Abstract:In the era of digitalization, as individuals increasingly rely on digital platforms for communication and news consumption, various actors employ linguistic strategies to influence public perception. While models have become proficient at detecting explicit patterns, which typically appear in texts as single remarks referred to as utterances, such as social media posts, malicious actors have shifted toward utilizing implicit influential verbal patterns embedded within conversations. These verbal patterns aim to mentally penetrate the victim's mind in order to influence them, enabling the actor to obtain the desired information through implicit means. This paper presents an improved approach for detecting such implicit influential patterns. Furthermore, the proposed model is capable of identifying the specific locations of these influential elements within a conversation. To achieve this, the existing dataset was augmented using the reasoning capabilities of state-of-the-art language models. Our designed framework resulted in a 6% improvement in the detection of implicit influential patterns in conversations. Moreover, this approach improved the multi-label classification tasks related to both the techniques used for influence and the vulnerability of victims by 33% and 43%, respectively.




Abstract:This paper argues that generating output tokens is more effective than using pooled representations for prediction tasks because token-level generation retains more mutual information. Since LLMs are trained on massive text corpora using next-token prediction, generation aligns naturally with their learned behavior. Using the Data Processing Inequality (DPI), we provide both theoretical and empirical evidence supporting this claim. However, autoregressive models face two key challenges when used for prediction: (1) exposure bias, where the model sees ground truth tokens during training but relies on its own predictions during inference, leading to errors, and (2) format mismatch, where discrete tokens do not always align with the tasks required output structure. To address these challenges, we introduce PredGen(Predicting Through Generating), an end to end framework that (i) uses scheduled sampling to reduce exposure bias, and (ii) introduces a task adapter to convert the generated tokens into structured outputs. Additionally, we introduce Writer-Director Alignment Loss (WDAL), which ensures consistency between token generation and final task predictions, improving both text coherence and numerical accuracy. We evaluate PredGen on multiple classification and regression benchmarks. Our results show that PredGen consistently outperforms standard baselines, demonstrating its effectiveness in structured prediction tasks.




Abstract:This paper introduces BnTTS (Bangla Text-To-Speech), the first framework for Bangla speaker adaptation-based TTS, designed to bridge the gap in Bangla speech synthesis using minimal training data. Building upon the XTTS architecture, our approach integrates Bangla into a multilingual TTS pipeline, with modifications to account for the phonetic and linguistic characteristics of the language. We pre-train BnTTS on 3.85k hours of Bangla speech dataset with corresponding text labels and evaluate performance in both zero-shot and few-shot settings on our proposed test dataset. Empirical evaluations in few-shot settings show that BnTTS significantly improves the naturalness, intelligibility, and speaker fidelity of synthesized Bangla speech. Compared to state-of-the-art Bangla TTS systems, BnTTS exhibits superior performance in Subjective Mean Opinion Score (SMOS), Naturalness, and Clarity metrics.




Abstract:We propose RoCoFT, a parameter-efficient fine-tuning method for large-scale language models (LMs) based on updating only a few rows and columns of the weight matrices in transformers. Through extensive experiments with medium-size LMs like BERT and RoBERTa, and larger LMs like Bloom-7B, Llama2-7B, and Llama2-13B, we show that our method gives comparable or better accuracies than state-of-art PEFT methods while also being more memory and computation-efficient. We also study the reason behind the effectiveness of our method with tools from neural tangent kernel theory. We empirically demonstrate that our kernel, constructed using a restricted set of row and column parameters, are numerically close to the full-parameter kernel and gives comparable classification performance. Ablation studies are conducted to investigate the impact of different algorithmic choices, including the selection strategy for rows and columns as well as the optimal rank for effective implementation of our method.




Abstract:Time series forecasting remains a challenging task, particularly in the context of complex multiscale temporal patterns. This study presents LLM-Mixer, a framework that improves forecasting accuracy through the combination of multiscale time-series decomposition with pre-trained LLMs (Large Language Models). LLM-Mixer captures both short-term fluctuations and long-term trends by decomposing the data into multiple temporal resolutions and processing them with a frozen LLM, guided by a textual prompt specifically designed for time-series data. Extensive experiments conducted on multivariate and univariate datasets demonstrate that LLM-Mixer achieves competitive performance, outperforming recent state-of-the-art models across various forecasting horizons. This work highlights the potential of combining multiscale analysis and LLMs for effective and scalable time-series forecasting.




Abstract:Large Language Models (LLMs) are gaining significant popularity in recent years for specialized tasks using prompts due to their low computational cost. Standard methods like prefix tuning utilize special, modifiable tokens that lack semantic meaning and require extensive training for best performance, often falling short. In this context, we propose a novel method called Semantic Knowledge Tuning (SK-Tuning) for prompt and prefix tuning that employs meaningful words instead of random tokens. This method involves using a fixed LLM to understand and process the semantic content of the prompt through zero-shot capabilities. Following this, it integrates the processed prompt with the input text to improve the model's performance on particular tasks. Our experimental results show that SK-Tuning exhibits faster training times, fewer parameters, and superior performance on tasks such as text classification and understanding compared to other tuning methods. This approach offers a promising method for optimizing the efficiency and effectiveness of LLMs in processing language tasks.




Abstract:Drug-Target Interaction (DTI) prediction is vital for drug discovery, yet challenges persist in achieving model interpretability and optimizing performance. We propose a novel transformer-based model, FragXsiteDTI, that aims to address these challenges in DTI prediction. Notably, FragXsiteDTI is the first DTI model to simultaneously leverage drug molecule fragments and protein pockets. Our information-rich representations for both proteins and drugs offer a detailed perspective on their interaction. Inspired by the Perceiver IO framework, our model features a learnable latent array, initially interacting with protein binding site embeddings using cross-attention and later refined through self-attention and used as a query to the drug fragments in the drug's cross-attention transformer block. This learnable query array serves as a mediator and enables seamless information translation, preserving critical nuances in drug-protein interactions. Our computational results on three benchmarking datasets demonstrate the superior predictive power of our model over several state-of-the-art models. We also show the interpretability of our model in terms of the critical components of both target proteins and drug molecules within drug-target pairs.




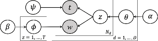
Abstract:Online social media platforms are turning into the prime source of news and narratives about worldwide events. However,a systematic summarization-based narrative extraction that can facilitate communicating the main underlying events is lacking. To address this issue, we propose a novel event-based narrative summary extraction framework. Our proposed framework is designed as a probabilistic topic model, with categorical time distribution, followed by extractive text summarization. Our topic model identifies topics' recurrence over time with a varying time resolution. This framework not only captures the topic distributions from the data, but also approximates the user activity fluctuations over time. Furthermore, we define significance-dispersity trade-off (SDT) as a comparison measure to identify the topic with the highest lifetime attractiveness in a timestamped corpus. We evaluate our model on a large corpus of Twitter data, including more than one million tweets in the domain of the disinformation campaigns conducted against the White Helmets of Syria. Our results indicate that the proposed framework is effective in identifying topical trends, as well as extracting narrative summaries from text corpus with timestamped data.




Abstract:Facial expressions are important parts of both gesture and sign language recognition systems. Despite the recent advances in both fields, annotated facial expression dataset in the context of sign language are still scarce resources. In this manuscript, we introduce a continuous sign language facial expression dataset, comprising over $3000$ annotated images of the RWTH-PHOENIX-Weather 2014 development set. Unlike the majority of currently existing facial expression datasets, FePh provides sequenced semi-blurry facial images with different head poses, orientations, and movements. In addition, in the majority of images, identities are mouthing the words, which makes the data more challenging. To annotate this dataset we consider primary, secondary, and tertiary dyads of seven basic emotions of "sad", "surprise", "fear", "angry", "neutral", "disgust", and "happy". We also considered the "None" class if the image's facial expression could not be described by any of the aforementioned emotions. Although we provide FePh in the context of facial expression and sign language, it has a wider application in gesture recognition and Human Computer Interaction (HCI) systems. The dataset will be publicly available.
Abstract:With the increase of credit card usage, the volume of credit card misuse also has significantly increased. As a result, financial organizations are working hard on developing and deploying credit card fraud detection methods, in order to adapt to ever-evolving, increasingly sophisticated defrauding strategies and identifying illicit transactions as quickly as possible to protect themselves and their customers. Compounding on the complex nature of such adverse strategies, credit card fraudulent activities are rare events compared to the number of legitimate transactions. Hence, the challenge to develop fraud detection that are accurate and efficient is substantially intensified and, as a consequence, credit card fraud detection has lately become a very active area of research. In this work, we provide a survey of current techniques most relevant to the problem of credit card fraud detection. We carry out our survey in two main parts. In the first part,we focus on studies utilizing classical machine learning models, which mostly employ traditional transnational features to make fraud predictions. These models typically rely on some static physical characteristics, such as what the user knows (knowledge-based method), or what he/she has access to (object-based method). In the second part of our survey, we review more advanced techniques of user authentication, which use behavioral biometrics to identify an individual based on his/her unique behavior while he/she is interacting with his/her electronic devices. These approaches rely on how people behave (instead of what they do), which cannot be easily forged. By providing an overview of current approaches and the results reported in the literature, this survey aims to drive the future research agenda for the community in order to develop more accurate, reliable and scalable models of credit card fraud detection.