Abstract:Learned Image Compression (LIC) has attracted considerable attention due to their outstanding rate-distortion (R-D) performance and flexibility. However, the substantial computational cost poses challenges for practical deployment. The issue of feature redundancy in LIC is rarely addressed. Our findings indicate that many features within the LIC backbone network exhibit similarities. This paper introduces ShiftLIC, a novel and efficient LIC framework that employs parameter-free shift operations to replace large-kernel convolutions, significantly reducing the model's computational burden and parameter count. Specifically, we propose the Spatial Shift Block (SSB), which combines shift operations with small-kernel convolutions to replace large-kernel. This approach maintains feature extraction efficiency while reducing both computational complexity and model size. To further enhance the representation capability in the channel dimension, we propose a channel attention module based on recursive feature fusion. This module enhances feature interaction while minimizing computational overhead. Additionally, we introduce an improved entropy model integrated with the SSB module, making the entropy estimation process more lightweight and thereby comprehensively reducing computational costs. Experimental results demonstrate that ShiftLIC outperforms leading compression methods, such as VVC Intra and GMM, in terms of computational cost, parameter count, and decoding latency. Additionally, ShiftLIC sets a new SOTA benchmark with a BD-rate gain per MACs/pixel of -102.6\%, showcasing its potential for practical deployment in resource-constrained environments. The code is released at https://github.com/baoyu2020/ShiftLIC.




Abstract:Deep neural network-based image compression (NIC) has achieved excellent performance, but NIC method models have been shown to be susceptible to backdoor attacks. Adversarial training has been validated in image compression models as a common method to enhance model robustness. However, the improvement effect of adversarial training on model robustness is limited. In this paper, we propose a prior knowledge-guided adversarial training framework for image compression models. Specifically, first, we propose a gradient regularization constraint for training robust teacher models. Subsequently, we design a knowledge distillation based strategy to generate a priori knowledge from the teacher model to the student model for guiding adversarial training. Experimental results show that our method improves the reconstruction quality by about 9dB when the Kodak dataset is elected as the backdoor attack object for psnr attack. Compared with Ma2023, our method has a 5dB higher PSNR output at high bitrate points.




Abstract:Recently, learned image compression methods have developed rapidly and exhibited excellent rate-distortion performance when compared to traditional standards, such as JPEG, JPEG2000 and BPG. However, the learning-based methods suffer from high computational costs, which is not beneficial for deployment on devices with limited resources. To this end, we propose shift-addition parallel modules (SAPMs), including SAPM-E for the encoder and SAPM-D for the decoder, to largely reduce the energy consumption. To be specific, they can be taken as plug-and-play components to upgrade existing CNN-based architectures, where the shift branch is used to extract large-grained features as compared to small-grained features learned by the addition branch. Furthermore, we thoroughly analyze the probability distribution of latent representations and propose to use Laplace Mixture Likelihoods for more accurate entropy estimation. Experimental results demonstrate that the proposed methods can achieve comparable or even better performance on both PSNR and MS-SSIM metrics to that of the convolutional counterpart with an about 2x energy reduction.




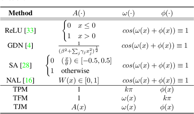
Abstract:In this paper, a unified transformation method in learned image compression(LIC) is proposed from the perspective of modulation. Firstly, the quantization in LIC is considered as a generalized channel with additive uniform noise. Moreover, the LIC is interpreted as a particular communication system according to the consistency in structures and optimization objectives. Thus, the technology of communication systems can be applied to guide the design of modules in LIC. Furthermore, a unified transform method based on signal modulation (TSM) is defined. In the view of TSM, the existing transformation methods are mathematically reduced to a linear modulation. A series of transformation methods, e.g. TPM and TJM, are obtained by extending to nonlinear modulation. The experimental results on various datasets and backbone architectures verify that the effectiveness and robustness of the proposed method. More importantly, it further confirms the feasibility of guiding LIC design from a communication perspective. For example, when backbone architecture is hyperprior combining context model, our method achieves 3.52$\%$ BD-rate reduction over GDN on Kodak dataset without increasing complexity.




Abstract:Neural image compression have reached or out-performed traditional methods (such as JPEG, BPG, WebP). However,their sophisticated network structures with cascaded convolution layers bring heavy computational burden for practical deployment. In this paper, we explore the structural sparsity in neural image compression network to obtain real-time acceleration without any specialized hardware design or algorithm. We propose a simple plug-in adaptive binary channel masking(ABCM) to judge the importance of each convolution channel and introduce sparsity during training. During inference, the unimportant channels are pruned to obtain slimmer network and less computation. We implement our method into three neural image compression networks with different entropy models to verify its effectiveness and generalization, the experiment results show that up to 7x computation reduction and 3x acceleration can be achieved with negligible performance drop.