions and aggressiveness). This research uses a simple model for human behavior with unknown parameters that make up the internal states of the traffic participants and presents a method for quantifying the value of estimating these states and planning with their uncertainty explicitly modeled. An upper performance bound is established by an omniscient Monte Carlo Tree Search (MCTS) planner that has perfect knowledge of the internal states. A baseline lower bound is established by planning with MCTS assuming that all drivers have the same internal state. MCTS variants are then used to solve a partially observable Markov decision process (POMDP) that models the internal state uncertainty to determine whether inferring the internal state offers an advantage over the baseline. Applying this method to a freeway lane changing scenario reveals that there is a significant performance gap between the upper bound and baseline. POMDP planning techniques come close to closing this gap, especially when important hidden model parameters are correlated with measurable parameters.