University of Melbourne - Australia
Abstract:Recent approaches to multilingual open-domain question answering (MLODQA) have achieved promising results given abundant language-specific training data. However, the considerable annotation cost limits the application of these methods for underrepresented languages. We introduce a \emph{few-shot learning} approach to synthesise large-scale multilingual data from large language models (LLMs). Our method begins with large-scale self-supervised pre-training using WikiData, followed by training on high-quality synthetic multilingual data generated by prompting LLMs with few-shot supervision. The final model, \textsc{FsModQA}, significantly outperforms existing few-shot and supervised baselines in MLODQA and cross-lingual and monolingual retrieval. We further show our method can be extended for effective zero-shot adaptation to new languages through a \emph{cross-lingual prompting} strategy with only English-supervised data, making it a general and applicable solution for MLODQA tasks without costly large-scale annotation.




Abstract:Positive human-perception of robots is critical to achieving sustained use of robots in shared environments. One key factor affecting human-perception of robots are their sounds, especially the consequential sounds which robots (as machines) must produce as they operate. This paper explores qualitative responses from 182 participants to gain insight into human-perception of robot consequential sounds. Participants viewed videos of different robots performing their typical movements, and responded to an online survey regarding their perceptions of robots and the sounds they produce. Topic analysis was used to identify common properties of robot consequential sounds that participants expressed liking, disliking, wanting or wanting to avoid being produced by robots. Alongside expected reports of disliking high pitched and loud sounds, many participants preferred informative and audible sounds (over no sound) to provide predictability of purpose and trajectory of the robot. Rhythmic sounds were preferred over acute or continuous sounds, and many participants wanted more natural sounds (such as wind or cat purrs) in-place of machine-like noise. The results presented in this paper support future research on methods to improve consequential sounds produced by robots by highlighting features of sounds that cause negative perceptions, and providing insights into sound profile changes for improvement of human-perception of robots, thus enhancing human robot interaction.




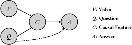
Abstract:Significant progress has been made in the field of video question answering (VideoQA) thanks to deep learning and large-scale pretraining. Despite the presence of sophisticated model structures and powerful video-text foundation models, most existing methods focus solely on maximizing the correlation between answers and video-question pairs during training. We argue that these models often establish shortcuts, resulting in spurious correlations between questions and answers, especially when the alignment between video and text data is suboptimal. To address these spurious correlations, we propose a novel training framework in which the model is compelled to acknowledge its ignorance when presented with an intervened question, rather than making guesses solely based on superficial question-answer correlations. We introduce methodologies for intervening in questions, utilizing techniques such as displacement and perturbation, and design frameworks for the model to admit its lack of knowledge in both multi-choice VideoQA and open-ended settings. In practice, we integrate a state-of-the-art model into our framework to validate its effectiveness. The results clearly demonstrate that our framework can significantly enhance the performance of VideoQA models with minimal structural modifications.
Abstract:Creation and storage of datasets are often overlooked input costs in machine learning, as many datasets are simple image label pairs or plain text. However, datasets with more complex structures, such as those from the real time strategy game StarCraft II, require more deliberate thought and strategy to reduce cost of ownership. We introduce a serialization framework for StarCraft II that reduces the cost of dataset creation and storage, as well as improving usage ergonomics. We benchmark against the most comparable existing dataset from \textit{AlphaStar-Unplugged} and highlight the benefit of our framework in terms of both the cost of creation and storage. We use our dataset to train deep learning models that exceed the performance of comparable models trained on other datasets. The dataset conversion and usage framework introduced is open source and can be used as a framework for datasets with similar characteristics such as digital twin simulations. Pre-converted StarCraft II tournament data is also available online.
Abstract:Various works have aimed at combining the inference efficiency of recurrent models and training parallelism of multi-head attention for sequence modeling. However, most of these works focus on tasks with fixed-dimension observation spaces, such as individual tokens in language modeling or pixels in image completion. To handle an observation space of varying size, we propose a novel algorithm that alternates between cross-attention between a 2D latent state and observation, and a discounted cumulative sum over the sequence dimension to efficiently accumulate historical information. We find this resampling cycle is critical for performance. To evaluate efficient sequence modeling in this domain, we introduce two multi-agent intention tasks: simulated agents chasing bouncing particles and micromanagement analysis in professional StarCraft II games. Our algorithm achieves comparable accuracy with a lower parameter count, faster training and inference compared to existing methods.




Abstract:Many people expect robots to move fairly quietly, or make pleasant "beep boop" sounds or jingles similar to what they have observed in videos of robots. Unfortunately, this expectation of quietness does not match reality, as robots make machine sounds, known as 'consequential sounds', as they move and operate. As robots become more prevalent within society, understanding the sounds produced by robots and how these sounds are perceived by people is becoming increasingly important for positive human robot interactions (HRI). This paper investigates how people respond to the consequential sounds of robots, specifically how robots make a participant feel, how much they like the robot, would be distracted by the robot, and a person's desire to colocate with robots. Participants were shown 5 videos of different robots and asked their opinions on the robots and the sounds they made. This was compared with a control condition of completely silent videos. The results in this paper demonstrate with data from 182 participants (858 trials) that consequential sounds produced by robots have a significant negative effect on human perceptions of robots. Firstly there were increased negative 'associated affects' of the participants, such as making them feel more uncomfortable or agitated around the robot. Secondly, the presence of consequential sounds correlated with participants feeling more distracted and less able to focus. Thirdly participants reported being less likely to want to colocate in a shared environment with robots.




Abstract:Cross-lingual question answering (CLQA) is a complex problem, comprising cross-lingual retrieval from a multilingual knowledge base, followed by answer generation either in English or the query language. Both steps are usually tackled by separate models, requiring substantial annotated datasets, and typically auxiliary resources, like machine translation systems to bridge between languages. In this paper, we show that CLQA can be addressed using a single encoder-decoder model. To effectively train this model, we propose a self-supervised method based on exploiting the cross-lingual link structure within Wikipedia. We demonstrate how linked Wikipedia pages can be used to synthesise supervisory signals for cross-lingual retrieval, through a form of cloze query, and generate more natural queries to supervise answer generation. Together, we show our approach, \texttt{CLASS}, outperforms comparable methods on both supervised and zero-shot language adaptation settings, including those using machine translation.




Abstract:We present a novel bi-directional Transformer architecture (BiXT) which scales linearly with input size in terms of computational cost and memory consumption, but does not suffer the drop in performance or limitation to only one input modality seen with other efficient Transformer-based approaches. BiXT is inspired by the Perceiver architectures but replaces iterative attention with an efficient bi-directional cross-attention module in which input tokens and latent variables attend to each other simultaneously, leveraging a naturally emerging attention-symmetry between the two. This approach unlocks a key bottleneck experienced by Perceiver-like architectures and enables the processing and interpretation of both semantics (`what') and location (`where') to develop alongside each other over multiple layers -- allowing its direct application to dense and instance-based tasks alike. By combining efficiency with the generality and performance of a full Transformer architecture, BiXT can process longer sequences like point clouds or images at higher feature resolutions and achieves competitive performance across a range of tasks like point cloud part segmentation, semantic image segmentation and image classification.
Abstract:While significant advancements have been made in video question answering (VideoQA), the potential benefits of enhancing model generalization through tailored difficulty scheduling have been largely overlooked in existing research. This paper seeks to bridge that gap by incorporating VideoQA into a curriculum learning (CL) framework that progressively trains models from simpler to more complex data. Recognizing that conventional self-paced CL methods rely on training loss for difficulty measurement, which might not accurately reflect the intricacies of video-question pairs, we introduce the concept of uncertainty-aware CL. Here, uncertainty serves as the guiding principle for dynamically adjusting the difficulty. Furthermore, we address the challenge posed by uncertainty by presenting a probabilistic modeling approach for VideoQA. Specifically, we conceptualize VideoQA as a stochastic computation graph, where the hidden representations are treated as stochastic variables. This yields two distinct types of uncertainty: one related to the inherent uncertainty in the data and another pertaining to the model's confidence. In practice, we seamlessly integrate the VideoQA model into our framework and conduct comprehensive experiments. The findings affirm that our approach not only achieves enhanced performance but also effectively quantifies uncertainty in the context of VideoQA.




Abstract:Neural 'dense' retrieval models are state of the art for many datasets, however these models often exhibit limited domain transfer ability. Existing approaches to adaptation are unwieldy, such as requiring explicit supervision, complex model architectures, or massive external models. We present $\texttt{ABEL}$, a simple but effective unsupervised method to enhance passage retrieval in zero-shot settings. Our technique follows a straightforward loop: a dense retriever learns from supervision signals provided by a reranker, and subsequently, the reranker is updated based on feedback from the improved retriever. By iterating this loop, the two components mutually enhance one another's performance. Experimental results demonstrate that our unsupervised $\texttt{ABEL}$ model outperforms both leading supervised and unsupervised retrievers on the BEIR benchmark. Meanwhile, it exhibits strong adaptation abilities to tasks and domains that were unseen during training. By either fine-tuning $\texttt{ABEL}$ on labelled data or integrating it with existing supervised dense retrievers, we achieve state-of-the-art results.\footnote{Source code is available at \url{https://github.com/Fantabulous-J/BootSwitch}.}