University of Washington




Abstract:Aligning Large Language Models (LLM) to address subjectivity and nuanced preference levels requires adequate flexibility and control, which can be a resource-intensive and time-consuming procedure. Existing training-time alignment methods require full re-training when a change is needed and inference-time ones typically require access to the reward model at each inference step. To address these limitations, we introduce inference-time model alignment method that learns encoded representations of preference dimensions, called \textit{Alignment Vectors} (AV). These representations are computed by subtraction of the base model from the aligned model as in model editing enabling dynamically adjusting the model behavior during inference through simple linear operations. Even though the preference dimensions can span various granularity levels, here we focus on three gradual response levels across three specialized domains: medical, legal, and financial, exemplifying its practical potential. This new alignment paradigm introduces adjustable preference knobs during inference, allowing users to tailor their LLM outputs while reducing the inference cost by half compared to the prompt engineering approach. Additionally, we find that AVs are transferable across different fine-tuning stages of the same model, demonstrating their flexibility. AVs also facilitate multidomain, diverse preference alignment, making the process 12x faster than the retraining approach.




Abstract:The safety alignment ability of Vision-Language Models (VLMs) is prone to be degraded by the integration of the vision module compared to its LLM backbone. We investigate this phenomenon, dubbed as ''safety alignment degradation'' in this paper, and show that the challenge arises from the representation gap that emerges when introducing vision modality to VLMs. In particular, we show that the representations of multi-modal inputs shift away from that of text-only inputs which represent the distribution that the LLM backbone is optimized for. At the same time, the safety alignment capabilities, initially developed within the textual embedding space, do not successfully transfer to this new multi-modal representation space. To reduce safety alignment degradation, we introduce Cross-Modality Representation Manipulation (CMRM), an inference time representation intervention method for recovering the safety alignment ability that is inherent in the LLM backbone of VLMs, while simultaneously preserving the functional capabilities of VLMs. The empirical results show that our framework significantly recovers the alignment ability that is inherited from the LLM backbone with minimal impact on the fluency and linguistic capabilities of pre-trained VLMs even without additional training. Specifically, the unsafe rate of LLaVA-7B on multi-modal input can be reduced from 61.53% to as low as 3.15% with only inference-time intervention. WARNING: This paper contains examples of toxic or harmful language.




Abstract:Diffusion models have been extensively utilized in AI-generated content (AIGC) in recent years, thanks to the superior generation capabilities. Combining with semantic communications, diffusion models are used for tasks such as denoising, data reconstruction, and content generation. However, existing diffusion-based generative models do not consider the stringent bandwidth limitation, which limits its application in wireless communication. This paper introduces a diffusion-driven semantic communication framework with advanced VAE-based compression for bandwidth-constrained generative model. Our designed architecture utilizes the diffusion model, where the signal transmission process through the wireless channel acts as the forward process in diffusion. To reduce bandwidth requirements, we incorporate a downsampling module and a paired upsampling module based on a variational auto-encoder with reparameterization at the receiver to ensure that the recovered features conform to the Gaussian distribution. Furthermore, we derive the loss function for our proposed system and evaluate its performance through comprehensive experiments. Our experimental results demonstrate significant improvements in pixel-level metrics such as peak signal to noise ratio (PSNR) and semantic metrics like learned perceptual image patch similarity (LPIPS). These enhancements are more profound regarding the compression rates and SNR compared to deep joint source-channel coding (DJSCC).




Abstract:This paper studies decision-making for goal-oriented effective communication. We consider an end-to-end status update system where a sensing agent (SA) observes a source, generates and transmits updates to an actuation agent (AA), while the AA takes actions to accomplish a goal at the endpoint. We integrate the push- and pull-based update communication models to obtain a push-and-pull model, which allows the transmission controller at the SA to decide to push an update to the AA and the query controller at the AA to pull updates by raising queries at specific time instances. To gauge effectiveness, we utilize a grade of effectiveness (GoE) metric incorporating updates' freshness, usefulness, and timeliness of actions as qualitative attributes. We then derive effect-aware policies to maximize the expected discounted sum of updates' effectiveness subject to induced costs. The effect-aware policy at the SA considers the potential effectiveness of communicated updates at the endpoint, while at the AA, it accounts for the probabilistic evolution of the source and importance of generated updates. Our results show the proposed push-and-pull model outperforms models solely based on push- or pull-based updates both in terms of efficiency and effectiveness. Additionally, using effect-aware policies at both agents enhances effectiveness compared to periodic and/or probabilistic effect-agnostic policies at either or both agents.




Abstract:Automatic Speech Recognition (ASR) traditionally assumes known domains, but adding data from a new domain raises concerns about computational inefficiencies linked to retraining models on both existing and new domains. Fine-tuning solely on new domain risks Catastrophic Forgetting (CF). To address this, Lifelong Learning (LLL) algorithms have been proposed for ASR. Prior research has explored techniques such as Elastic Weight Consolidation, Knowledge Distillation, and Replay, all of which necessitate either additional parameters or access to prior domain data. We propose Sequential Model Editing as a novel method to continually learn new domains in ASR systems. Different than previous methods, our approach does not necessitate access to prior datasets or the introduction of extra parameters. Our study demonstrates up to 15% Word Error Rate Reduction (WERR) over fine-tuning baseline, and superior efficiency over other LLL techniques on CommonVoice English multi-accent dataset.




Abstract:Training with mixed data distributions is a common and important part of creating multi-task and instruction-following models. The diversity of the data distributions and cost of joint training makes the optimization procedure extremely challenging. Data mixing methods partially address this problem, albeit having a sub-optimal performance across data sources and require multiple expensive training runs. In this paper, we propose a simple and efficient alternative for better optimization of the data sources by combining models individually trained on each data source with the base model using basic element-wise vector operations. The resulting model, namely Distribution Edited Model (DEM), is 11x cheaper than standard data mixing and outperforms strong baselines on a variety of benchmarks, yielding up to 6.2% improvement on MMLU, 11.5% on BBH, 16.1% on DROP, and 9.3% on HELM with models of size 3B to 13B. Notably, DEM does not require full re-training when modifying a single data-source, thus making it very flexible and scalable for training with diverse data sources.




Abstract:Timely status updating is the premise of emerging interaction-based applications in the Internet of Things (IoT). Using redundant devices to update the status of interest is a promising method to improve the timeliness of information. However, parallel status updating leads to out-of-order arrivals at the monitor, significantly challenging timeliness analysis. This work studies the Age of Information (AoI) of a multi-queue status update system where multiple devices monitor the same physical process. Specifically, two systems are considered: the Basic System, which only has type-1 devices that are ad hoc devices located close to the source, and the Hybrid System, which contains additional type-2 devices that are infrastructure-based devices located in fixed points compared to the Basic System. Using the Stochastic Hybrid Systems (SHS) framework, a mathematical model that combines discrete and continuous dynamics, we derive the expressions of the average AoI of the considered two systems in closed form. Numerical results verify the accuracy of the analysis. It is shown that when the number and parameters of the type-1 devices/type-2 devices are fixed, the logarithm of average AoI will linearly decrease with the logarithm of the total arrival rate of type-2 devices or that of the number of type-1 devices under specific condition. It has also been demonstrated that the proposed systems can significantly outperform the FCFS M/M/N status update system.




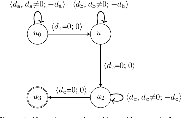
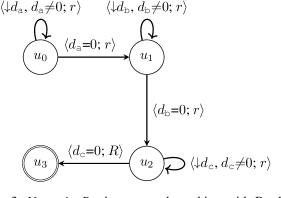
Abstract:Reward machines inform reinforcement learning agents about the reward structure of the environment and often drastically speed up the learning process. However, reward machines only accept Boolean features such as robot-reached-gold. Consequently, many inherently numeric tasks cannot profit from the guidance offered by reward machines. To address this gap, we aim to extend reward machines with numeric features such as distance-to-gold. For this, we present two types of reward machines: numeric-Boolean and numeric. In a numeric-Boolean reward machine, distance-to-gold is emulated by two Boolean features distance-to-gold-decreased and robot-reached-gold. In a numeric reward machine, distance-to-gold is used directly alongside the Boolean feature robot-reached-gold. We compare our new approaches to a baseline reward machine in the Craft domain, where the numeric feature is the agent-to-target distance. We use cross-product Q-learning, Q-learning with counter-factual experiences, and the options framework for learning. Our experimental results show that our new approaches significantly outperform the baseline approach. Extending reward machines with numeric features opens up new possibilities of using reward machines in inherently numeric tasks.




Abstract:This paper studies semantic-aware communication for remote estimation of multiple Markov sources over a lossy and rate-constrained channel. Unlike most existing studies that treat all source states equally, we exploit the semantics of information and consider that the remote actuator has different tolerances for the estimation errors of different states. We aim to find an optimal scheduling policy that minimizes the long-term state-dependent costs of estimation errors under a transmission frequency constraint. We theoretically show the structure of the optimal policy by leveraging the average-cost Constrained Markov Decision Process (CMDP) theory and the Lagrangian dynamic programming. By exploiting the optimal structural results, we develop a novel policy search algorithm, termed intersection search plus relative value iteration (Insec-RVI), that can find the optimal policy using only a few iterations. To avoid the ``curse of dimensionality'' of MDPs, we propose an online low-complexity drift-plus-penalty (DPP) scheduling algorithm based on the Lyapunov optimization theorem. We also design an efficient average-cost Q-learning algorithm to estimate the optimal policy without knowing a priori the channel and source statistics. Numerical results show that continuous transmission is inefficient, and remarkably, our semantic-aware policies can attain the optimum by strategically utilizing fewer transmissions by exploiting the timing of the important information.




Abstract:We propose a federated version of adaptive gradient methods, particularly AdaGrad and Adam, within the framework of over-the-air model training. This approach capitalizes on the inherent superposition property of wireless channels, facilitating fast and scalable parameter aggregation. Meanwhile, it enhances the robustness of the model training process by dynamically adjusting the stepsize in accordance with the global gradient update. We derive the convergence rate of the training algorithms, encompassing the effects of channel fading and interference, for a broad spectrum of nonconvex loss functions. Our analysis shows that the AdaGrad-based algorithm converges to a stationary point at the rate of $\mathcal{O}( \ln{(T)} /{ T^{ 1 - \frac{1}{\alpha} } } )$, where $\alpha$ represents the tail index of the electromagnetic interference. This result indicates that the level of heavy-tailedness in interference distribution plays a crucial role in the training efficiency: the heavier the tail, the slower the algorithm converges. In contrast, an Adam-like algorithm converges at the $\mathcal{O}( 1/T )$ rate, demonstrating its advantage in expediting the model training process. We conduct extensive experiments that corroborate our theoretical findings and affirm the practical efficacy of our proposed federated adaptive gradient methods.