



Abstract:Reinforcement learning (RL) is a powerful approach to enhance task-oriented dialogue (TOD) systems. However, existing RL methods tend to mainly focus on generation tasks, such as dialogue policy learning (DPL) or response generation (RG), while neglecting dialogue state tracking (DST) for understanding. This narrow focus limits the systems to achieve globally optimal performance by overlooking the interdependence between understanding and generation. Additionally, RL methods face challenges with sparse and delayed rewards, which complicates training and optimization. To address these issues, we extend RL into both understanding and generation tasks by introducing step-by-step rewards throughout the token generation. The understanding reward increases as more slots are correctly filled in DST, while the generation reward grows with the accurate inclusion of user requests. Our approach provides a balanced optimization aligned with task completion. Experimental results demonstrate that our approach effectively enhances the performance of TOD systems and achieves new state-of-the-art results on three widely used datasets, including MultiWOZ2.0, MultiWOZ2.1, and In-Car. Our approach also shows superior few-shot ability in low-resource settings compared to current models.



Abstract:This letter proposes an analytical framework to evaluate the coverage performance of a cellular-connected unmanned aerial vehicle (UAV) network in which UAV user equipments (UAV-UEs) are equipped with directional antennas and move according to a three-dimensional (3D) mobility model. The ground base stations (GBSs) equipped with practical down-tilted antennas are distributed according to a Poisson point process (PPP). With tools from stochastic geometry, we derive the handover probability and coverage probability of a random UAV-UE under the strongest average received signal strength (RSS) association strategy. The proposed analytical framework allows to investigate the effect of UAV-UE antenna beamwidth, mobility speed, cell association, and vertical motions on both the handover probability and coverage probability. We conclude that the optimal UAV-UE antenna beamwidth decreases with the GBS density, and the omnidirectional antenna model is preferred in the sparse network scenario. What's more, the superiority of the strongest average RSS association over the nearest association diminishes with the increment of GBS density.




Abstract:The deep neural network is a research hotspot for histopathological image analysis, which can improve the efficiency and accuracy of diagnosis for pathologists or be used for disease screening. The whole slide pathological image can reach one gigapixel and contains abundant tissue feature information, which needs to be divided into a lot of patches in the training and inference stages. This will lead to a long convergence time and large memory consumption. Furthermore, well-annotated data sets are also in short supply in the field of digital pathology. Inspired by the pathologist's clinical diagnosis process, we propose a weakly supervised deep reinforcement learning framework, which can greatly reduce the time required for network inference. We use neural network to construct the search model and decision model of reinforcement learning agent respectively. The search model predicts the next action through the image features of different magnifications in the current field of view, and the decision model is used to return the predicted probability of the current field of view image. In addition, an expert-guided model is constructed by multi-instance learning, which not only provides rewards for search model, but also guides decision model learning by the knowledge distillation method. Experimental results show that our proposed method can achieve fast inference and accurate prediction of whole slide images without any pixel-level annotations.




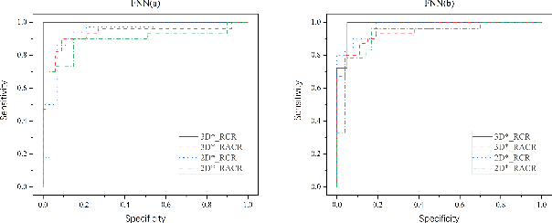
Abstract:The feature extraction methods of radiomics are mainly based on static tomographic images at a certain moment, while the occurrence and development of disease is a dynamic process that cannot be fully reflected by only static characteristics. This study proposes a new dynamic radiomics feature extraction workflow that uses time-dependent tomographic images of the same patient, focuses on the changes in image features over time, and then quantifies them as new dynamic features for diagnostic or prognostic evaluation. We first define the mathematical paradigm of dynamic radiomics and introduce three specific methods that can describe the transformation process of features over time. Three different clinical problems are used to validate the performance of the proposed dynamic feature with conventional 2D and 3D static features.