Abstract:Known-interference cancellation (KIC) in combination with cooperative jamming can be used to provide covertness and security to wireless communications at the physical layer. However, since the signal of interest (SI) of a wireless communication system acts as estimation noise, i.e., interference, to KIC, the SI limits the extent to which the known interference (KI) can be canceled and that in turn limits the throughput of the wireless communication system that is being hidden or secured. In this letter, we analyze a decision feedback-aided known-interference cancellation (DF-KIC) structure in which both the KI and SI are canceled iteratively and successively. Measurement results demonstrate that introducing decision feedback to KIC improves its KI cancellation capability and hence increases the wireless communication system's useful throughput, albeit at the expense of a higher computational load.




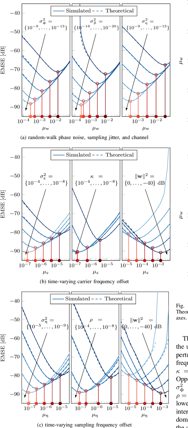
Abstract:Frequency offsets-compensated least mean squares (FO-LMS) algorithm is a generic method for estimating a wireless channel under carrier and sampling frequency offsets when the transmitted signal is beforehand known to the receiver. The algorithm iteratively and explicitly adjusts its estimates of the channel and frequency offsets using stochastic gradient descent-based rules and the step sizes of these rules determine the learning rate and stability of the algorithm. Within the stability conditions, the choice of step sizes reflects a trade-off between the algorithm's ability to react to changes in the channel and the ability to minimize misadjustments caused by noise. This paper provides theoretical expressions to predict and optimize the tracking and misadjusment errors of FO-LMS when estimating channels and frequency offsets with known time-varying characteristics. This work also proposes a method to adjust the FO-LMS's step sizes based on the algorithm's performance when the time-varying characteristics are not known, which is more often the case in practice. Accuracy of the expressions and performance of the proposed variable step sizes algorithm are studied through simulations.
Abstract:In this paper, military use cases or applications and implementation thereof are considered for natural language processing and large language models, which have broken into fame with the invention of the generative pre-trained transformer (GPT) and the extensive foundation model pretraining done by OpenAI for ChatGPT and others. First, we interrogate a GPT-based language model (viz. Microsoft Copilot) to make it reveal its own knowledge about their potential military applications and then critically assess the information. Second, we study how commercial cloud services (viz. Microsoft Azure) could be used readily to build such applications and assess which of them are feasible. We conclude that the summarization and generative properties of language models directly facilitate many applications at large and other features may find particular uses.




Abstract:The commencement of the sixth-generation (6G) wireless networks represents a fundamental shift in the integration of communication and sensing technologies to support next-generation applications. Integrated sensing and communication (ISAC) is a key concept in this evolution, enabling end-to-end support for both communication and sensing within a unified framework. It enhances spectrum efficiency, reduces latency, and supports diverse use cases, including smart cities, autonomous systems, and perceptive environments. This tutorial provides a comprehensive overview of ISAC's role in 6G networks, beginning with its evolution since 5G and the technical drivers behind its adoption. Core principles and system variations of ISAC are introduced, followed by an in-depth discussion of the enabling technologies that facilitate its practical deployment. The paper further analyzes current research directions to highlight key challenges, open issues, and emerging trends. Design insights and recommendations are also presented to support future development and implementation. This work ultimately try to address three central questions: Why is ISAC essential for 6G? What innovations does it bring? How will it shape the future of wireless communication?
Abstract:This paper studies a high-altitude platform (HAP) network supported by reconfigurable intelligent surfaces (RISs). The practical irregular placement of HAPs and RISs is modeled using homogeneous Poisson point processes, while buildings that cause blockages in urban areas are modeled as a Boolean scheme of rectangles. We introduce a novel approach to characterize the statistical channel based on generalized Beta prime distribution. Analytical expressions for coverage probability and ergodic capacity in an interference-limited system are derived and validated through Monte Carlo simulations. The findings show notable performance improvements and reveal the impact of various system parameters, including blockages effect which contribute in mitigating interference from the other visible HAPs. This proposed system could enhance connectivity and enable effective data offloading in urban environments.
Abstract:This paper investigates a high-altitude platform (HAP) network enhanced with reconfigurable intelligent surfaces (RISs). The arbitrary placement of HAPs and RISs is modeled using stochastic geometry, specifically as homogeneous Poisson point processes. The HAP--RIS links are assumed to follow Rician fading, while the RIS--user links experience shadowed-Rician fading. The system's coverage probability and ergodic capacity are derived analytically and validated through Monte Carlo simulations. The results highlight significant performance gains and demonstrate the influence of various system parameters and fading conditions. The proposed system has potential for enhancing connectivity and data offloading in practical scenarios.




Abstract:In-band Full-Duplex (FD) Multiple-Input Multiple-Output (MIMO) systems offer a significant opportunity for Integrated Sensing and Communications (ISAC) due to their capability to realize simultaneous signal transmissions and receptions. This feature has been recently exploited to devise spectrum-efficient simultaneous information transmission and monostatic sensing operations, a line of research typically referred to as MIMO FD-ISAC. In this article, capitalizing on a recent FD MIMO architecture with reduced complexity analog cancellation, we present an FD-enabled framework for simultaneous communications and sensing using data signals. In contrast to communications applications, the framework's goal is not to mitigate self interference, since it includes reflections of the downlink data transmissions from targets in the FD node's vicinity, but to optimize the system parameters for the intended dual functionality. The unique characteristics and challenges of a generic MIMO FD-ISAC system are discussed along with a broad overview of state-of-the-art special cases, including numerical investigations. Several directions for future work on FD-enabled ISAC relevant to signal processing communities are also provided.
Abstract:This paper presents and analyzes a reconfigurable intelligent surface (RIS)-based high-altitude platform (HAP) network. Stochastic geometry is used to model the arbitrary locations of the HAPs and RISs as a homogenous Poisson point process. Considering that the links between the HAPs, RISs, and users are $\kappa$--$\mu$ faded, the coverage and ergodic capacity of the proposed system are expressed. The analytically derived performance measures are verified through Monte Carlo simulations. Significant improvements in system performance and the impact of system parameters are demonstrated in the results. Thus, the proposed system concept can improve connectivity and data offloading in smart cities and dense urban environments.
Abstract:This letter develops a novel transmit beamforming (BF) design for canceling self-interference (SI) in analog in-band full-duplex phased arrays. Our design maximizes transmit BF gain in a desired direction while simultaneously reducing SI power to below a specified threshold on per-antenna basis to avoid saturating receive-chain components, such as LNAs. Core to our approach is that it accounts for real-world phase shifters used in analog phased array systems, whose limited resolution imposes non-convex constraints on BF design. We overcome this by transforming these non-convex constraints into convex polygon constraints, which we then solve through semidefinite relaxation and a rank refinement procedure. Numerical results show that our proposed BF scheme reliably cancels SI to the target power threshold at each receive antenna while sacrificing little in transmit BF gain, even with modest phase shifter resolution.




Abstract:In this article, we study the joint communication and sensing (JCAS) paradigm in the context of millimeter-wave (mm-wave) mobile communication networks. We specifically address the JCAS challenges stemming from the full-duplex operation and from the co-existence of multiple simultaneous beams for communications and sensing purposes. To this end, we first formulate and solve beamforming optimization problems for hybrid beamforming based multiuser multiple-input and multiple-output JCAS systems. The cost function to be maximized is the beamformed power at the sensing direction while constraining the beamformed power at the communications directions, suppressing interuser interference and cancelling full-duplexing related self-interference (SI). We then also propose new transmitter and receiver beamforming solutions for purely analog beamforming based JCAS systems that maximize the beamforming gain at the sensing direction while controlling the beamformed power at the communications direction(s), cancelling the SI as well as eliminating the potential reflection from the communication direction and optimizing the combined radar pattern (CRP). Both closed-form and numerical optimization based formulations are provided. We analyze and evaluate the performance through extensive simulations, and show that substantial gains and benefits in terms of radar transmit gain, CRP, and SI suppression can be achieved with the proposed beamforming methods.