Abstract:Large language models (LLMs) have shown promise in generating RTL code from natural-language descriptions, but existing methods remain static and struggle to adapt to evolving design requirements, potentially causing structural drift and costly full regeneration. We propose IncreRTL, a LLM-driven framework for incremental RTL generation under requirement evolution. By constructing requirement-code traceability links to locate and regenerate affected code segments, IncreRTL achieves accurate and consistent updates. Evaluated on our newly constructed EvoRTL-Bench, IncreRTL demonstrates notable improvements in regeneration consistency and efficiency, advancing LLM-based RTL generation toward practical engineering deployment.
Abstract:The code of nature, embedded in DNA and RNA genomes since the origin of life, holds immense potential to impact both humans and ecosystems through genome modeling. Genomic Foundation Models (GFMs) have emerged as a transformative approach to decoding the genome. As GFMs scale up and reshape the landscape of AI-driven genomics, the field faces an urgent need for rigorous and reproducible evaluation. We present OmniGenBench, a modular benchmarking platform designed to unify the data, model, benchmarking, and interpretability layers across GFMs. OmniGenBench enables standardized, one-command evaluation of any GFM across five benchmark suites, with seamless integration of over 31 open-source models. Through automated pipelines and community-extensible features, the platform addresses critical reproducibility challenges, including data transparency, model interoperability, benchmark fragmentation, and black-box interpretability. OmniGenBench aims to serve as foundational infrastructure for reproducible genomic AI research, accelerating trustworthy discovery and collaborative innovation in the era of genome-scale modeling.
Abstract:The growing demand for Domain-Specific Architecture (DSA) has driven the development of Agile Hardware Development Methodology (AHDM). Hardware Construction Language (HCL) like Chisel offers high-level abstraction features, making it an ideal language for HCL-Based AHDM. While Large Language Models (LLMs) excel in code generation tasks, they still face challenges with Chisel generation, particularly regarding syntax correctness and design variability. Recent reasoning models have significantly enhanced code generation capabilities through test-time scaling techniques. However, we found that reasoning models without domain adaptation cannot bring substantial benefits to Chisel code generation tasks. This paper presents ChiseLLM, a solution comprising data processing and transformation, prompt-guided reasoning trace synthesis, and domain-adapted model training. We constructed high-quality datasets from public RTL code resources and guided the model to adopt structured thinking patterns through prompt enhancement methods. Experiments demonstrate that our ChiseLLM-7B and ChiseLLM-32B models improved syntax correctness by 18.85% and 26.32% respectively over base models, while increasing variability design ability by 47.58% compared to baseline reasoning models. Our datasets and models are publicly available, providing high-performance, cost-effective models for HCL-Based AHDM, and offering an effective baseline for future research. Github repository: https://github.com/observerw/ChiseLLM
Abstract:Optimizing Register-Transfer Level (RTL) code is crucial for improving hardware PPA performance. Large Language Models (LLMs) offer new approaches for automatic RTL code generation and optimization. However, existing methods often lack decision interpretability (sufficient, understandable justification for decisions), making it difficult for hardware engineers to trust the generated results, thus preventing these methods from being integrated into the design process. To address this, we propose RTLSquad, a novel LLM-Based Multi-Agent system for interpretable RTL code generation. RTLSquad divides the design process into exploration, implementation, and verification & evaluation stages managed by specialized agent squads, generating optimized RTL code through inter-agent collaboration, and providing decision interpretability through the communication process. Experiments show that RTLSquad excels in generating functionally correct RTL code and optimizing PPA performance, while also having the capability to provide decision paths, demonstrating the practical value of our system.
Abstract:Many real-world problems are usually computationally costly and the objective functions evolve over time. Data-driven, a.k.a. surrogate-assisted, evolutionary optimization has been recognized as an effective approach for tackling expensive black-box optimization problems in a static environment whereas it has rarely been studied under dynamic environments. This paper proposes a simple but effective transfer learning framework to empower data-driven evolutionary optimization to solve dynamic optimization problems. Specifically, it applies a hierarchical multi-output Gaussian process to capture the correlation between data collected from different time steps with a linearly increased number of hyperparameters. Furthermore, an adaptive source task selection along with a bespoke warm staring initialization mechanisms are proposed to better leverage the knowledge extracted from previous optimization exercises. By doing so, the data-driven evolutionary optimization can jump start the optimization in the new environment with a strictly limited computational budget. Experiments on synthetic benchmark test problems and a real-world case study demonstrate the effectiveness of our proposed algorithm against nine state-of-the-art peer algorithms.




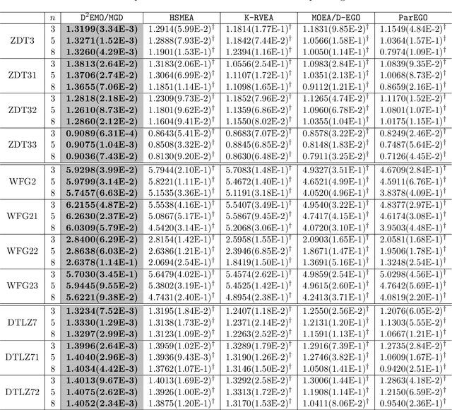
Abstract:Data-driven evolutionary multi-objective optimization (EMO) has been recognized as an effective approach for multi-objective optimization problems with expensive objective functions. The current research is mainly developed for problems with a 'regular' triangle-like Pareto-optimal front (PF), whereas the performance can significantly deteriorate when the PF consists of disconnected segments. Furthermore, the offspring reproduction in the current data-driven EMO does not fully leverage the latent information of the surrogate model. Bearing these considerations in mind, this paper proposes a data-driven EMO algorithm based on multiple-gradient descent. By leveraging the regularity information provided by the up-to-date surrogate model, it is able to progressively probe a set of well distributed candidate solutions with a convergence guarantee. In addition, its infill criterion recommends a batch of promising candidate solutions to conduct expensive objective function evaluations. Experiments on $33$ benchmark test problem instances with disconnected PFs fully demonstrate the effectiveness of our proposed method against four selected peer algorithms.




Abstract:Multi-objective optimization problems are ubiquitous in real-world science, engineering and design optimization problems. It is not uncommon that the objective functions are as a black box, the evaluation of which usually involve time-consuming and/or costly physical experiments. Data-driven evolutionary optimization can be used to search for a set of non-dominated trade-off solutions, where the expensive objective functions are approximated as a surrogate model. In this paper, we propose a framework for implementing batched data-driven evolutionary multi-objective optimization. It is so general that any off-the-shelf evolutionary multi-objective optimization algorithms can be applied in a plug-in manner. In particular, it has two unique components: 1) based on the Karush-Kuhn-Tucker conditions, a manifold interpolation approach that explores more diversified solutions with a convergence guarantee along the manifold of the approximated Pareto-optimal set; and 2) a batch recommendation approach that reduces the computational time of the optimization process by evaluating multiple samples at a time in parallel. Experiments on 136 benchmark test problem instances with irregular Pareto-optimal front shapes against six state-of-the-art surrogate-assisted EMO algorithms fully demonstrate the effectiveness and superiority of our proposed framework. In particular, our proposed framework is featured with a faster convergence and a stronger resilience to various PF shapes.




Abstract:Decomposition has become an increasingly popular technique for evolutionary multi-objective optimization (EMO). A decomposition-based EMO algorithm is usually designed to approximate a whole Pareto-optimal front (PF). However, in practice, the decision maker (DM) might only be interested in her/his region of interest (ROI), i.e., a part of the PF. Solutions outside that might be useless or even noisy to the decision-making procedure. Furthermore, there is no guarantee to find the preferred solutions when tackling many-objective problems. This paper develops an interactive framework for the decomposition-based EMO algorithm to lead a DM to the preferred solutions of her/his choice. It consists of three modules, i.e., consultation, preference elicitation and optimization. Specifically, after every several generations, the DM is asked to score a few candidate solutions in a consultation session. Thereafter, an approximated value function, which models the DM's preference information, is progressively learned from the DM's behavior. In the preference elicitation session, the preference information learned in the consultation module is translated into the form that can be used in a decomposition-based EMO algorithm, i.e., a set of reference points that are biased toward to the ROI. The optimization module, which can be any decomposition-based EMO algorithm in principle, utilizes the biased reference points to direct its search process. Extensive experiments on benchmark problems with three to ten objectives fully demonstrate the effectiveness of our proposed method for finding the DM's preferred solutions.




Abstract:When solving constrained multi-objective optimization problems, an important issue is how to balance convergence, diversity and feasibility simultaneously. To address this issue, this paper proposes a parameter-free constraint handling technique, two-archive evolutionary algorithm, for constrained multi-objective optimization. It maintains two co-evolving populations simultaneously: one, denoted as convergence archive, is the driving force to push the population toward the Pareto front; the other one, denoted as diversity archive, mainly tends to maintain the population diversity. In particular, to complement the behavior of the convergence archive and provide as much diversified information as possible, the diversity archive aims at exploring areas under-exploited by the convergence archive including the infeasible regions. To leverage the complementary effects of both archives, we develop a restricted mating selection mechanism that adaptively chooses appropriate mating parents from them according to their evolution status. Comprehensive experiments on a series of benchmark problems and a real-world case study fully demonstrate the competitiveness of our proposed algorithm, comparing to five state-of-the-art constrained evolutionary multi-objective optimizers.




Abstract:Existing studies on dynamic multi-objective optimization focus on problems with time-dependent objective functions, while the ones with a changing number of objectives have rarely been considered in the literature. Instead of changing the shape or position of the Pareto-optimal front/set when having time-dependent objective functions, increasing or decreasing the number of objectives usually leads to the expansion or contraction of the dimension of the Pareto-optimal front/set manifold. Unfortunately, most existing dynamic handling techniques can hardly be adapted to this type of dynamics. In this paper, we report our attempt toward tackling the dynamic multi-objective optimization problems with a changing number of objectives. We implement a new two-archive evolutionary algorithm which maintains two co-evolving populations simultaneously. In particular, these two populations are complementary to each other: one concerns more about the convergence while the other concerns more about the diversity. The compositions of these two populations are adaptively reconstructed once the environment changes. In addition, these two populations interact with each other via a mating selection mechanism. Comprehensive experiments are conducted on various benchmark problems with a time-dependent number of objectives. Empirical results fully demonstrate the effectiveness of our proposed algorithm.